Információk az előrejelzési versenyhez
Versenyinformációk
A VERSENYSZABÁLYZATÚj előrejelzés elküldése az előrejelzési versenybe
A legutóbbi forduló eredménye
A verseny összesített állása
A 3 kieső fordulót nem tartalmazó összesített lista
A synop-kódok értelmezéséhez egy kis segítség
Szélirány-meghatározáshoz segítség
Stelvio segítségével megjelenített összesített ranglista
Stelvio segítségével megjelenített örökranglista
Stelvio segítségével megjelenített dicsőséglista
A meteorológiai állomások elhelyezkedése
A meteorológiai állomások beosztása
Elkészült az összefoglaló, végre egy izgalmas forduló.
Bár ahhoz képest a tippek meglehetősen egységesek. Amin állhat vagy bukhat a forduló, hogy lesz-e jelenidő (kisebb eséllyel, de akár be is jöhet valami szemerkélés), leesik-e a 10+ mm csapadék, na meg persze ott van a szél is, ami bizonytalan. 
Gondolkoztam amúgy a módosításon, de aztán úgy voltam vele, hogy hadd szóljon az 1.2-es.
Gondolkoztam amúgy a módosításon, de aztán úgy voltam vele, hogy hadd szóljon az 1.2-es.

Pedig nem olyan nehéz....
Vagy lesz eső vagy nem. Vagy sok lesz vagy nem. Vagy lesz szél vagy nem és vagy hideg lesz vagy nem.
Vagy lesz eső vagy nem. Vagy sok lesz vagy nem. Vagy lesz szél vagy nem és vagy hideg lesz vagy nem.
Holnap reggel hétig egykettes, mivel könnyű fordulónak néz ki, aki egykettessel játszik, hatalmas előnnyel indul
Hát eddig szép volt, de most ez a forduló csúnya bukta lett részemről, ugyanis a tétova kiírás belecsúszott egy elutazásba, ahol térerőt is alig lehetett fogni. Pestimet rettentő veszélyes ellenfél, de nem csak ő!
4-5 fordulóval ezelőtt én is a 20-25. hely környékén tanyáztam, ha jól emlékszem, szóval még nincs veszve semmi!
Lassan esélytelen beverekedjem magam a 20-ba.... nem baj, játék az élet! Azért megpróbálom 
Te viszont szépen vezeted a mezőnyt, le a kalappal!
Te viszont szépen vezeted a mezőnyt, le a kalappal!
A fordulót lepontoztam, amit matyi06 nyert.
Forduló: Link
Összetett: Link
A következő kiíró Blizzard lesz, így szeretnénk kérni egy helyszínt és egy időpontot.
Választható helyszínek:
Budapest-Pestszentlőrinc [12843]
Miskolc-Diósgyőr [12772]
Paks [12950]
Siófok [metnet-es észlelő]
Meteorológiai állomások beosztása: Link
Forduló: Link
Összetett: Link
A következő kiíró Blizzard lesz, így szeretnénk kérni egy helyszínt és egy időpontot.
Választható helyszínek:
Budapest-Pestszentlőrinc [12843]
Miskolc-Diósgyőr [12772]
Paks [12950]
Siófok [metnet-es észlelő]
Meteorológiai állomások beosztása: Link
Na 31,5 fok lett a napi maximum. Mivel már nem fog fentebb menni a T, igy cserélek egy elemet a T és Rh szenzorban, mert elvileg gyenge. Aztán hátha megoldja a szélproblémát.
Úgyhogy nem kell megijedni, ha nagyon magas értékeket láttok.
Úgyhogy nem kell megijedni, ha nagyon magas értékeket láttok.
Jó lenne, ha legalább a kerekített 32 °C még összejönne, de elég neccesnek érzem. Akkor 4 pontot veszítenék a hőmérsékleti paraméterekkel, a többi viszont hibátlan lehet (hacsak nem lesz valami meglepi csapi reggelig).
