Információk az előrejelzési versenyhez
Versenyinformációk
A VERSENYSZABÁLYZATÚj előrejelzés elküldése az előrejelzési versenybe
A legutóbbi forduló eredménye
A verseny összesített állása
A 3 kieső fordulót nem tartalmazó összesített lista
A synop-kódok értelmezéséhez egy kis segítség
Szélirány-meghatározáshoz segítség
Stelvio segítségével megjelenített összesített ranglista
Stelvio segítségével megjelenített örökranglista
Stelvio segítségével megjelenített dicsőséglista
A meteorológiai állomások elhelyezkedése
A meteorológiai állomások beosztása
Mikahocknak és hófúvásnak gratula a gyõzelemhez.
A fordulóval szinte elégedett lennék, ha nem lett volna az az 0.1 mm, ami 2,4 pontomat elvitte a végén.
Bár, ha azt nézem, hogy hajszálra álltam attól, hogy 1,0-val kivegyem a jelenidöt és jóval feljebb vigyem a Takt-ot, akkor még örülhetek, hogy ezt nem léptem meg
A fordulóval szinte elégedett lennék, ha nem lett volna az az 0.1 mm, ami 2,4 pontomat elvitte a végén.
Bár, ha azt nézem, hogy hajszálra álltam attól, hogy 1,0-val kivegyem a jelenidöt és jóval feljebb vigyem a Takt-ot, akkor még örülhetek, hogy ezt nem léptem meg
Mikahock és hófúvás nyerte a soproni fordulót. Gratulálok!
Forduló: Link
Összetett: Link
A következő kiíró Zivipötty lesz. A beosztás szerint működő állomásokra valamikor a napokban kerül ki a beosztás.
Választható helyszínek:
Bécs (Wien-Hohe Warte) [11035]
Budapest-Ferihegy [lhbp]
Budapest-Pestszentlőrinc [12843]
Csíkszereda (Miercurea Ciuc) [15170]
Debrecen [12882]
Felcsút [metnet-es észlelő]
Kecskemét-repülőtér [12970]
Miskolc-Diósgyőr [12772]
Paks [12950]
Siófok [metnet-es észlelő]
Szeged [12982]
Szolnok-repülőtér [12860]
Forduló: Link
Összetett: Link
A következő kiíró Zivipötty lesz. A beosztás szerint működő állomásokra valamikor a napokban kerül ki a beosztás.
Választható helyszínek:
Bécs (Wien-Hohe Warte) [11035]
Budapest-Ferihegy [lhbp]
Budapest-Pestszentlőrinc [12843]
Csíkszereda (Miercurea Ciuc) [15170]
Debrecen [12882]
Felcsút [metnet-es észlelő]
Kecskemét-repülőtér [12970]
Miskolc-Diósgyőr [12772]
Paks [12950]
Siófok [metnet-es észlelő]
Szeged [12982]
Szolnok-repülőtér [12860]
Na az legalább épphogy betalált, hamár a Takt-nál és Tmaxnál szarul jártam...a vicc az, hogy a zivatar észlelésben voltam a legbiztosabb ebben a körben....
Pontozásnál kiderül, de szerintem igen, jár a 3 pont akkor is.
10 perccel késöbb meg már csak 22,4°C volt 
A záporos jelleg tévesztése miatti 2 pont levonás érvényes zápor vs zivatar esetén is? En igy vettem, amikor leadtam a tippet, de most ezt konkrétan nem találom a versenyszabályzatban.
Mindenesetre ha vki esőt ad és zápor/zivatar lesz, akkor a záporos jelleget tévesztette el, ami -2 pont (azaz 5 helyett 3 pont)).
Ha vki záport ad és zivatar lesz, akkor szerintem kicsit kevesebbet tévesztett, mintha esőt adott volna, így elvileg józan ésszel járna a legalább 3 pont erre is...
A záporos jelleg tévesztése miatti 2 pont levonás érvényes zápor vs zivatar esetén is? En igy vettem, amikor leadtam a tippet, de most ezt konkrétan nem találom a versenyszabályzatban.
Mindenesetre ha vki esőt ad és zápor/zivatar lesz, akkor a záporos jelleget tévesztette el, ami -2 pont (azaz 5 helyett 3 pont)).
Ha vki záport ad és zivatar lesz, akkor szerintem kicsit kevesebbet tévesztett, mintha esőt adott volna, így elvileg józan ésszel járna a legalább 3 pont erre is...
A Takt-ot is a METÉSZ-röl vettem, de szerintem az észlelö a 19:40-eset irta be oda és az 50-eset szoktuk venni.
Az pedig: 25°C, szél: erös délnyugati 19:50-kor. Jól betalált az idöpont a kifutószélbe
Az pedig: 25°C, szél: erös délnyugati 19:50-kor. Jól betalált az idöpont a kifutószélbe
Basszus de kár, hogy nem előbb üllősödött be picit, bár ez most így többeknek jó, mint nem
35°C behúzva. Ausztriai zivatar üllöje már az állomás felett, T 1,4 fokot csökkent az elözö 10 perceshez képest.
Észlelői mérés? Különben is a 20,5 is kerekítve a páros felé,ugye 20 fok. 
Tornyosul a torony hőség. Ha délies a szél, meglesz a max.is.
Tornyosul a torony hőség. Ha délies a szél, meglesz a max.is.
Aztán nőjenek a gomolyok, mert hogy áll így meg 32 foknál?
Nyilván sehogy, de én még anno reménykedtem, hogy soproni szokáshoz híven legalább valami üllő felfogja a napocskát arrafelé már kora du. Persze most ennek esélye csekély már....
A 10 percesek között kétszer is volt 20,5°C, így 20°C lehet a Tmin. Azóta már kilőtt a T rendesen.
