Információk az előrejelzési versenyhez
Versenyinformációk
A VERSENYSZABÁLYZATÚj előrejelzés elküldése az előrejelzési versenybe
A legutóbbi forduló eredménye
A verseny összesített állása
A 3 kieső fordulót nem tartalmazó összesített lista
A synop-kódok értelmezéséhez egy kis segítség
Szélirány-meghatározáshoz segítség
Stelvio segítségével megjelenített összesített ranglista
Stelvio segítségével megjelenített örökranglista
Stelvio segítségével megjelenített dicsőséglista
A meteorológiai állomások elhelyezkedése
A meteorológiai állomások beosztása
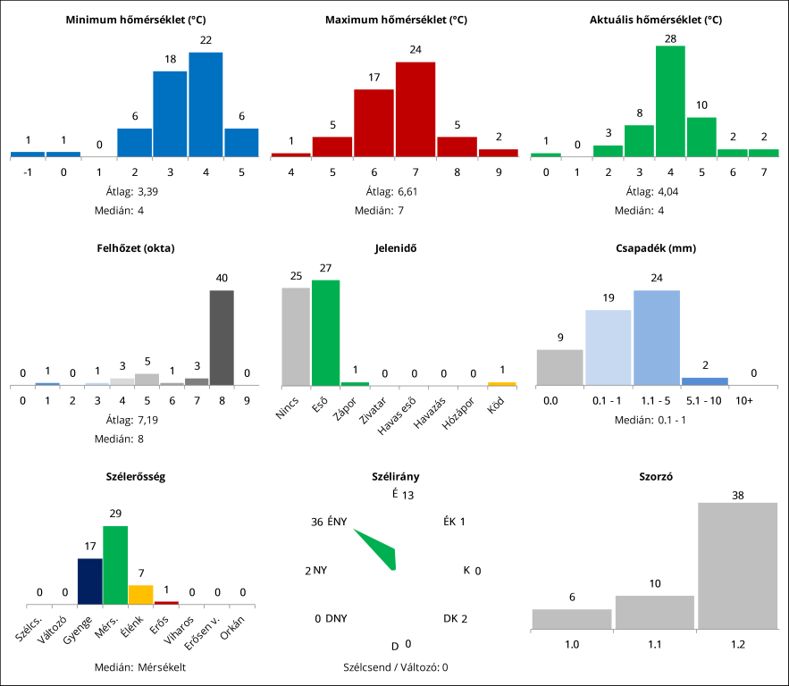
Elkészült az összefoglaló.
Az 1.2-es tippnél nekem is egyértelmű volt a jelenidő, ha másnem az 5 pont miatt, most már azért eléggé pengeél helyzet.
Nagyjából fele-fele egyébként a nincs jelenidő/eső tipp, úgyhogy ezen állhat vagy bukhat ez a forduló.
A csapadékmennyiség még a másik kérdés, hogy lesz-e több 1 mm-nél, vagy éppen a másik véglet, ha semmi nem fog esni. 

1.2-es időtávból a jelenidőt meg kellett adni. Ha bizonytalan a helyzet én mindig a jelenidő felé hajlok a több pont reményében.
Még az 1.0-ás tippeknél hatból öt jelenidős.
Mindenesetre tényleg nagyon rezeg a léc, most már én sem adnék.
Még az 1.0-ás tippeknél hatból öt jelenidős.
Mindenesetre tényleg nagyon rezeg a léc, most már én sem adnék.
Gondolkodtam a változtatáson, de mivel tegnap és ma is 6:58-kor sikerült eljutnom oda, hogy rápillantsak a modellekre, végül maradt az eredeti tipp. 
Főleg a jelenidőt érzem bizonytalannak, de hátha lesz még valami kis szitálás vagy cseperészés reggel.
Főleg a jelenidőt érzem bizonytalannak, de hátha lesz még valami kis szitálás vagy cseperészés reggel.
Én meg itt örömködök, hogy sikerült az 1,2-es.... És.most nézem hogy a leadási határidőre adtam le az előrejelzést, nem pedig a forduló időpontjára...
áhhh...
