Információk az előrejelzési versenyhez
Versenyinformációk
A VERSENYSZABÁLYZATÚj előrejelzés elküldése az előrejelzési versenybe
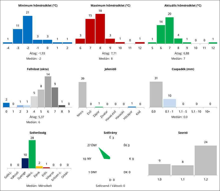
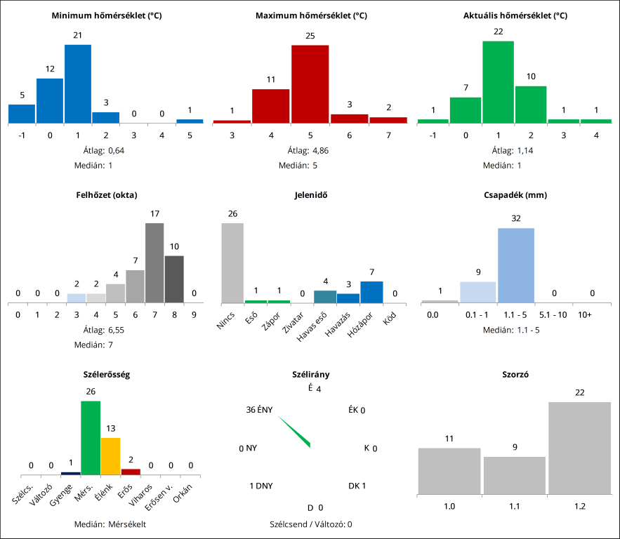
A legutóbbi forduló eredménye
A verseny összesített állása
A 3 kieső fordulót nem tartalmazó összesített lista
A synop-kódok értelmezéséhez egy kis segítség
Szélirány-meghatározáshoz segítség
Stelvio segítségével megjelenített összesített ranglista
Stelvio segítségével megjelenített örökranglista
Stelvio segítségével megjelenített dicsőséglista
A meteorológiai állomások elhelyezkedése
A meteorológiai állomások beosztása
Előtte is, utána is épp 6 okta volt, és éppen 12 UTC-re csökkent éppen 3 oktára... 
De legalább most végre a tizedek velem voltak. Hajrá 8 fok és "nocsapi"!
De legalább most végre a tizedek velem voltak. Hajrá 8 fok és "nocsapi"!
Majdnem: 6,6°C 12:55 METESZ
Az 1 órával korábbi 6 okta felhőből meg sajnos 3 okta lett. Dupla bukta.
Az 1 órával korábbi 6 okta felhőből meg sajnos 3 okta lett. Dupla bukta.
Tmin -1,2°C
Éjfél után volt jellemzö a 3-5 m/s-os nyugatias átlagszél, csoda, hogy ennyire lesüllyedt a T
Éjfél után volt jellemzö a 3-5 m/s-os nyugatias átlagszél, csoda, hogy ennyire lesüllyedt a T
METÉSZ 6:55 -0,7°C
Álmomban sem gondoltam volna, hogy egy -1,5-öt sem tud összehozni, de a szél nem nyughatott, még ha jóval gyengébb is volt mint az ország nagyobb részén.
Álmomban sem gondoltam volna, hogy egy -1,5-öt sem tud összehozni, de a szél nem nyughatott, még ha jóval gyengébb is volt mint az ország nagyobb részén.
Kissé megkésve, de elkészült az összefoglaló.
Link
A hőmérséklet nem nagyon akar csökkenni, 23 órakor még 1,5 fok volt, nem tudom, hogy lesz meg ebből -3-as tippem... (valószínűleg sehogy)
A hőmérséklet nem nagyon akar csökkenni, 23 órakor még 1,5 fok volt, nem tudom, hogy lesz meg ebből -3-as tippem... (valószínűleg sehogy)

Nekem szerintem az egyik kieső köröm a kihagyott 11. forduló kellene legyen, ehelyett most a listában a három leggyengébb pontszámos köröm van kiesőre rakva.
Köszönöm (rámfért már) 
Igen gyorsan összedobtam egy kiesőst a fenti linkre, a hibákat kérem itt jelezni (LibreOffice-ban csináltam és bolond dolgokat csinált...).
