Információk az előrejelzési versenyhez
Versenyinformációk
A VERSENYSZABÁLYZATÚj előrejelzés elküldése az előrejelzési versenybe
A legutóbbi forduló eredménye
A verseny összesített állása
A 3 kieső fordulót nem tartalmazó összesített lista
A synop-kódok értelmezéséhez egy kis segítség
Szélirány-meghatározáshoz segítség
Stelvio segítségével megjelenített összesített ranglista
Stelvio segítségével megjelenített örökranglista
Stelvio segítségével megjelenített dicsőséglista
A meteorológiai állomások elhelyezkedése
A meteorológiai állomások beosztása
Hát kérem egy átlagos punnyadt téli fordulóban leszünk. Sokan tették a -2-3 fokokat, ebben a semmit tevős időben. Pedig most nem nyári alacsony T.min. következik, (mert ugye laposföld hívők szerint "kiszíjja a meleget az udvar sarkára kitett lehűlő atom) .. na legyen igazam. 
Borult éccakát 0 fok körül várom, nappal esetleg a derengő nap felhúzza +2+3 ig.
Nehogy +4 közepedte hózápor szántson végig? (meglepetés faktor) annak április elsején van jelenése.
Borult éccakát 0 fok körül várom, nappal esetleg a derengő nap felhúzza +2+3 ig.
Nehogy +4 közepedte hózápor szántson végig? (meglepetés faktor) annak április elsején van jelenése.
Hölgyek és Urak! Haladunk tovább, kezdődik a második félidő! Én ezúttal a vasárnapi ebédhez kínálok egy "atom jó" fordulót. Irány Paks!
11. forduló: Paks (12950) - 2022. január 29. vasárnap 12 óra (11 UTC) Link
Az 1,2-es szorzó csütörtök délig él. Hajrá!
11. forduló: Paks (12950) - 2022. január 29. vasárnap 12 óra (11 UTC) Link
Az 1,2-es szorzó csütörtök délig él. Hajrá!
Én is gratulálok Satyának és az elégedetteknek (magam nem igazán vagyok az...)!
Imi, reggel kiírom majd. Most (éjjel 1:23-kor) már túl fáradt vagyok belemélyedni az izgalmas időpontok és helyszínek kutatásába.
Imi, reggel kiírom majd. Most (éjjel 1:23-kor) már túl fáradt vagyok belemélyedni az izgalmas időpontok és helyszínek kutatásába.
Köszi, megtettem azt, amit Te is írtál, azért 6 plusz pont sokat számít, most szerencsém van, de előbb-utóbb Fortuna ad egy jó nagy maflást, remélem minél később
Most nézem, jelenidő nélkül is nyertem volna a fordulót, holtversenyben
Most nézem, jelenidő nélkül is nyertem volna a fordulót, holtversenyben
Köszönjük!
Satya: félidőnél második legmagasabb kiesővel is majd' 10 ponttal az üldözőtábor előtt az összesítésben. Kemény!
Satya: félidőnél második legmagasabb kiesővel is majd' 10 ponttal az üldözőtábor előtt az összesítésben. Kemény!
Satya, ez már hallatlan kérem szépen.
Gratulálok!
Forduló: Link
Összetett: Link
A következő kiíró Perico lesz, így írd ki kérlek a fordulódat.
Választható helyszínek:
Békéscsaba [12992]
Budapest-Újpest [metnet-es észlelő]
Debrecen [12882]
Felcsút [metnet-es észlelő]
Kecskemét [12970]
Lomnici-csúcs (Lomnicky Stít) [11930]
Paks [12950]
Siófok [metnet-es észlelő]
Szeged [12982]
Szolnok [12860]
Meteorológiai állomások beosztása: Link
Forduló: Link
Összetett: Link
A következő kiíró Perico lesz, így írd ki kérlek a fordulódat.
Választható helyszínek:
Békéscsaba [12992]
Budapest-Újpest [metnet-es észlelő]
Debrecen [12882]
Felcsút [metnet-es észlelő]
Kecskemét [12970]
Lomnici-csúcs (Lomnicky Stít) [11930]
Paks [12950]
Siófok [metnet-es észlelő]
Szeged [12982]
Szolnok [12860]
Meteorológiai állomások beosztása: Link
A kézi csapadékmérést használjuk, ha van. 1,8 mm lett az állomáson reggel 7-ig (Forrás: METÉSZ).
