Információk az előrejelzési versenyhez
Versenyinformációk
A VERSENYSZABÁLYZATÚj előrejelzés elküldése az előrejelzési versenybe
A legutóbbi forduló eredménye
A verseny összesített állása
A 3 kieső fordulót nem tartalmazó összesített lista
A synop-kódok értelmezéséhez egy kis segítség
Szélirány-meghatározáshoz segítség
Stelvio segítségével megjelenített összesített ranglista
Stelvio segítségével megjelenített örökranglista
Stelvio segítségével megjelenített dicsőséglista
A meteorológiai állomások elhelyezkedése
A meteorológiai állomások beosztása
Ha nem lesz csapi, 14 pontom jött össze 1.0-val, rosszabbra számítottam a magas T miatt.
Hidegcsepp tűnik befutónak ebben a fordulóban, ha jól számoltam
Hidegcsepp tűnik befutónak ebben a fordulóban, ha jól számoltam
Nem lesz mezőnybukta, mert a 10 pont szinte garantált, eső nem várható, ami 5 pont, ehhez jön a minimum, ami 3 v. 2 pont a többségnek, a szél sem lesz gyengénél erősebb, azaz a 9 pont már össze is jön, ami 1.2-es szorzóval már összehozza a többségnek a 10 pont feletti fordulót.
Ritka az ilyen szűk intervallum a Tmax-nál, de bármelyik paraméternél egyáltalán
Érik is a mezőnybukta
Annya kinja, én megálltam a 8 foknál. Na szóval kiszámíthatalanok ezek az olaszos medik, arra keleti felföldön is.
Az első nyers papiros tipp +2 fok volt,1,2-es szorzóval, majd 1 és utolsóra +4 Ejnye..
Vezettem éppen, kinyomtam, és elfelejtettem
Aztán mikor írtam az előző posztot, akkor jutott eszembe
Beállítom a riasztást egy órával az időpont előtt, de így is lemaradok róla... Ilyenkor mit csináljak 



No, a nyári fölényes kanizsai fordulógyőzelmem után most sikerült itt egy utolsó helyet összehoznom.


Apró "vigasz", hogy az 1,2-es tippem is csak 9,6 pontot hozott volna. Gratulálok a 20+ pontosoknak!
Apró "vigasz", hogy az 1,2-es tippem is csak 9,6 pontot hozott volna. Gratulálok a 20+ pontosoknak!
Ha jól értelmezem a szavaitokat, akkor óra 09-kor volt az észlelés. Ez a 15-20 perc még belefér? És ha ez még belefér, akkor még mennyi fér bele? 21 mehet? Ha 21 mehet, akkor 22 is?
Csak azért kérdezem, mert akkor az itteni versenynél nem fogok itthon sasolni pontos időpontban, hanem elmegyek mondjuk vásárolgatni, kipakolom a cuccokat, lecsüccsenek, kifújom magam, aztán észlelek egyet.
Csak azért kérdezem, mert akkor az itteni versenynél nem fogok itthon sasolni pontos időpontban, hanem elmegyek mondjuk vásárolgatni, kipakolom a cuccokat, lecsüccsenek, kifújom magam, aztán észlelek egyet.
Ilutomi9 a nagykanizsai forduló győztese. Szép teljesítmény!
Forduló: Link
Összetett: Link
A következő kiíró honza lesz, így szeretnénk kérni egy forduló kiírást.
Helyszín [állomáskód]
Bécs (Wien-Hohe Warte) [11035]
Békéscsaba [12992]
Budapest Liszt Ferenc nemzetközi repülőtér [lhbp]
Budapest-Újpest [metnet-es észlelő]
Csíkszereda (Miercurea Ciuc) [15170]
Debrecen [12882]
Felcsút [metnet-es észlelő]
Kecskemét [12970]
Lomnici-csúcs (Lomnicky Stít) [11930]
Miskolc-Diósgyőr [12772]
Paks [12950]
Pécs-Egyetem [38528]
Siófok [metnet-es észlelő]
Sopron-Kurucdomb [nincs kódja]
Szeged [12982]
Szolnok [12860]
Szombathely [12812]
Zágráb-Maksimir [14240]
Meteorológiai állomások beosztása a fejlécben.
Forduló: Link
Összetett: Link
A következő kiíró honza lesz, így szeretnénk kérni egy forduló kiírást.