Nem baj, akkor lesz 1.0
Nem baj, akkor lesz 1.0
Bezzeg a kórházban már fél 6 után rám kapcsolták most a villanyt.
Még szerencse, hogy felébredtem a beágyazott zápor hangjára és gyors le tudtam adni egy nyerő 1.2-est
Megfésüljük a gyökérkefével 
Ó bocs a papóért, többet nem fordul elő...papó
Ó bocs a papóért, többet nem fordul elő...papó
Majd a két vén iszapszemű rája befenyíti a kopasz, felsőágyas gyíkot. 
De nekem ne papózz itten, mert ormányon kormányozlak.
De nekem ne papózz itten, mert ormányon kormányozlak.
Azisigaz, de hagyjuk
Na gyüjjé csak le Sijjófokra, Télemerbával felküldünk észlelni a jakuzzira

Nem tisztelik a kort, hova tart a világ, Zsolt papó mitszólszehhez???
Ész +áll
Na gyüjjé csak le Sijjófokra, Télemerbával felküldünk észlelni a jakuzzira
Nem tisztelik a kort, hova tart a világ, Zsolt papó mitszólszehhez???
Ész +áll
Megen ezek a figyelmeztetések 
A seregben már reggel 6-kor szólt az egy-kettő, egy-kettő, 7-kor meg reggeli volt (olyan amilyen)
A seregben már reggel 6-kor szólt az egy-kettő, egy-kettő, 7-kor meg reggeli volt (olyan amilyen)
Éljenek a hétpontosok!
Mondjuk tegnap nézegetve a jelenidőt, magamnak még ennyit se reméltem...
Mondjuk tegnap nézegetve a jelenidőt, magamnak még ennyit se reméltem...
Mondjuk ahhoz képest, hogy telefonról 15 perc alatt adtam le VEDELÉS közben, örülök, hogy nem adtam hőségnapot
Tomi tesztelte, hogy működik-e. Aztán sikerült többször a teszt.
Egyet értek veled.
Én 2x szóltam a szegedi csoportban.
Második kérésemet meghallották.
Én 2x szóltam a szegedi csoportban.
Második kérésemet meghallották.
Régen minden jobb volt
(De abszolut egyetértek)
Na, akkor kicsit kibabrált sokunkkal a ciklon. Több volt ebben a fordulóban, de soha rosszabbat egy 20,4 pontos kezdésnél
Gratula a nyertesnek és a dobogósoknak, meg a sok jelenidősnek.
Na, akkor kicsit kibabrált sokunkkal a ciklon. Több volt ebben a fordulóban, de soha rosszabbat egy 20,4 pontos kezdésnél
Gratula a nyertesnek és a dobogósoknak, meg a sok jelenidősnek.
Nekem pedig teljesen logikus, ha lemérem akkor felrögzítem. Lemértem, húsz másodperc az egész történet még egy okostelefonon is. Nyilván más lenne a történet. ha szilárd csapadék lenne a mérőben, de erre is vannak technikák ugye, hogy hogyan gyorsítsuk a folyamatot. Ha délig lehet, akkor tök logikus lenne, ha a hójelentés fülön szereplő állomások adatait nem délelőtt 10 órakor húznák rá a térképre, hanem akkor 12 órakor. Régmúlt időkben hajdanán, amikor még ktx alapon küldtük be a táviratokat, ott bizony csapadékméréskor (is) óra 55-ig a létezhető minden adatot (dérkorong, zúzmara-adatok, csapadék mennyiség, hóréteg vastagsága, párolgás stb) be kellett vinni, különben a rendszer késésnek könyvelte el. Azóta a rendszer fellazult, aztán ezt döntse el mindenki, hogy jó-e vagy sem.
Én meg ma azt tudtam meg, hogy max délig kell feltölteni.
Az észlelő nem hibázott, én voltam türelmetlen.
És lájkolom a hozzászólásomat!
Az észlelő nem hibázott, én voltam türelmetlen.
És lájkolom a hozzászólásomat!
Az első forduló győztese fzoltan2002 lett. Gratulálok neki és mindenkinek, aki elégedett volt az első fordulói teljesítményével. 
