Információk az előrejelzési versenyhez
Versenyinformációk
A VERSENYSZABÁLYZATÚj előrejelzés elküldése az előrejelzési versenybe
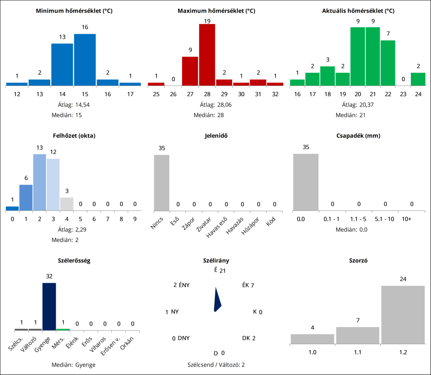
A legutóbbi forduló eredménye
A verseny összesített állása
A 3 kieső fordulót nem tartalmazó összesített lista
A synop-kódok értelmezéséhez egy kis segítség
Szélirány-meghatározáshoz segítség
Stelvio segítségével megjelenített összesített ranglista
Stelvio segítségével megjelenített örökranglista
Stelvio segítségével megjelenített dicsőséglista
A meteorológiai állomások elhelyezkedése
A meteorológiai állomások beosztása
Astra = csillag.
Pfizer, Moderna. Sinopharm is lehetséges, de most ott megy a cirkusz. Különleges esetben mehet a harmadiknak is Astra.
Pfizer, Moderna. Sinopharm is lehetséges, de most ott megy a cirkusz. Különleges esetben mehet a harmadiknak is Astra.
Persze, megértelek. A csapadék volt a vigyorgó meglepi, mint általában a fordulókban mindig van valami kiugró.
Gratulálok Télembernek én is, már csak helikopter magasságban követem a versenyt ..cca. 25 helyezett vagyok.
Télember mi a hsz.-ed fordítása? homoki beledugósfejű ember vagyok. Az a astra mit jelent? (én 2-szer kaptam az astra-zenekát. Mit javasolsz 3. -ként 67 felett?)
Gratulálok Télembernek én is, már csak helikopter magasságban követem a versenyt ..cca. 25 helyezett vagyok.
Télember mi a hsz.-ed fordítása? homoki beledugósfejű ember vagyok. Az a astra mit jelent? (én 2-szer kaptam az astra-zenekát. Mit javasolsz 3. -ként 67 felett?)
Köszönöm!
Sic itur ad astra!
Közben szép csöndben alakulgat a koronázásom. Mármint nem az enyém
, hanem általam.
Sic itur ad astra!
Közben szép csöndben alakulgat a koronázásom. Mármint nem az enyém
Köszönjük, lehet is tippelni: Link
Hófúvásnak pedig köszönjük a kiesős listát!
Hófúvásnak pedig köszönjük a kiesős listát!
És akkor az éjszakai "hidegzuhany" után egy frissített kiesős ranglistát találtok a fenti linken.
Gratulálok Télembernek a fordulógyőzelemhez!
----------------------
Bubu bá' ! Nem nyafogásként írtam, pusztán érdekességként, hogy azt senki nem találta el.
Megjegyzem, kicsit meglepett, hogy senki, még a kisebb szorzós tippet leadók sem vállalták be a csapadékot!
----------------------
Bubu bá' ! Nem nyafogásként írtam, pusztán érdekességként, hogy azt senki nem találta el.
Miskolci végleges adatok akkor:
Összfelhőzet: 1 okta
Jelenidő: nincs
T min: 14,9 °C
T akt: 21,4 °C (MET-ÉSZ számít, szabályzatban direkt emiatt rögzítve!)
T max: 27,9 °C
Szélirány: 60° (északkeleti)
Erőssége: gyenge
Csapadék: 2,3 mm.
A fordulót Télember nyerte. Gratulálok neki és mindenkinek, aki elégedett a teljesítményével.
Forduló: Link
Összetett: Link
A következő kiíró honza lesz. Írd ki kérlek a fordulódat.
Választható helyszínek:
Budapest-Újpest [metnet-es észlelő]
Kékestető [12851]
Nagykanizsa [12925]
Siófok [metnet-es észlelő]
Szolnok [12860]
Zágráb-Maksimir [14240]
Meteorológiai állomások beosztása: Link
Összfelhőzet: 1 okta
Jelenidő: nincs
T min: 14,9 °C
T akt: 21,4 °C (MET-ÉSZ számít, szabályzatban direkt emiatt rögzítve!)
T max: 27,9 °C
Szélirány: 60° (északkeleti)
Erőssége: gyenge
Csapadék: 2,3 mm.
A fordulót Télember nyerte. Gratulálok neki és mindenkinek, aki elégedett a teljesítményével.