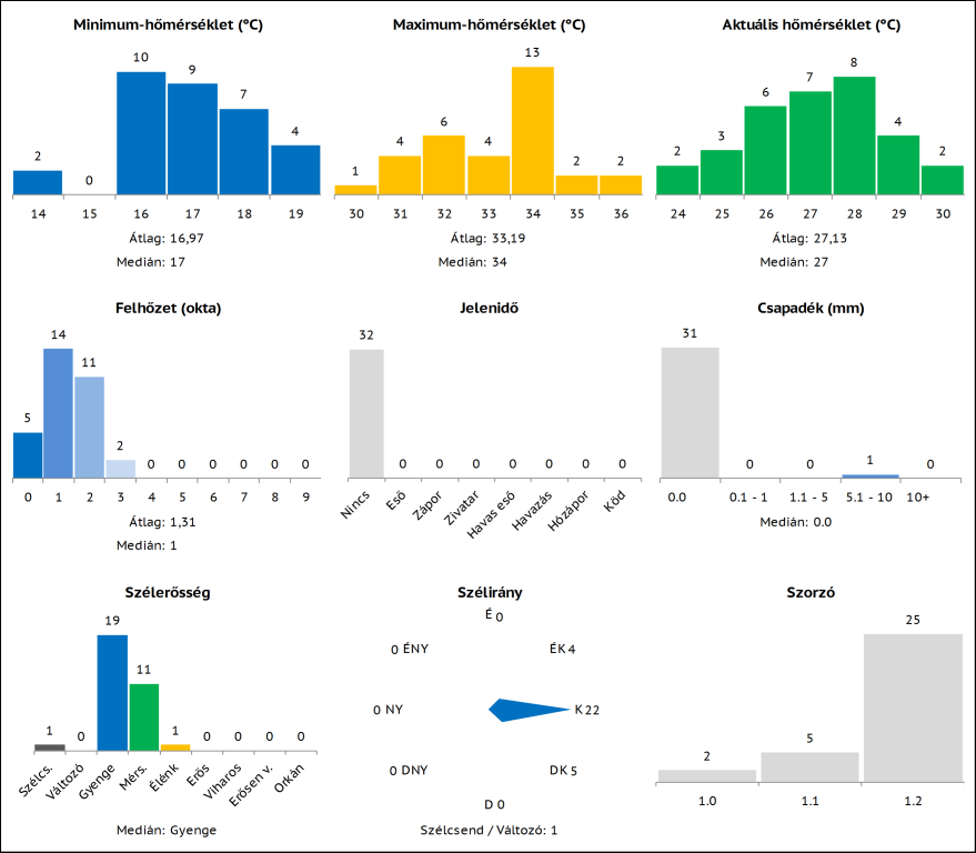
Imitől az infók:
Tmin: 16,6
Takt: 26,3
Felhőzet: 1 okta
Jelenidő: nincs
Szél: mérsékelt (5 m/s) keleti (96°)
Tmin: 16,6
Takt: 26,3
Felhőzet: 1 okta
Jelenidő: nincs
Szél: mérsékelt (5 m/s) keleti (96°)
Elkészült az összefoglaló.
Sok izgalom nem várható, a hőmérsékletek között vannak csak nagyobb eltérések. Azt meg már nem is merem mondani, hogy átlagjavító forduló lesz, mert biztos akad majd megint valami meglepetés. 

Hát, hogy hova lett a széladatom nem tudom.
Mindenesetre írtam Nano-nak üzenetet, hátha tud rajtam segíteni.
Így a széladatot innen fogjuk venni: Link
Így a széladatot innen fogjuk venni: Link
Már elöbb leadtam, de az egyik paramétert kihagytam, így újra le kellett adnom
09:59:42
09:59:42
Vagy kitolódik a nyári kör egy hónappal. Ne kelljen november elején is 20 fokokkal foglalkozni..
Itt az új időpont. 
2024.08.29. 21:00
Felcsút pálya Pálya.
A csapadék garantált.