Igen gyorsan összedobtam egy kiesőst a fenti linkre, a hibákat kérem itt jelezni (LibreOffice-ban csináltam és bolond dolgokat csinált...).
Szabóka és húfúvás duó nyerte a soproni fordulót. Gratulálok nekik és mindenkinek, aki elégedett volt a soproni teljesítményével.
Forduló: Link
Összetett: Link
Goldman a következő kiíró, így szeretnénk kérni egy helyszínt és egy időpontot.
Választható helyszínek:
Budapest-Újpest [metnet-es észlelő]
Csíkszereda (Miercurea Ciuc) [15170]
Debrecen [12882]
Kecskemét [12970]
Kékestető [12851]
Nagykanizsa [12925]
Pécs-Egyetem [38528]
Siófok [metnet-es észlelő]
Meteorológiai állomások beosztása: Link
Forduló: Link
Összetett: Link
Goldman a következő kiíró, így szeretnénk kérni egy helyszínt és egy időpontot.
Választható helyszínek:
Budapest-Újpest [metnet-es észlelő]
Csíkszereda (Miercurea Ciuc) [15170]
Debrecen [12882]
Kecskemét [12970]
Kékestető [12851]
Nagykanizsa [12925]
Pécs-Egyetem [38528]
Siófok [metnet-es észlelő]
Meteorológiai állomások beosztása: Link
Úgy látom a kuruc dombot összekevertem a kőfejtővel. Ott esett az eső szakványban meg gyenge északnyugati szél és 7 fokos max. A dombon még nyomoronc 1,1 mm sem bírt összejönni.
A met.hu-s 24 órás maximumhőmérséklet térképen 5 fok szerepel, így nagy valószínűséggel az a Tmax.
Összfelhőzet: 7 okta
Jelenidő: Nincs.
T min: 1,2°C
T akt: 1,7°C
Szélirány: 350° (északi)
Erőssége: 6 m/s (mérsékelt)
Jelenidő: Nincs.
T min: 1,2°C
T akt: 1,7°C
Szélirány: 350° (északi)
Erőssége: 6 m/s (mérsékelt)
Úgy néz ki, a jelenidő késett, ez van, engem jobban fog idegesíteni ha 1,4°C lesz a min., már megint a tizedes, meg a többiek
7:03-kor meg már esőt észleltek. Alighanem befejezem a jelenídő előrejelzését. Nincs értelme ilyen szabályok mellett.
Az automata méréseiből meg mérsékelt északi szélre és 1 fokos Tmin-re lehet következtetni.
Közben Imivel összeköttük a
bajszot, mákostészta, vagy dióstészta. Legutóbb egy recöptel a tejfölös- vaníliás palacsintáról, ledöndöltem magamat, meg a nejemet.
Hajrá hózápor, a +5 pontért!
bajszot, mákostészta, vagy dióstészta. Legutóbb egy recöptel a tejfölös- vaníliás palacsintáról, ledöndöltem magamat, meg a nejemet.
Hajrá hózápor, a +5 pontért!
Közben letelt az 1.2-es határidő, de most kivételesen sikerült nem elfelejteni és még fent is lenni időben
Úgy tudom Pitom egy raklapnyi bálamadzaggal jól körülvett MelegLevegőt hoz haza transver Bp.-re, megosztva az ország területére még ha +0,19 lenne az átlag. 
Februári beosztás valamikor csak a hét vége felé lesz, ha zseeggee beosztásos állomást szeretne választani.
Pitomkának haza kell érnie a trópusokról visszarázódni ebbe a gyönyörű évszakba és utána tudom zaklatni ilyenekkel.
Pitomkának haza kell érnie a trópusokról visszarázódni ebbe a gyönyörű évszakba és utána tudom zaklatni ilyenekkel.
Igen, pontozok is.
A fordulót gulyasme és honza nyerte. Gratulálok neki és mindenkinek, aki elégedett a teljesítményével!
Forduló: Link
Összetett: Link
A következő kiró zseegee lesz. Szeretnénk kérni egy helyszínt és egy időpontot.