A tegnap esti jelenidőhöz: Nem az a helyzet volt, amikor biztosra meg lehet mondani, hogy lesz-e. Még 1.0-nál sem volt biztos. Az ekkor már határozottan látszott, hogy 2 adagban valószínű csapadék, az első még a nap elejéig, majd a következő valamikor estétől, éjszakától. Úgy alakult, hogy a második adag a többség által vártnál kicsit hamarabb érkezett, s így eltalálta a kitűzött időpontot. Részemről az 1.2/1.1 most ki volt zárva elfoglaltság miatt, örültem, hogy 1.0-val egyáltalán le tudtam adni még a határidő előtt, jelenidő nélkül. Ha még űridőben leadom a kiíráskor, amit nem szoktam, akkor 99%, hogy a havazás jelenidőt megkockáztattam volna. De nem űridőztem.... Gratulálok a jelenidősöknek!
Satya hasít tovább
A tegnap esti jelenidőhöz: Nem az a helyzet volt, amikor biztosra meg lehet mondani, hogy lesz-e. Még 1.0-nál sem volt biztos. Az ekkor már határozottan látszott, hogy 2 adagban valószínű csapadék, az első még a nap elejéig, majd a következő valamikor estétől, éjszakától. Úgy alakult, hogy a második adag a többség által vártnál kicsit hamarabb érkezett, s így eltalálta a kitűzött időpontot. Részemről az 1.2/1.1 most ki volt zárva elfoglaltság miatt, örültem, hogy 1.0-val egyáltalán le tudtam adni még a határidő előtt, jelenidő nélkül. Ha még űridőben leadom a kiíráskor, amit nem szoktam, akkor 99%, hogy a havazás jelenidőt megkockáztattam volna. De nem űridőztem.... Gratulálok a jelenidősöknek!
Satya hasít tovább
Egységes előrék , többségi bukta. Páran azért ügyesen bevállalták a jelenidőt meg a hideget. Hónapok óta Sopron a kevés fagy , kevés csapadék hazája (a csapadéktérképek (1,5,10,30,90 naposak) sereghajtója az országban a Kurucdomb. Talán tudat alatt ezért nem vállaltunk talán jelenidőt (biztosan nem a modellek a hibásak, legfeljebb a lusták, akik a 100-ból kihagytak párat), sőt 0,1 mm csapadékot sem. A csapadék persze ha automata mérés még lehet 0 (az ény-i országrész automatáinak zöme a félnapos havazás után sem nagyon tud mérni 0,1-et sem).
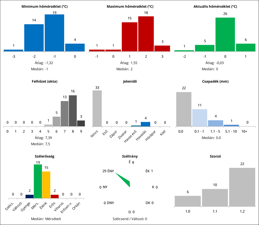
Összfelhőzet: 8 okta
Jelenidő: Havazás
Szélirány: 320° (északnyugati)
Erőssége: 7 m/s (mérsékelt)
T akt: -0,8°C
T min: -1,0°C
T max: 0,1°C
Jelenidő: Havazás
Szélirány: 320° (északnyugati)
Erőssége: 7 m/s (mérsékelt)
T akt: -0,8°C
T min: -1,0°C
T max: 0,1°C
Hát ahogy elnézem elég sanszos hogy lesz jelenidő, nagyot szakíthat vele az a pár ember aki adta.
Hajrá Kornél bátyó!!!
Hajrá Kornél bátyó!!!
Én is -1 fokot látok. Türemkedik Dk.felől a csapi zóna, de gyengül. Remélem nem lesz összeröffenés a Bécstől Dny. tanyázó hidegpárnával.
A 10 percesek és a METÉSZ alapján -1 fok lehetett a Tmin, pontosabban, ha látja vki?
Reggel 7-ig 0,3 mm csapadék hullott, ami még nem számít bele a maiba. Azóta hószállingózást ad az állomás -0.4 fokkal az utolsó 3 órában.
Reggel 7-ig 0,3 mm csapadék hullott, ami még nem számít bele a maiba. Azóta hószállingózást ad az állomás -0.4 fokkal az utolsó 3 órában.
Elkészült az összefoglaló.
Link
Egész egységesek a tippek ahhoz képest, hogy milyen modellkáosz volt a napokban.
Én még azon is vacilláltam pár órával ezelőtt, hogy tegyek be csapadékot és akár jelenidőt is valami szállingózásra, de aztán maradtam a 1.2-esnél, hogy majd a szorzó úgyis kompenzál. 
Egész egységesek a tippek ahhoz képest, hogy milyen modellkáosz volt a napokban.

