Információk az előrejelzési versenyhez
Versenyinformációk
A VERSENYSZABÁLYZATÚj előrejelzés elküldése az előrejelzési versenybe
A legutóbbi forduló eredménye
A verseny összesített állása
A 3 kieső fordulót nem tartalmazó összesített lista
A synop-kódok értelmezéséhez egy kis segítség
Szélirány-meghatározáshoz segítség
Stelvio segítségével megjelenített összesített ranglista
Stelvio segítségével megjelenített örökranglista
Stelvio segítségével megjelenített dicsőséglista
A meteorológiai állomások elhelyezkedése
A meteorológiai állomások beosztása
Elkészült az összefoglaló.
Link
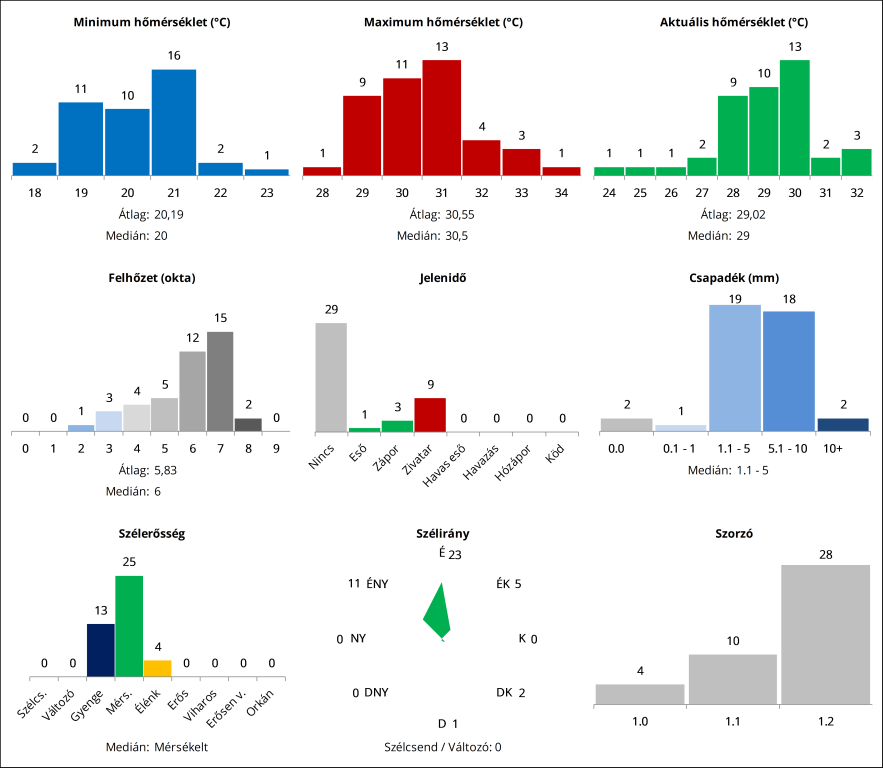
Ez sem lesz egy könnyű forduló, jelen pillanatban úgy tűnik, az a többség fog jól járni, aki nem vállalta be a jelenidőt, de aztán persze ki tudja.
De hát ez ilyen, lutri 5 pontért.
A csapadék érdekes még, közel fele-fele megoszlásban az 1-5 mm és 5-10 mm között.
Én a 72 órás határidő előtt is variáltam kétszer, 13:59:01-kor adtam le az 1.2-es tippemet, de ketten még ennél is jobban kicentizték. 
met4ever: magasról lehet nagyot esni.
Van egy olyan érzésem, hogy ez nem az én fordulóm lesz. 
Ez sem lesz egy könnyű forduló, jelen pillanatban úgy tűnik, az a többség fog jól járni, aki nem vállalta be a jelenidőt, de aztán persze ki tudja.
met4ever: magasról lehet nagyot esni.