Forduló: Link
Összetett: Link
A következő kiíró honza lesz. Írd ki kérlek a fordulódat.
Választható helyszínek:
Budapest-Újpest [metnet-es észlelő]
Kékestető [12851]
Nagykanizsa [12925]
Siófok [metnet-es észlelő]
Szolnok [12860]
Zágráb-Maksimir [14240]
Meteorológiai állomások beosztása: Link
Nézem a synoppot, a táblázatban 21,6 fok a 7 utc. ,a szövegesben meg 21,5 fok. ? Most melyik a győző?
A szélirány is a határon 62-65 fok ( kerekítés 60 vagy70 fok?)
A szélirány is a határon 62-65 fok ( kerekítés 60 vagy70 fok?)
Ne nyafogj, elöl vagy a 18 pontal. A szegediek csak 15,4-16,8 pontosak. 
Nos, akkor az alábbi diskurzus és annak met4ever általi összefoglalása (#6993
értelmében a METÉSZ-beli Takt 21.4 tűnik a jogerősnek.
Kerekített 15°C (4:20).
Még van 1-2 órája, hogy elérje a 14,5°C-ot. Szélcsend, gyengén felhős, 14°C alatti harmatpont, így nincs kizárva...
Még van 1-2 órája, hogy elérje a 14,5°C-ot. Szélcsend, gyengén felhős, 14°C alatti harmatpont, így nincs kizárva...
Csak a meteorológiához szólnék hozzá, szerintem az a lényeg 
Természetesen senki sem gondolja az itt rendszeresen résztvevők közül, hogy akár 1 (-3) órás felbontással pontosan előre lehet jelezni az időjárást 1-2-3 nappal korábban. A modell előrejelzések fontos támpontokat adnak az időjárási folyamatokat illetően, de ismert korlátokkal. Viszont lehetőség van - időjárási helyzettől függő mértékben - a nyers modell előrejelzések javítására különböző módszerekkel. Épp ez ad lehetőséget a játékra is. Ki-ki tapasztalatai (modell hibák, hiányosságok, nem leírt met. folyamatok figyelembe vétele, állomás ismerete, stb.), megérzései alapján vagy akármi másra alapozva módosíthatja a modell előrejelzésket, vagy akár nem is fontos modelleket felhasználnia, ha véleménye szerint van ezeknél jobb módszer is
Adott esetben akár 20 perces időintervallum is fontos lehet. Pl. ha erősen süllyed a hőmérséklet az adott időszakban, akkor nem mindegy, hogy 20 perccel előbbre vagy későbbre tippelünk. Míg amikor alig változik a hőmérséklet, akkor sokkal kisebb szerepe van annak, hogy a 20 perces időszak melyik részéből vesszük a mérési adatot. Ha rögzítenénk a mérés időpontját, azt nem azért tennénk, mert ennyire pontos előrejelzést tudunk készíteni, hanem azért, hogy a sok bizonytalansági tényezőből kiszűrjük az emberi bizonytalanságot és csak a meteorológiai bizonytalanság maradjon (eltekintve a mérési bizonytalanságról, de remélhetőleg ez elegendően kicsi
)
Szól valami az ellen, hogy előre rögzített időpontok méréseit használjuk fel, ha ezek rendelkezésre állnak?
Természetesen senki sem gondolja az itt rendszeresen résztvevők közül, hogy akár 1 (-3) órás felbontással pontosan előre lehet jelezni az időjárást 1-2-3 nappal korábban. A modell előrejelzések fontos támpontokat adnak az időjárási folyamatokat illetően, de ismert korlátokkal. Viszont lehetőség van - időjárási helyzettől függő mértékben - a nyers modell előrejelzések javítására különböző módszerekkel. Épp ez ad lehetőséget a játékra is. Ki-ki tapasztalatai (modell hibák, hiányosságok, nem leírt met. folyamatok figyelembe vétele, állomás ismerete, stb.), megérzései alapján vagy akármi másra alapozva módosíthatja a modell előrejelzésket, vagy akár nem is fontos modelleket felhasználnia, ha véleménye szerint van ezeknél jobb módszer is
Adott esetben akár 20 perces időintervallum is fontos lehet. Pl. ha erősen süllyed a hőmérséklet az adott időszakban, akkor nem mindegy, hogy 20 perccel előbbre vagy későbbre tippelünk. Míg amikor alig változik a hőmérséklet, akkor sokkal kisebb szerepe van annak, hogy a 20 perces időszak melyik részéből vesszük a mérési adatot. Ha rögzítenénk a mérés időpontját, azt nem azért tennénk, mert ennyire pontos előrejelzést tudunk készíteni, hanem azért, hogy a sok bizonytalansági tényezőből kiszűrjük az emberi bizonytalanságot és csak a meteorológiai bizonytalanság maradjon (eltekintve a mérési bizonytalanságról, de remélhetőleg ez elegendően kicsi
Szól valami az ellen, hogy előre rögzített időpontok méréseit használjuk fel, ha ezek rendelkezésre állnak?
