Elkészült az összefoglaló. nevet Link
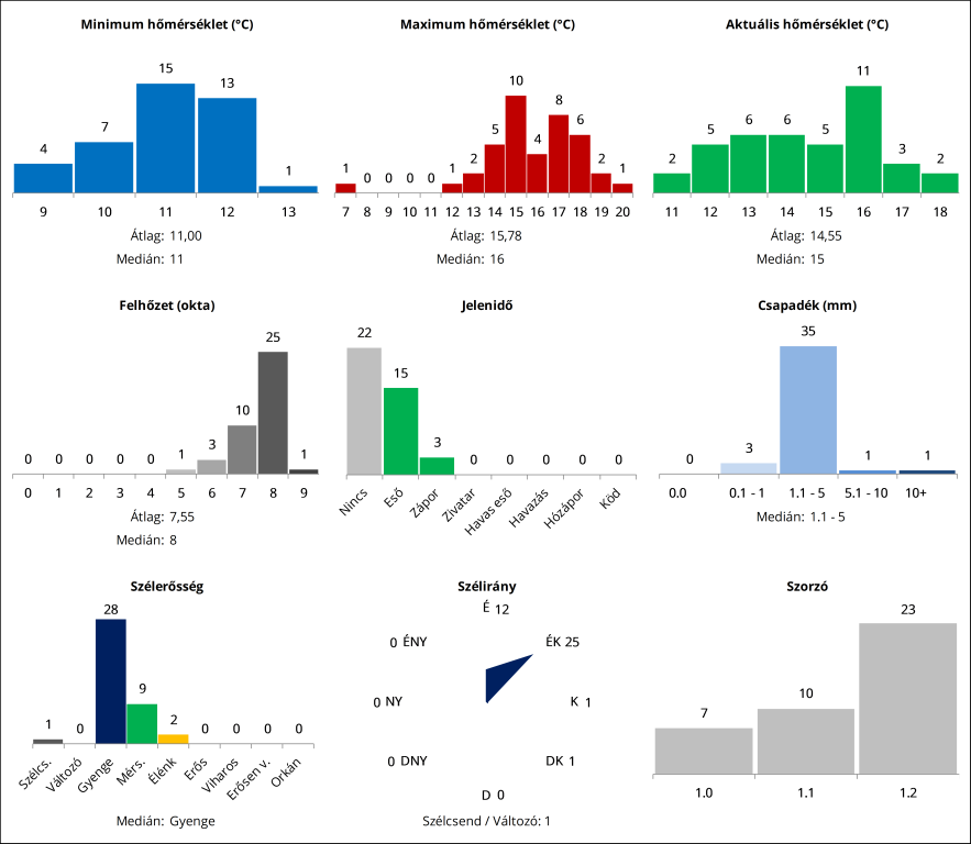
Ahogy nézem, ez a forduló a jelenidőn fog állni vagy bukni. eso Illetve a hőmérsékletnél nagyobb még a szórás. vidám
A MET–ÉSZ szerint kereken 14 fok volt éjfélkor, kérdés, meddig csökken még hajnalig a hőmérséklet. nevet

beillesztett kép