Információk az előrejelzési versenyhez
Versenyinformációk
A VERSENYSZABÁLYZATÚj előrejelzés elküldése az előrejelzési versenybe
A legutóbbi forduló eredménye
A verseny összesített állása
A 3 kieső fordulót nem tartalmazó összesített lista
A synop-kódok értelmezéséhez egy kis segítség
Szélirány-meghatározáshoz segítség
Stelvio segítségével megjelenített összesített ranglista
Stelvio segítségével megjelenített örökranglista
Stelvio segítségével megjelenített dicsőséglista
A meteorológiai állomások elhelyezkedése
A meteorológiai állomások beosztása
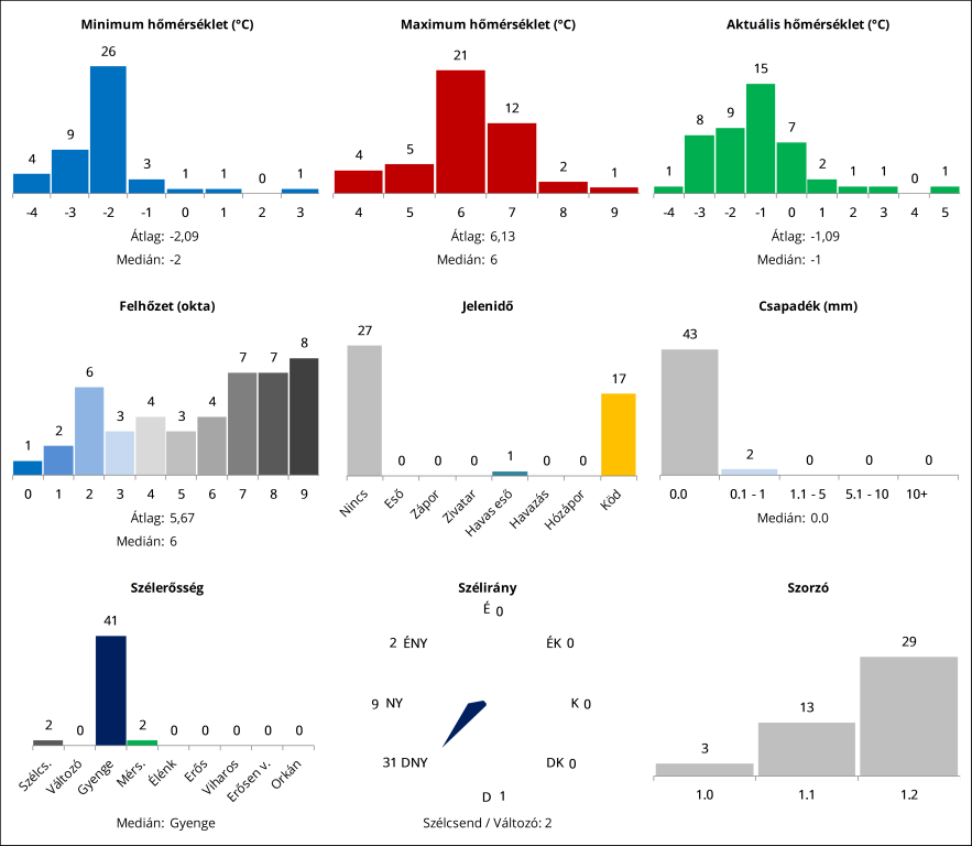
Elkészült az összefoglaló.
A felhőzetnél van minden is, illetve kérdés, hogy lesz-e köd reggelre, vagy sem.
Éjfélkor a MET-ÉSZ szerint 0 okta volt, >10km látástávolsággal, de persze reggelig még akármi történhet. A T eddig -2 fokig csökkent, kérdés, hogy fog-e menni lejjebb, illetve hogy reggelig merre fog még változni. 
