Információk az előrejelzési versenyhez
Versenyinformációk
A VERSENYSZABÁLYZATÚj előrejelzés elküldése az előrejelzési versenybe
A legutóbbi forduló eredménye
A verseny összesített állása
A 3 kieső fordulót nem tartalmazó összesített lista
A synop-kódok értelmezéséhez egy kis segítség
Szélirány-meghatározáshoz segítség
Stelvio segítségével megjelenített összesített ranglista
Stelvio segítségével megjelenített örökranglista
Stelvio segítségével megjelenített dicsőséglista
A meteorológiai állomások elhelyezkedése
A meteorológiai állomások beosztása
Link alapján a 27,3°C 16:50-es, a 27,1°C pedig 17:00-s adat....
12970 25984 /1603 10271 20155 30051 40184 57010 333 60005 90710 91107 91007==
Kicsivel később ráfrissítve (ogimeten), a felhőzet eltűnt, a szél gyenge déli (160/3), a hőmérséklet pedig 27,1 fok.
szerk.: érdekes, a szél pedig ezek szerint az óra 40-es érték? Mert mind az 50-es, mind az egészes mérés 155 fokot mutat.
Kicsivel később ráfrissítve (ogimeten), a felhőzet eltűnt, a szél gyenge déli (160/3), a hőmérséklet pedig 27,1 fok.
szerk.: érdekes, a szél pedig ezek szerint az óra 40-es érték? Mert mind az 50-es, mind az egészes mérés 155 fokot mutat.
12970 42780 51503 10273 20157 30053 40184 57011 84162 333 84850 555 10049 /7540=
5 okta
gyenge DK (3 m/s, 150°)
27,3°C
nincs szignif.
5 okta
gyenge DK (3 m/s, 150°)
27,3°C
nincs szignif.
Úgy néz ki a felhők miatt nem jön össze, és ez talán a 28 fokos Takt-nak is betehet.
10 percesekben 28,2 fok volt a teteje.
10 percesekben 28,2 fok volt a teteje.
14:40 27,6°C, ezzel a 28 is behúzva.
A következő 2 órában nekimehetne még a 28,6°C-nak, csak egyetlen fokocska kellene hozzá.... Nem olyan nehéz, vannak állomások, melyeknek már sikerült, sőt 1-2-nek már a kerekített 30 is....
A következő 2 órában nekimehetne még a 28,6°C-nak, csak egyetlen fokocska kellene hozzá.... Nem olyan nehéz, vannak állomások, melyeknek már sikerült, sőt 1-2-nek már a kerekített 30 is....
Viszont neked könnyű dolgod van, ha beszélned kell egy orvossal erről.
Jajj, ez annyira tipikus nálam ebben az idényben... Természetesen 13 fokot tippeltem, de így ez sz.rt sem ért.
Mondjuk én már elengedtem ezt a nyári bajnokságot és már a téli körre edzek...
Törlöm rendszeresen (illetve rendszertelenül).
Arra emlékszem, hogy olvastam. Ezek szerint mégse és öregkori demenciába oltott konfabulálásban szenvedek.
Eddig még nem tapasztaltam, de úgy fest össze kell haverkodnom vele.
Mindegy, ennyit nem ér meg a sztorim.
Jó izgalmakat a fordulóra mindenkinek!
Arra emlékszem, hogy olvastam. Ezek szerint mégse és öregkori demenciába oltott konfabulálásban szenvedek.
Mindegy, ennyit nem ér meg a sztorim.
Jó izgalmakat a fordulóra mindenkinek!
Ha kaptál visszaigazolást és nem törölted ki, akkor tudod bizonyítani, hogy hiba történt.
Az én levelezésem így néz ki:
Az én levelezésem így néz ki:

No, látom, nem adtam le erre a fordulóra se tippet.
Pedig emlékeim szerint igen, de ezek szerint mégse ment el..... Pedig még a visszaigazoló mailra is emlékszem és vissza is néztem. Vagy eltűnt a tippem a bitek világában vagy teljesen meghibbantam.
Ez van, amikor kapkodásba mennek át a dolgaim.
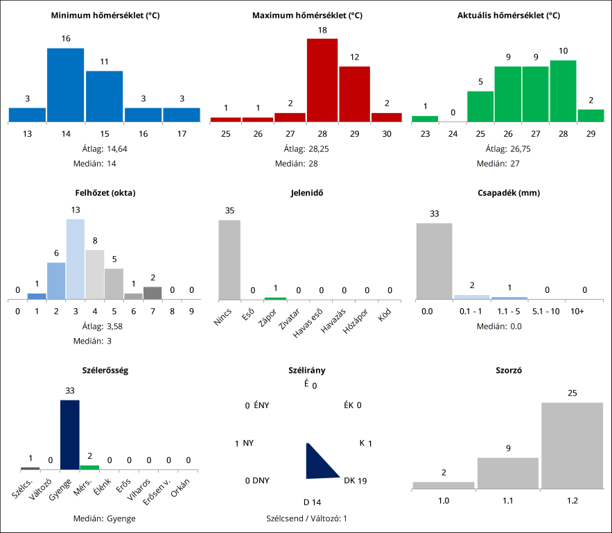
(Ha jól emlékszem ez lett volna: 16, 28, 27, 3 okta, gyenge dk, nincs, nincs.
Azért írom le csak, hogy újból dührohamot kaphassak.
)
Pedig emlékeim szerint igen, de ezek szerint mégse ment el..... Pedig még a visszaigazoló mailra is emlékszem és vissza is néztem. Vagy eltűnt a tippem a bitek világában vagy teljesen meghibbantam.
Ez van, amikor kapkodásba mennek át a dolgaim.
(Ha jól emlékszem ez lett volna: 16, 28, 27, 3 okta, gyenge dk, nincs, nincs.
Azért írom le csak, hogy újból dührohamot kaphassak.
16°C lehet a Tmin. A 10 percesek közt 16,5°C a legalacsonyabb.
Az 5:20-as helyzet szerint a 2 legközelebbi állomás a 13 fokot is hozta. Ügyes
Az 5:20-as helyzet szerint a 2 legközelebbi állomás a 13 fokot is hozta. Ügyes

Elkészült az összefoglaló.
Link
Úgy néz ki, ebben a fordulóban is majd az apróságokkal lehet itt-ott plusz pontokat szerezni.
Úgy néz ki, ebben a fordulóban is majd az apróságokkal lehet itt-ott plusz pontokat szerezni.