Választható helyszínek:
Budapest-Újpest [metnet-es észlelő]
Csíkszereda (Miercurea Ciuc) [15170]
Debrecen [12882]
Kecskemét [12970]
Kékestető [12851]
Nagykanizsa [12925]
Pécs-Egyetem [38528]
Siófok [metnet-es észlelő]
Sopron-Kurucdomb [nincs kódja]
Meteorológiai állomások beosztása: Link
A fordulót gulyasme és honza nyerte. Gratulálok neki és mindenkinek, aki elégedett a teljesítményével!
Forduló: Link
Összetett: Link
A következő kiró zseegee lesz. Szeretnénk kérni egy helyszínt és egy időpontot.
Választható helyszínek:
Budapest-Újpest [metnet-es észlelő]
Csíkszereda (Miercurea Ciuc) [15170]
Debrecen [12882]
Kecskemét [12970]
Kékestető [12851]
Nagykanizsa [12925]
Pécs-Egyetem [38528]
Siófok [metnet-es észlelő]
Sopron-Kurucdomb [nincs kódja]
Meteorológiai állomások beosztása: Link
Köszi!
A pontozással én megvárnám a reggelt, az esély elhanyagolható, de mégsem 0.
Tmin: -12
Tmax: 0
Takt: -6
Felhőzet: 7 okta
Jelenidő: nincs
Szél: gyenge déli
A pontozással én megvárnám a reggelt, az esély elhanyagolható, de mégsem 0.
Tmin: -12
Tmax: 0
Takt: -6
Felhőzet: 7 okta
Jelenidő: nincs
Szél: gyenge déli
Úgy látom kettőnk közt az arany középút győzik, a felhőzet kivételével. 
Azt kevesen találták el, bár télen erősen lutri ennek az eltalálása.
Azt kevesen találták el, bár télen erősen lutri ennek az eltalálása.
Egyetlen 10 perces mérés erejéig
Úgyhogy 99,9999 %, hogy 0 fok a max.
Ha jól tudom, a versenyben arra törekszünk, hogy minden fordulóban észlelővel ellátott állomást válasszunk, azaz ne távészlelős állomást.
Ezért készül mindig az állomások havi beosztása, mely szerint Békéscsabán ma 24 órás észlelés van:
Link
A legalább -0,5°C könnyen összejöhet, talán a +0,6°C is, de ahhoz még rendesen erölkődnie kell...
Ezért készül mindig az állomások havi beosztása, mely szerint Békéscsabán ma 24 órás észlelés van:
Link
A legalább -0,5°C könnyen összejöhet, talán a +0,6°C is, de ahhoz még rendesen erölkődnie kell...
Az előző hsz.-emben lemaradt a " honnét tudja".
Hát pótolom, az a metész észlelői felületen un. távészlelés kategória, tehát a telepített műszerek adatait közli le egy erre a területre beosztott (OMSZ) meteorlógus, jelen esetben Mojdisz István.
Tehát ha lehet zárójelben () irjuk be az észlelés eredetét, a további viták elkerülése érdekében.
Pl:
[table]2022. január 25. 11:52 5600 Békéscsaba [mojdisz istván] [3] (OMSZ-ÉSZ) -2.4 °C
erősen felhős
Látástávolság
> 10 km
Összfelhőzet: 7 okta. Felhőzet: 7 okta Sc (1500-2000 m)[table]
Amúgy jó lenne elcsípni azt a +1 fokot maxnak. Haladunk.. felfelé
Hát pótolom, az a metész észlelői felületen un. távészlelés kategória, tehát a telepített műszerek adatait közli le egy erre a területre beosztott (OMSZ) meteorlógus, jelen esetben Mojdisz István.
Tehát ha lehet zárójelben () irjuk be az észlelés eredetét, a további viták elkerülése érdekében.
Pl:
[table]2022. január 25. 11:52 5600 Békéscsaba [mojdisz istván] [3] (OMSZ-ÉSZ) -2.4 °C
erősen felhős
Látástávolság
> 10 km
Összfelhőzet: 7 okta. Felhőzet: 7 okta Sc (1500-2000 m)[table]
Amúgy jó lenne elcsípni azt a +1 fokot maxnak. Haladunk.. felfelé
Jobb híján 4 oktára lőttem be a kettö közé. Nem jött be.
A szél gyenge déli lett, 170°, 3 m/s
A szél gyenge déli lett, 170°, 3 m/s