Igen, stimmel. Itt egy leírás a Soproni meteorológiáról, a kép benne 1991-es. Link
Magam a nyáron Sopronban csináltattam meg a szürkehályog műtétemet, s a 2 szem műtétje közti szabadnapon fent sétáltunk nejjel a dombon és csináltam is egy fényképet a meteorológiáról, megpróbálom külön feltenni ide.
Magam a nyáron Sopronban csináltattam meg a szürkehályog műtétemet, s a 2 szem műtétje közti szabadnapon fent sétáltunk nejjel a dombon és csináltam is egy fényképet a meteorológiáról, megpróbálom külön feltenni ide.
Nekem meg elmúlt az 1,2-es, változtatni kellett, meglássuk...
Egy vízügyi évkönyben kibogóztam ezt a Kurucok dombját, 233 m. tszfm. magasan van. Jó lenne a résztvevő állomásokhoz is beírni a magasságot a nagy állóvizekhez mérten.
Egy vízügyi évkönyben kibogóztam ezt a Kurucok dombját, 233 m. tszfm. magasan van. Jó lenne a résztvevő állomásokhoz is beírni a magasságot a nagy állóvizekhez mérten.
Előre is köszönjük a munkádat!
Sejtettem, hogy hiába hagytam ki két fordulót, egész jó vagyok eddig.
Csináltam egy kiesős listát (3 kiesővel), amivel magamat is megleptem, micsoda helyezésbeli különbségek vannak a MetNetes és kiesős rangsor között
Nem jól kamatozik egyelőre a magas kieső, később szükség lehet rá. Szemezgessétek a fenti linken és jelezzétek az esetleges hibákat, nagyon friss.
Aki a Kuruc-dombi túrára jön: az 1.2-es holnap este 19 óráig időszerű, de nem kötelező
.
Aki a Kuruc-dombi túrára jön: az 1.2-es holnap este 19 óráig időszerű, de nem kötelező
Oké, Da!
Kerestem vissza a Luca napi éves előrejelzésemet, de még keresem..
Szóval az van benne, hogy " ájtaljánba" jan. 21. Ágnes nap elég csúnya szokott lenni,
meg a Január zuhan lefelé a minusz létrán.
Előlegként kaphatunk egy kis téli bejátszást Kurucdombról, de még a java hátra van --> Február.
Kerestem vissza a Luca napi éves előrejelzésemet, de még keresem..
Szóval az van benne, hogy " ájtaljánba" jan. 21. Ágnes nap elég csúnya szokott lenni,
Előlegként kaphatunk egy kis téli bejátszást Kurucdombról, de még a java hátra van --> Február.
Félidő, átmenet a télbe. Az időponthoz ; dögöljön meg a szomszéd lova is.
[a politika megnyilvánulások továbbra sem erre az oldalra valók bubu! legyél szíves kerülni az ilyen megnyilvánulásokat! köszönjük! - imi]
[a politika megnyilvánulások továbbra sem erre az oldalra valók bubu! legyél szíves kerülni az ilyen megnyilvánulásokat! köszönjük! - imi]
Gratula a győztes kvartettnek! 
A minimumot leszámítva nekem sem lett rossz fordulóm, de arra az idő előtt Ferihegyre bekúszó sztrátuszra azóta is sziszegek...
Igaz, már a lengedező délies szél is gátolta a lehűlést akkor
A minimumot leszámítva nekem sem lett rossz fordulóm, de arra az idő előtt Ferihegyre bekúszó sztrátuszra azóta is sziszegek...
Gratulálok a nyerteseknek!
Szép kis idöpontot sikerült kiválasztani a köv. fordulóra. Gratula!
Szép kis idöpontot sikerült kiválasztani a köv. fordulóra. Gratula!
Deco05, jocika8627, Gordonka, satya nyerték a ferihegyi fordulót. Gratulálok nekik! 
Forduló: Link
Összetett: Link
Elérkezünk a verseny feléhez, így egy félidős forduló kiírását szeretnénk kérni hófúvástól.
Választható helyszínek:
Békéscsaba [12992]
Budapest-Újpest [metnet-es észlelő]
Debrecen [12882]
Felcsút [metnet-es észlelő]
Kecskemét [12970]
Lomnici-csúcs (Lomnicky Stít) [11930]
Paks [12950]
Siófok [metnet-es észlelő]
Sopron-Kurucdomb [13704]
Szeged [12982]
Szolnok [12860]
Meteorológiai állomások beosztása: Link
Forduló: Link
Összetett: Link
Elérkezünk a verseny feléhez, így egy félidős forduló kiírását szeretnénk kérni hófúvástól.