Helyszín [állomáskód]
Bécs (Wien-Hohe Warte) [11035]
Békéscsaba [12992]
Budapest Liszt Ferenc nemzetközi repülőtér [lhbp]
Budapest-Újpest [metnet-es észlelő]
Csíkszereda (Miercurea Ciuc) [15170]
Debrecen [12882]
Felcsút [metnet-es észlelő]
Kecskemét [12970]
Lomnici-csúcs (Lomnicky Stít) [11930]
Miskolc-Diósgyőr [12772]
Paks [12950]
Pécs-Egyetem [38528]
Siófok [metnet-es észlelő]
Sopron-Kurucdomb [nincs kódja]
Szeged [12982]
Szolnok [12860]
Szombathely [12812]
Zágráb-Maksimir [14240]
Meteorológiai állomások beosztása a fejlécben.
Persze, ilyen ez, csak sajnos itt a szerencsefaktort most nem az időjárás adta, hanem az észlelő. 50-kor még bőven a város előtt volt az a csapadéktömb, amiből később ott szitált az eső.
Csapadék/24h: 3,5 mm
Csapadék/24h: 3,5 mm
"Kár, hogy ennyin múlik a jelenidő, hogy most nem 50 körül érkezett be az észlelés, hanem 15-20 perccel később."
Nyilván lehet 50 körül megszűnt a csapadék (amit én nagyobb valószínűséggel kizárok), de előtte is és utána is volt jelenidő, szóval...
Ilyen ez a pop szakma.
Nyilván lehet 50 körül megszűnt a csapadék (amit én nagyobb valószínűséggel kizárok), de előtte is és utána is volt jelenidő, szóval...
Ilyen ez a pop szakma.
Az észlelés szépen “megvárta” a jelenidőt, 23:09-ről van egy közepes erősségű szitálás esővel, 8 okta, hőmérséklet nélkül. Nagy valószínűséggel 7 fok, és gyenge északi szél (350/2).
Kár, hogy ennyin múlik a jelenidő, hogy most nem 50 körül érkezett be az észlelés, hanem 15-20 perccel később. Persze az 1.2-esben 8 okta, eső jelenidőről módosítottam…
Kár, hogy ennyin múlik a jelenidő, hogy most nem 50 körül érkezett be az észlelés, hanem 15-20 perccel később. Persze az 1.2-esben 8 okta, eső jelenidőről módosítottam…
Fordítottya Dorottya... Szóval ahogy mondják a met.gógusok, a medi ciklon kiszámíthatatlan. Lottó 4-5-ös.
Nagy kan (vaddisznó) zavarhat arrafelé be. Reméljük a műszerek el vannak kerítve....
Mi a bubus Nagykanizsával? Szél folyosó,+-, vagy derült estén nagy fagy? 
Félgázzal (13,2 )az első kör letudva.
Félgázzal (13,2 )az első kör letudva.
Gratulálok a nyerteseknek!
5 oktától gyötörve adtam le a 7 oktát. Hallgatni kellett volna a belső hangra => +2,4 pont és fordulógyőzelem
5 oktától gyötörve adtam le a 7 oktát. Hallgatni kellett volna a belső hangra => +2,4 pont és fordulógyőzelem
Az egykettesig azért lesz még pár modellfutás.
Csak nehogy a végén magamat szívassam meg.
Lehet is tippelni, köszi: Link
Miért érzem azt, hogy (finoman fogalmazva) ez egy szivatós forduló lesz?
Miért érzem azt, hogy (finoman fogalmazva) ez egy szivatós forduló lesz?
Az első fordulót lepontoztam, amit én, szabóka, Gordonka és adél 21 nyert. Gratulálok nekik és az elégedetteknek is! Nem hazudtolta meg magát most sem a kékesi 5 okta.

Forduló: Link
Összetett: Link
A következő kiíró Hidegcsepp95. Szeretnénk kérni egy helyszínt és egy időpontot.
Helyszín [állomáskód]
Bécs (Wien-Hohe Warte) [11035]
Békéscsaba [12992]
Budapest Liszt Ferenc nemzetközi repülőtér [lhbp]
Budapest-Újpest [metnet-es észlelő]
Csíkszereda (Miercurea Ciuc) [15170]
Debrecen [12882]
Felcsút [metnet-es észlelő]
Kecskemét [12970]
Lomnici-csúcs (Lomnicky Stít) [11930]
Miskolc-Diósgyőr [12772]
Nagykanizsa [12925]
Paks [12950]
Pécs-Egyetem [38528]
Siófok [metnet-es észlelő]
Sopron-Kurucdomb [nincs kódja]
Szeged [12982]
Szolnok [12860]
Szombathely [12812]
Zágráb-Maksimir [14240]
Meteorológiai állomások beosztása a fejlécben.
