2026. február 24., kedd

Információk az előrejelzési versenyhez

Adott napon: 
Keresés:
#72373
Nekem mind1, csak jelenjen laza
#72372
Záporrá lecsendesülve várom szeretettel   nyelvnyujtas
#72371
Ott is van a zivatar laza
Más kérdés, hogy van még 1 órakacsint
#72369
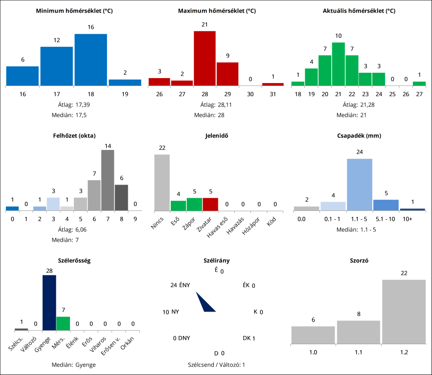
Így a forduló időpontjához közeledve elkészült az összefoglaló. nevet Link
A tízpercesek szerint 28,3 fok volt a teteje, kérdés, hogy az intervallumok között ment-e még feljebb néhány tizedet, vagy sem. Nyugat felől pedig már közeledik a csapadékzóna, úgyhogy lehet miért izgulni. laza

beillesztett kép

Havazás előrejelzés

Utolsó észlelés

2026-02-24 17:40:11

Arnót - Petõfi Sándor utca

7.1 °C

00002

Észlelési napló

Térképek

Radar
map
Aktuális hõmérséklet
map
Aktuális szél
map

Utolsó kép

156205

Hírek, események

Mediterrán ciklon hoz csöppnyi tavaszt és kicsivel több telet

Időjárás-változás | 2026-02-18 12:39

pic
Jelentős változást hoz hazánk és a térség időjárásába egy mediterrán ciklon, ami egy kis tavaszt és egy kis telet is tartogat.