Sok szemtanú és fény is lesz. Kék is lila is. A végén derül ki, hogy derült, vagy borult.
Szóval?
2024.08.29. 21:00
Felcsút pálya Pálya.
A csapadék garantált.
Sok szemtanú és fény is lesz. Kék is lila is. A végén derül ki, hogy derült, vagy borult.
Szóval?
Hát akkor várjuk a szeptemberi munkarendet. Felcsúton ki is a megfigyelő? Lehet, hogy egyeztetek vele addig.
10 órát, azaz 8 UTC-t választottál. Csapadékmérshez kapcsolódó észlelés 2-án reggel 7 órakor, 5 UTC-kor lesz. Ha az neked jó, akkor oda kiírjuk,
Az nem elegendő, hogy 6.50-től vannak? Mivel mindennap legalább így zajlik a helyszíni észlelés, ezért bátorkodtam szeptember 2-re tenni. Augusztus 31-e elég közel van.
Szeptemberi beosztás még nincs. Türelmet kérek, valamikor a héten érkezik.
A fordulót lepontoztam, amit Zivipötty-mikahock duó nyerte, gratulálok!
Forduló: Link
Összetett: Link
Stelvio lesz a következő kiíró, így szeretnénk kérni egy helyszínt és egy időpontot.
Választható helyszínek:
Budapest-Pestszentlőrinc [12843]
Felcsút [metnet-es észlelő]
Miskolc-Diósgyőr [12772]
Paks [12950]
Siófok [metnet-es észlelő]
Meteorológiai állomások beosztása: Link
Forduló: Link
Összetett: Link
Stelvio lesz a következő kiíró, így szeretnénk kérni egy helyszínt és egy időpontot.
Választható helyszínek:
Budapest-Pestszentlőrinc [12843]
Felcsút [metnet-es észlelő]
Miskolc-Diósgyőr [12772]
Paks [12950]
Siófok [metnet-es észlelő]
Meteorológiai állomások beosztása: Link
Oda az automaták által mért adatok kerülnek be, ha jól tudom, szóval teljesen irrelevánsak.
Persze, az ogimet ismét mást hoz
202408251800 AAXX 25181 12992 05/70 83502 10282 20109 30028 40129 52003 60002 333 10361 59026 60007 70000 8//99 8//99 8//99
91003 90710 91104
555 60005==
202408251730 AAXX 25171 12992 45/70 83503 10289 20106 30027 40128 91730
333 8//99 8//99 91003==
202408251700 AAXX 25171 12992 25/70 83303 10298 20118 30025 40125 57003
333 59027 60005 70000 8//99 8//99 91004 90710
91106==
17 és 18 UTC között folyamatosan 8 oktával számolt
A szél 350fok és 2 m/s
az aktulális hőm: 28,2C
A Tmax pedig 36,1C fok volt
a portál adatai szerint.
202408251800 AAXX 25181 12992 05/70 83502 10282 20109 30028 40129 52003 60002 333 10361 59026 60007 70000 8//99 8//99 8//99
91003 90710 91104
555 60005==
202408251730 AAXX 25171 12992 45/70 83503 10289 20106 30027 40128 91730
333 8//99 8//99 91003==
202408251700 AAXX 25171 12992 25/70 83303 10298 20118 30025 40125 57003
333 59027 60005 70000 8//99 8//99 91004 90710
91106==
17 és 18 UTC között folyamatosan 8 oktával számolt
A szél 350fok és 2 m/s
az aktulális hőm: 28,2C
A Tmax pedig 36,1C fok volt
a portál adatai szerint.
Tmin 14
Tmax 36
Takt 28
Szél gyenge északi
Szignif nem volt
Felhőzet 7 okta (Cirrus)
Csap nem lesz
Tmax 36
Takt 28
Szél gyenge északi
Szignif nem volt
Felhőzet 7 okta (Cirrus)
Csap nem lesz
Azt nézzed meg, hogy tegnap mekkorát csökkent 19:50-re 10 perc alatt! 3 fokot!