Forduló: Link
Összetett: Link
A következő kiíró Hidegcsepp95. Szeretnénk kérni egy helyszínt és egy időpontot.
Helyszín [állomáskód]
Bécs (Wien-Hohe Warte) [11035]
Békéscsaba [12992]
Budapest Liszt Ferenc nemzetközi repülőtér [lhbp]
Budapest-Újpest [metnet-es észlelő]
Csíkszereda (Miercurea Ciuc) [15170]
Debrecen [12882]
Felcsút [metnet-es észlelő]
Kecskemét [12970]
Lomnici-csúcs (Lomnicky Stít) [11930]
Miskolc-Diósgyőr [12772]
Nagykanizsa [12925]
Paks [12950]
Pécs-Egyetem [38528]
Siófok [metnet-es észlelő]
Sopron-Kurucdomb [nincs kódja]
Szeged [12982]
Szolnok [12860]
Szombathely [12812]
Zágráb-Maksimir [14240]
Meteorológiai állomások beosztása a fejlécben.
##############################################################################/kislexikon/#############################################################################
202211121500 AAXX 12151 12851 46/// /1503 10065 20022 39141 42918 57003
555 10074=
MET ÉSZ alapján 5 okta és 6.4C
Azaz 6C, 5 okta, 150fok 3m/s, gyenge DK-i szél
Ahogy Hidegcsepp megírta
202211121500 AAXX 12151 12851 46/// /1503 10065 20022 39141 42918 57003
555 10074=
MET ÉSZ alapján 5 okta és 6.4C
Azaz 6C, 5 okta, 150fok 3m/s, gyenge DK-i szél
Ahogy Hidegcsepp megírta
Ha minden igaz, akkor:
Takt: 6,4 °C
Felhőzet: 5 okta
Jelenidő: nincs
Szél: gyenge délkeleti (3 m/s, 150°)
Csapadék nem volt eddig, az itteni tízperecesek alapján pedig 9:50-kor 8,7 fok volt a legmagasabb érték, a Tmin-t pedig mzs írta, hogy 7 fok volt.
Takt: 6,4 °C
Felhőzet: 5 okta
Jelenidő: nincs
Szél: gyenge délkeleti (3 m/s, 150°)
Csapadék nem volt eddig, az itteni tízperecesek alapján pedig 9:50-kor 8,7 fok volt a legmagasabb érték, a Tmin-t pedig mzs írta, hogy 7 fok volt.
Mindig elfelejtem hogy a szinoptikusat nézzük...
Bár én is mindig az alapján szoktam.
Sorry!
Sorry!
“24 órás minimumhőmérséklet”
A játékban pedig a 11.11. 18 UTC - 11.12. 06 UTC közötti mérés számít.
A játékban pedig a 11.11. 18 UTC - 11.12. 06 UTC közötti mérés számít.
##############################################################################/kislexikon/#############################################################################
202211120600 AAXX 12061 12851 36/// /1304 10074 20004 39132 42910 52004
333 20070 55510061=
Tmin 7,0C
202211120600 AAXX 12061 12851 36/// /1304 10074 20004 39132 42910 52004
333 20070 55510061=
Tmin 7,0C
Üdv mindenkinek újra itt.
Elkészült az első forduló összefoglalója: Link
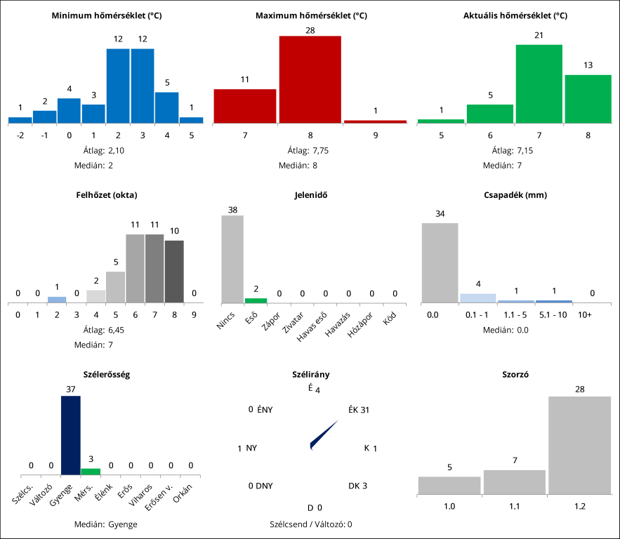
Izgalmas az indítás, főleg, ami a hőmérsékleteket illeti.
41 tipp érkezett be, remélem, minél többen kitartunk a végéig. 
Izgalmas az indítás, főleg, ami a hőmérsékleteket illeti.