Néhány megjegyzést fűznék az elmúlt pár nap fórumbejegyzéseihez.
Ha jól értelmeztem a helyzetet, a probléma fő forrása az, hogy a műszeres adatok egy 20 perces időintervallumon belül hol vannak. Gondoljunk csak egy kicsit bele abba a pontosságba, amit a modellek 24-72 órára előre biztosítani tudnak órás vagy 3 órás bontásban (nem 10 percesben!!). Vegyük emellé azt a 20 perces időintervallumot, amiben azt mozgunk. Ha egy kicsit végiggondoljuk, láthatjuk, hogy sokkal inkább az határozza meg az előrejelzés pontosságát, hogy a modell és/vagy előrejelző hogy fogja meg az adott helyzetet. Magyarán 10 percre pontosan ezek alapján nem fog tudni az ember előrejelzést készíteni, ily módon kb. mindegy, hogy azon a 20 percen belül mikor van a mintavételezés, tehát ilyen tekintetben nem látom a problémát. Az nyilván zavaró, s ezt meg tudom érteni, hogy nem egységesek az időpontok (engem is zavar, mikor állomáson vagyok), de ez nem a versenyt szervezők hibájából adódik, hiszen a nemzetközi SYNOPok valamint a Metnet észlelők esetén ezek egységesek.
Szót ejtenék a szabadidőben, időhiány mellett történő helytállásról is. Ha ilyen eset áll fenn, az pont nem azt jelenti, hogy az illető ennyibe veszi azokat, akiket szolgál, hanem hogy pont sokba veszi őket, hiszen még az úgymond nem létező idejéből is áldoz az adott dologra. Nem tudom, ebből hogy sikerült pont ennek az ellenkezőjére kilyukadni. És állhat fenn olyan helyzet is, hogy korábban belefért időben megcsinálni a dolgokat, most meg nem. És ezeket a helyzeteket a legtöbb esetben az ember nem látja előre. Valakinek pedig csinálnia kell, ha senki nem viszi, akkor nem lesz verseny.. Nyilván az is idegesítő tud lenni, ha nem mindig van meg időre valami, amit várunk, de szerintem azért túlélhető, ha kicsit később kapjuk meg az eredményünket, stb.
További eredményes fordulókat!
Ha jól értelmeztem a helyzetet, a probléma fő forrása az, hogy a műszeres adatok egy 20 perces időintervallumon belül hol vannak. Gondoljunk csak egy kicsit bele abba a pontosságba, amit a modellek 24-72 órára előre biztosítani tudnak órás vagy 3 órás bontásban (nem 10 percesben!!). Vegyük emellé azt a 20 perces időintervallumot, amiben azt mozgunk. Ha egy kicsit végiggondoljuk, láthatjuk, hogy sokkal inkább az határozza meg az előrejelzés pontosságát, hogy a modell és/vagy előrejelző hogy fogja meg az adott helyzetet. Magyarán 10 percre pontosan ezek alapján nem fog tudni az ember előrejelzést készíteni, ily módon kb. mindegy, hogy azon a 20 percen belül mikor van a mintavételezés, tehát ilyen tekintetben nem látom a problémát. Az nyilván zavaró, s ezt meg tudom érteni, hogy nem egységesek az időpontok (engem is zavar, mikor állomáson vagyok), de ez nem a versenyt szervezők hibájából adódik, hiszen a nemzetközi SYNOPok valamint a Metnet észlelők esetén ezek egységesek.
Szót ejtenék a szabadidőben, időhiány mellett történő helytállásról is. Ha ilyen eset áll fenn, az pont nem azt jelenti, hogy az illető ennyibe veszi azokat, akiket szolgál, hanem hogy pont sokba veszi őket, hiszen még az úgymond nem létező idejéből is áldoz az adott dologra. Nem tudom, ebből hogy sikerült pont ennek az ellenkezőjére kilyukadni. És állhat fenn olyan helyzet is, hogy korábban belefért időben megcsinálni a dolgokat, most meg nem. És ezeket a helyzeteket a legtöbb esetben az ember nem látja előre. Valakinek pedig csinálnia kell, ha senki nem viszi, akkor nem lesz verseny.. Nyilván az is idegesítő tud lenni, ha nem mindig van meg időre valami, amit várunk, de szerintem azért túlélhető, ha kicsit később kapjuk meg az eredményünket, stb.
