Elkészült az összefoglaló. nevet Link
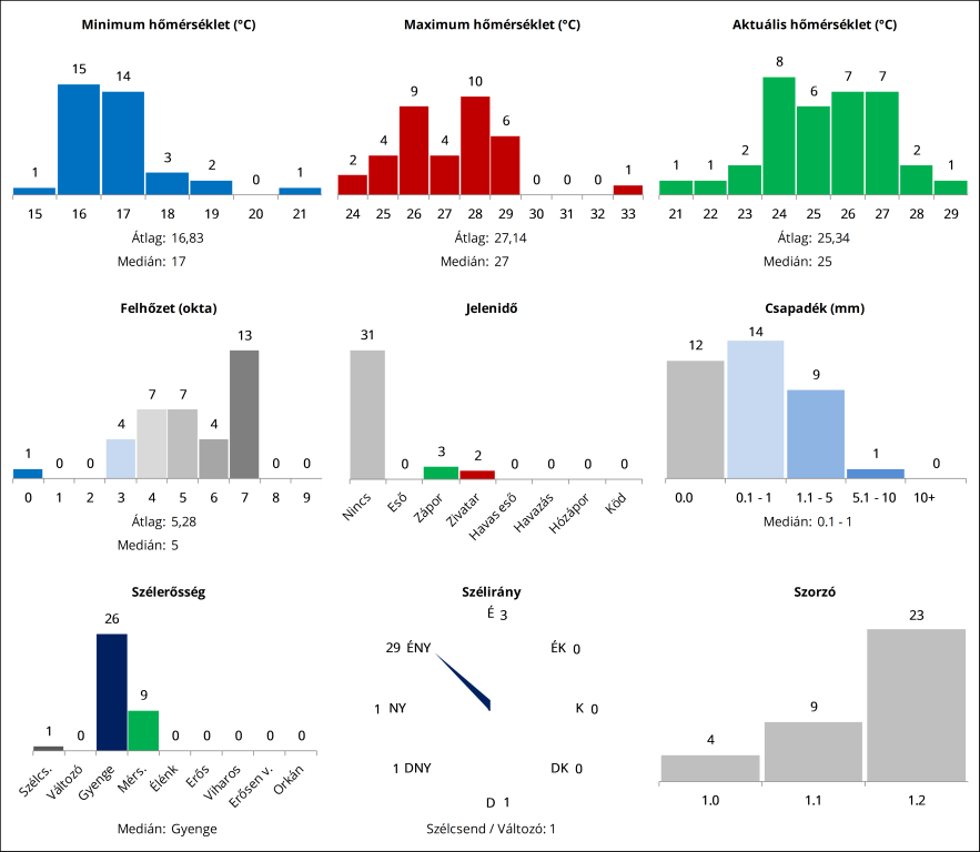
Van egy 0 fokos Takt érték, az nem szerepel a diagramon, és az átlagba/mediánba sincsen beleszámítva.
Érdekes forduló lesz, én még a módosításon is gondolkoztam, de aztán inkább bent hagytam az 1.2-est. Ahogy nézem, sokan mások is inkább így döntöttek. vidám

beillesztett kép