Választható helyszínek:
Békéscsaba [12992]
Budapest-Újpest [metnet-es észlelő]
Debrecen [12882]
Felcsút [metnet-es észlelő]
Kecskemét [12970]
Lomnici-csúcs (Lomnicky Stít) [11930]
Paks [12950]
Siófok [metnet-es észlelő]
Sopron-Kurucdomb [13704]
Szeged [12982]
Szolnok [12860]
Meteorológiai állomások beosztása: Link
Sokat vaciláltam a 7 és 8 okta között. Végül a 8 mellett döntöttem, hogy majd az összefüggő Cs megoldja, ha baj lenne. De azt meg az épphogy felszakadó stratuson keresztül látni...
9 UTC: 7 okta (éppen akkor kezdett kiszakadni a St...), 4,1 °C, mérsékelt DK-i szél.
Hát, ez nagy szopacs nekem... Túlságosan keleties a légmozgás. Tisztán déli áramlásnál talán nem, vagy csak jóval később kúszik be ez a f.s stratus... 
Így "sokra" mentem vele, hogy fagyzugos helyen van az állomás...
Így "sokra" mentem vele, hogy fagyzugos helyen van az állomás...
Közben 5 m/s-ra erősödő átlagszél mellett +1 fokra lehuppantunk újra. Nincs túl messze a Duna menti -1, -2 fokos sáv, de legalább a +0,5°C-ot megcsíphetnénk, ha itt fagyni nem is tud ma....
21:30 3 751.6 765.8 93 Wind blowing from the south-east Gentle breeze (4 m/s)patchy fog, mist
3 fok. Na ezek szerint beindult 9 után a melegfront.
3 fok. Na ezek szerint beindult 9 után a melegfront.
Alighanem nekem is jobban kellene figyelnem, mert ha már az OMSZ előrére vetemedtem, Budapest alatt nem egy külterületi pusztára adják az előrét, hanem valami jó hőszigetelt helyre (Kitaibel u. Újpest,Pestlőrinc stb.) adják ki. Ha már bukta a minimum az a jó ha vastagon lekváros...
Persze a magyarnak a káröröm a legszebb, úgy látom már csak az egy fokot adók örülhetnek, mert este nyolckor már 2 fok. Itt este 7-re fagypont alá is benézett a T(egy csapásra két fagyos nap lett, hisz a szabál szerint a holnapi nap is fagyos ezzel), most meg már 4 fokkal melegebb van. Mi lett volna vajon Liszten, ha a felhők pár órával előbb odaérnek (vagy pár órát késnek) ?
Persze a magyarnak a káröröm a legszebb, úgy látom már csak az egy fokot adók örülhetnek, mert este nyolckor már 2 fok. Itt este 7-re fagypont alá is benézett a T(egy csapásra két fagyos nap lett, hisz a szabál szerint a holnapi nap is fagyos ezzel), most meg már 4 fokkal melegebb van. Mi lett volna vajon Liszten, ha a felhők pár órával előbb odaérnek (vagy pár órát késnek) ?
Elkészült az összefoglaló.
Link
Stabil fordulónak tűnik, sok 1.2-es tippel és kevés szórással. Aztán lehet, szokás szerint megint majd a minimum fog megtréfálni mindenkit.
Stabil fordulónak tűnik, sok 1.2-es tippel és kevés szórással. Aztán lehet, szokás szerint megint majd a minimum fog megtréfálni mindenkit.

Nem a reptér játszik?
Ha igen, cummantás lesz, már csak 1°C van
Oszt felhők még sehun, legalább ködöljön be
Ha igen, cummantás lesz, már csak 1°C van
Oszt felhők még sehun, legalább ködöljön be
Alighanem valamit nagyon benéztem (vagy nem az OMSZ-ot kellett volna néznem), mert csak 8-an várunk 0 fok feletti minimumot és az én 4 fokom a csúcstartó. Van aki szerint eső sem lesz 1 mm-nél több viszont a jelenidő kizárt, csak 1 zápor van. A többi paraméterben a szóródás nem olyan nagy, beleférek az átlagba ,nem leszek az utolsók közt talán.
Hát talán igen, hisz 10-ig lehetett leadni, és ha pont addig adod le az még belefér
Legalább is én megadnám neked
Legalább is én megadnám neked
Hát te mindig nagyon kicentized
Legközelebbi visszaigazolásodon 5 mp-cel kevesebb lesz majd
Legközelebbi visszaigazolásodon 5 mp-cel kevesebb lesz majd