Te majd elvileg azon fogsz nagyot szakítani, amit majd én utoljára kiírok 
Ha majd a kezem a bilibe ér.
De valóban, eddig szerencsés voltam.
Ha pedig az utolsó forduló döntene, akkor -bár nem vagyok csalós (igaz, hogy mindenki ezt állítja magáról
)- ha akarnék se tudnék csalingázni, mert eddig rendszeresen közös észleléseket tartottunk.
De valóban, eddig szerencsés voltam.
Ha pedig az utolsó forduló döntene, akkor -bár nem vagyok csalós (igaz, hogy mindenki ezt állítja magáról
Valójában még simán meg is nyerheted a nyári kört 
Az önkoronázásról akkor viszont élö közvetítést kérnénk
Az önkoronázásról akkor viszont élö közvetítést kérnénk
Konstans sz@rul játszom, de engem is meglepett a visszaesésem (pedig már nem nagyon volt hova)
Egyszer minden a helyére kerül

Sztem a rendszer a 17. forduló után úgy érzékeli, hogy 4 fordulót kihagytál - és ezzel nem vagy egyedül- (ahogy nézem a 2. + a hátralévő 3), ezért sorolt hátra.
Ha böcsületesen tippelgetsz visszatérsz a jól megérdemelt helyre
.
Mi, akik előtted vagyunk, eddig minden fordulóban tippeltünk több-kevesebb (én ide sorolom magam) sikerrel.
Szóval no para papa
Sztem a rendszer a 17. forduló után úgy érzékeli, hogy 4 fordulót kihagytál - és ezzel nem vagy egyedül- (ahogy nézem a 2. + a hátralévő 3), ezért sorolt hátra.
Ha böcsületesen tippelgetsz visszatérsz a jól megérdemelt helyre
Mi, akik előtted vagyunk, eddig minden fordulóban tippeltünk több-kevesebb (én ide sorolom magam) sikerrel.
Szóval no para papa
Tisztelettel szeretném megkérdezni, hogy én kizárásra kerültem a versenyből? 
Vagy legalábbis, miként kerültem hirtelen a 28. helyre?
Vagy legalábbis, miként kerültem hirtelen a 28. helyre?
Ha lehet, menjünk Kecskemétre szeptember 17-én, vasárnap 17 órakor (15 UTC).
Hmm... a Metnet-en késleltetve megjelenített adatsor 23,8°C-ot és 11,2 fokos Td-t mutat 20:00-ra. De lényeg, hogy kicsit enyhébb és kicsit nedvesebb a levegő, mint tegnap ilyenkor, elvileg a T850 is picit magasabb mint tegnap így jó esély van egy 17 vagy 18 fokos Tmin-re a tegnapi nap alapján.
20:00 -kor: 23,7°C (Td: 11,5°C)
Tegnap ilyenkor 23,3°C és 9,3°C-os Td volt, akkor 16,2 lett az alja. Remélem reggelig megáll 17,5-nél (vagy picit feljebb)
Tegnap ilyenkor 23,3°C és 9,3°C-os Td volt, akkor 16,2 lett az alja. Remélem reggelig megáll 17,5-nél (vagy picit feljebb)
Várjunk csak.
Pécs Egyetem állomás hol van. Ez akkor nem Pogány, és dombtető és sík vidék, hanem talán Pécs Boszorkány utca?
Pécs Egyetem állomás hol van. Ez akkor nem Pogány, és dombtető és sík vidék, hanem talán Pécs Boszorkány utca?
Sorry, a sor végét nézem mindig az összetettben és elnéztem. Javítva.
Bocsi, hogy "belevau", de én biztos nem javítottam 2 helyet, mivel sikerült ügyesen kihagynom ( 

) a fordulót, emiatt nekem egy 10,8-as korábbi kieső pontszám kerül be a számításba.
Akkor irány Pécs-Egyetem! Az időpont pedig legyen 2023.09.10. (vasárnap) 07:00.
Ha már ilyen nyugodt időjárás vár ránk a héten, akkor legalább a reggeli hőmérsékletek hozzanak valami izgalmat.
Ha már ilyen nyugodt időjárás vár ránk a héten, akkor legalább a reggeli hőmérsékletek hozzanak valami izgalmat.
Maradt a nyomnyi csapadék (sajnos), így a fordulót met4ever nyerte előttem és mzs előtt, gratulálok!
Forduló: Link
Összetett: Link
Misimókus lesz a következő kiíró, így szeretnénk kérni egy helyszínt és egy időpontot.
Választható helyszínek:
Kecskemét [12970]
Pécs-Egyetem [38528]
Siófok [metnet-es észlelő]
Szeged [12982]
Állomások beosztása a fejlécben.
Forduló: Link
Összetett: Link
Misimókus lesz a következő kiíró, így szeretnénk kérni egy helyszínt és egy időpontot.
Választható helyszínek:
Kecskemét [12970]
Pécs-Egyetem [38528]
Siófok [metnet-es észlelő]
Szeged [12982]
Állomások beosztása a fejlécben.