Forduló: Link
Összetett: Link
A következő kiíró deco05, így szeretnénk kérni egy helyszínt és egy időpontot.
Választható helyszínek:
Bécs (Wien-Hohe Warte) [11035]
Békéscsaba [12992]
Budapest-Újpest [metnet-es észlelő]
Csíkszereda (Miercurea Ciuc) [15170]
Debrecen [12882]
Eger [12870]
Felcsút [metnet-es észlelő]
Kecskemét [12970]
Kékestető [12851]
Lomnici-csúcs (Lomnicky Stít) [11930]
Miskolc-Diósgyőr [12772]
Paks [12950]
Pécs-Egyetem [38528]
Siófok [metnet-es észlelő]
Sopron-Kurucdomb [13704]
Szeged [12982]
Szolnok [12860]
Szombathely [12812]
Zágráb-Maksimir [14240]
Meteorológiai állomások beosztása: Link
Forduló: Link
Összetett: Link
A következő kiíró deco05, így szeretnénk kérni egy helyszínt és egy időpontot.
Választható helyszínek:
Bécs (Wien-Hohe Warte) [11035]
Békéscsaba [12992]
Budapest-Újpest [metnet-es észlelő]
Csíkszereda (Miercurea Ciuc) [15170]
Debrecen [12882]
Eger [12870]
Felcsút [metnet-es észlelő]
Kecskemét [12970]
Kékestető [12851]
Lomnici-csúcs (Lomnicky Stít) [11930]
Miskolc-Diósgyőr [12772]
Paks [12950]
Pécs-Egyetem [38528]
Siófok [metnet-es észlelő]
Sopron-Kurucdomb [13704]
Szeged [12982]
Szolnok [12860]
Szombathely [12812]
Zágráb-Maksimir [14240]
Meteorológiai állomások beosztása: Link
Most kerülhetett fel a csapadék-adat, mert én is azt vadásztam. Az meg már másodlagos, hogy egy főállomásról 11 óra előtt egy kicsivel kerül fel egy csapadék-adat, miközben mérni meg 06:45-kor kell...
AAXX 12061 12925 16/// /1701 11009 21010 39943 40120 52006 60002 333 21010 70047
24 órás csap. 4,7 mm meteomanz-os synop szerint.
24 órás csap. 4,7 mm meteomanz-os synop szerint.
"A csapadékmennyiség mérésénél a 2018. nyári versenykörtől kezdődően az OMSZ, valamint MetNet állomások esetében egész évben a helyi idő szerinti 06:45-06:45 közötti időintervallumot vesszük figyelembe, azaz a versenynap 06:45-től a versenynap utáni nap 06:45-ig számít a lehulló csapadék mennyisége.
A külhoni állomások esetében továbbra is 06 UTC-től másnap 06 UTC-ig számít a csapadékmennyiség."
5,4 millimétert mért eddig reggel óta az automata. Reggel kiderül majd a kézi is.
A külhoni állomások esetében továbbra is 06 UTC-től másnap 06 UTC-ig számít a csapadékmennyiség."
5,4 millimétert mért eddig reggel óta az automata. Reggel kiderül majd a kézi is.
Met.hu-n órás csapadékból 4,9mm-t lehet összeszámolni
nagyon sávhatáron lesz!
Nincs is már olyan messze az a napsütés! Link
Kérdés, hogy ilyen alacsony napállás mellett marad e annyi erő benne, hogy bemelegedjen
Kérdés, hogy ilyen alacsony napállás mellett marad e annyi erő benne, hogy bemelegedjen
Lehet ezzel szerencsénk is lesz, nem sokat adnék egy 9 fokos Tmax-nak jelenleg.
Gondoltam, majd dél körül Ny-Dny-assá válik a szél, és "tódul" majd be a meleg. Már nem vagyok benne biztos. Lehet meg is áll majd 8 foknál
1323 új hsz,rég jártam erre és úgy látom az első fordulóról le is csúsztam 
A továbbiakban beszállok én is a téli körre
A továbbiakban beszállok én is a téli körre
Erre mondanám, hogy "Hát igyunk pajtások, johó!", de száraz novembert tartok. 

Hajrá!
Hajrá!