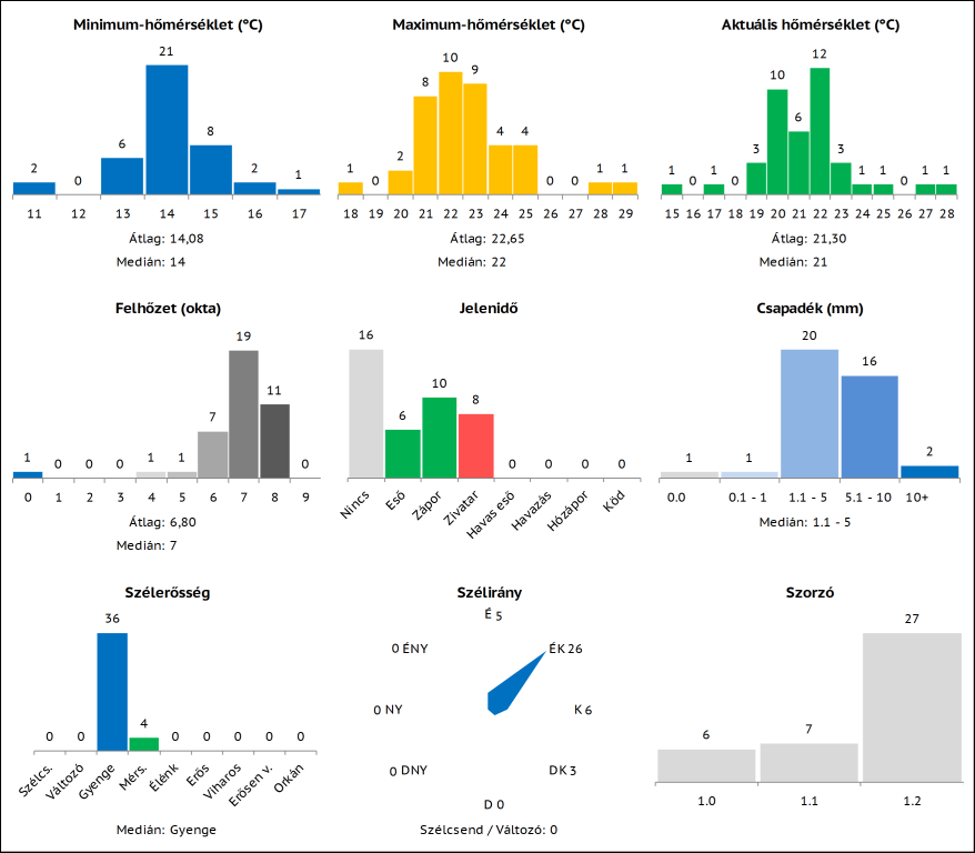
Elkészült az összefoglaló. nevet Izgalmas fordulónak néz ki, van sok jelenidő, mindenféle csapadékmennyiség és hőmérséklet. vidám

beillesztett kép