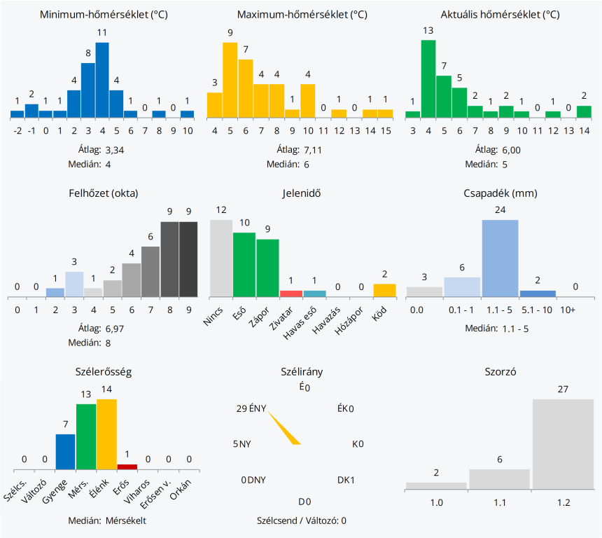
Elkészült az összefoglaló.
(A Takt-nál van egy nulla fokos tipp, az nem szerepel.) Van jó sok zivataros jelenidő, kérdés, hogy vajon legalább egy bedörrenés összejön-e. 

Jaja....szerintem is, jó para dolog lehet pénteken ott ezt mind átélni...
Ezek szerint a 8 oktád az cirrostratus, ha barnul 
A 22 fokban meg lehet fázni is fog
A 22 fokban meg lehet fázni is fog
Hát én a szentmindenségre esküszöm, hogy zivatart szerettem volna adni jelenidőre....ezekszerint nem sikerült. Így marad a bizakodás, hogy sopronban András még este 8kor is barnul majd a napon.
Én meg először pénteket néztem, aztán a leadásnál látom, csütörtök....na, akkor újra....
Kemény forduló. Tegnap vonatozva mobilról néztem át a helyzetet és adtam le a tippet akadozó mobilnet mellett, hogy még kicsit csavarjak a nehézségi fokon
Ez valami kegyetlen jó/nehéz időpont, ehhez képest Lomnic tök egyértelmű és magától értetődő volt.
Én most picit változtatnék egy-két dolgon, de van, amiben meg még inkább megerősödtem....
Én most picit változtatnék egy-két dolgon, de van, amiben meg még inkább megerősödtem....
Jajjj de jó kis meglepetés, erre tényleg nem számítottam. Köszönöm szépen Mindenkinek!
7,8 fok lett a maximum és 1,3 mm-nyi csapadék hullott. Végülis meglepetés nem lett a teljesítményem, 8,4 pont 
Misimókus nyerte ezt a csodálatos fordulót. Gratulálok!
Forduló: Link
Összetett: Link
Perico lesz a következő kiíró, így szeretnénk kérni egy helyszínt és egy időpontot.
Választható helyszínek:
Bécs (Wien-Hohe Warte) [11035]
Budapest-Ferihegy [lhbp]
Budapest-Pestszentlőrinc [12843]
Csíkszereda (Miercurea Ciuc) [15170]
Debrecen [12882]
Felcsút [metnet-es észlelő]
Kecskemét-repülőtér [12970]
Miskolc-Diósgyőr [12772]
Paks [12950]
Siófok [metnet-es észlelő]
Sopron-Kurucdomb [13704]
Szeged [12982]
Szolnok-repülőtér [12860]
Beosztás a fejlécben.
Misimókus nyerte ezt a csodálatos fordulót. Gratulálok!
Forduló: Link
Összetett: Link
Perico lesz a következő kiíró, így szeretnénk kérni egy helyszínt és egy időpontot.
Választható helyszínek:
Bécs (Wien-Hohe Warte) [11035]
Budapest-Ferihegy [lhbp]
Budapest-Pestszentlőrinc [12843]
Csíkszereda (Miercurea Ciuc) [15170]
Debrecen [12882]
Felcsút [metnet-es észlelő]
Kecskemét-repülőtér [12970]
Miskolc-Diósgyőr [12772]
Paks [12950]
Siófok [metnet-es észlelő]
Sopron-Kurucdomb [13704]
Szeged [12982]
Szolnok-repülőtér [12860]
Beosztás a fejlécben.
Kicsit később ért oda a front, mint ahogy várható volt, de ez sajnos délelőtt már látszott a műhold- és radarképek alapján.
Gyenge dk-i? A menedékház wc-jében, fingadozás közben? Na ne!
Miért nem szélcsend?
Miért nem szélcsend?
Jaj elküldtem a tippet, aztán nem is néztem a fórumot, így a babérokat sem tudtam learatni. Sajnos a mostani körről lemaradtam, de ezentúl igyekszem mindig küldeni tippet, lehet hogy a kezdők szerencséje segít :-)
Elkészült az összefoglaló.
A Lomnici-csúcs mindig izgalmas fordulót szokott hozni, és ez a mostani sem lesz kivétel. 

Igazából, ha le tudtam volna adni, sem voltam biztos benne, hogy mit adjak. Ide-oda cikáztam több verzió között és egyik mellett sem tudtam nyomós érveket felhozni 
Majd holnap talán jobban látható. Vagy csütörtökön
Majd holnap talán jobban látható. Vagy csütörtökön
Lehet, hogy jobban jársz így... nekem 10 pont a cél, fölötte ajándék, alatta... nos, alatta nem meglepetés
A kicentizés veszélyei: 13:58-kor fellépö, 14:01-kor befejezödö müszaki probléma a leadásnál. Ügyes
Az is olyan 12 UTC.-s időben, milyen az idő a 31-es leszállópályán?