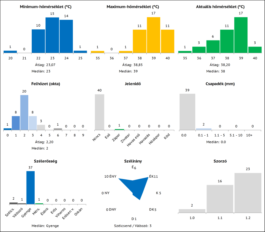
Elkészült az összefoglaló. nevet Egy viszonylag könnyed, átlagjavító fordulónak tűnik ez a szegedi, persze az utolsó szó az időjárásé lesz. laza

beillesztett kép