További eredményes fordulókat!
Azért még összefoglalnám röviden a jelenlegi helyzetet, ahogy értem.
Az automata adatok OMSZ állomások esetén megvannak, legalább 10 perces felbontással. Ezek közül azt használjuk jelenleg, amit az aktuális észlelő adott órában kedve és ideje szerint a MET-ESZ-ben megad (kb óra 40 és óra 10 között)., ill. szél esetén a vesenyszabályzat szerint a synop táviratban megadott értéket (...mert ezt a MET-ESZ-ben nem mindig adja meg az észlelő?)
Jogos felvetés (gondolom ezzel mindenki egyetért), hogy ha megvannak az adatok, akkor egységesitsük a felhasznált időpontot.
A vizuális észlelés nincs meg ilyen időbeli felbontással, így a jelenidő és felhőzet észlelési idejének egységesítését nem tudjuk befolyásolni.
Az automata adatok OMSZ állomások esetén megvannak, legalább 10 perces felbontással. Ezek közül azt használjuk jelenleg, amit az aktuális észlelő adott órában kedve és ideje szerint a MET-ESZ-ben megad (kb óra 40 és óra 10 között)., ill. szél esetén a vesenyszabályzat szerint a synop táviratban megadott értéket (...mert ezt a MET-ESZ-ben nem mindig adja meg az észlelő?)
Jogos felvetés (gondolom ezzel mindenki egyetért), hogy ha megvannak az adatok, akkor egységesitsük a felhasznált időpontot.
A vizuális észlelés nincs meg ilyen időbeli felbontással, így a jelenidő és felhőzet észlelési idejének egységesítését nem tudjuk befolyásolni.
Szerintem ha Laci nyerni jön, játsszon az 1,2 szorzóval, onnan szép a 40-esre tippet adni
"...az óra 40-esre vagy óra 50-esre leadni a tippet..."
Ne haragudj, de innentől kezdve ez már komolytalan.
A szabályzatot legközelebb a téli kör előtt frissítjük, addig a most érvényes szabály szerint vezényeljük le a játékot. Koncentráljunk a következő fordulóra, holnap 9 óráig él az 1.2-es szorzó. Jó játékot mindenkinek!
Ne haragudj, de innentől kezdve ez már komolytalan.
A szabályzatot legközelebb a téli kör előtt frissítjük, addig a most érvényes szabály szerint vezényeljük le a játékot. Koncentráljunk a következő fordulóra, holnap 9 óráig él az 1.2-es szorzó. Jó játékot mindenkinek!
Sziasztok, nem nagyon szeretném már ezzel a témával kapcsolatban terhelni a fórumot, úgy látszik ez a "ráalvás a dologra" segített rávilágítani arra, h átlássam, miért nem fog tudni működni a verseny elejétől a verseny végéig ez a bizonyos állandó óra 40-es időpont, meg az, hogy itt valamelyikünk hétről hétre beadja a Met-ész-es óra 40-es adatot, biztosan talán még az is engedélyhez kötött lenne, ami egyébként nem feltétlenül lehetetlen küldetés
Név szerint az Imrétől akk elnézést kérek, nem ő vele volt bajom, hanem azzal az egész helyzettel, hogy személy szerint sosem tudtam igazán, h most az esedékes helyszínen majd az óra 40-es, óra 50-es vagy netán az óra 00-ás időpont fog játszani. Úgy indultam neki ennek a játéknak, h az élen szeretnék végezni a verseny végén, mert szeretem ezt a játékot játszani, és ezt nem úgy akarnám elérni, h azok a bizonyos tizedek idővel úgyis kiegyenlítődnek, hanem némi tapasztalattal, tudással, ráérzés is.....
Ha lehetséges olyat kérni a szervezőktől, és nem túl nagy kérés, hogy esetleg minden körnél a UTC időponton túl azt az információt is megadnátok, hogy kéretik ennél a helyszínnél az óra 40-esre vagy óra 50-esre leadni a tippet a félreértések elkerülése végett, azt személy szerint megköszönném.
Sajnálom, hogy megbolygattam ezt a témát, bár sztem nem csak számomra volt megfoghatatlan, hogy most az esedékes helyszínen melyik időpont érvényes, és még egyszer elnézést az érintettektől
Név szerint az Imrétől akk elnézést kérek, nem ő vele volt bajom, hanem azzal az egész helyzettel, hogy személy szerint sosem tudtam igazán, h most az esedékes helyszínen majd az óra 40-es, óra 50-es vagy netán az óra 00-ás időpont fog játszani. Úgy indultam neki ennek a játéknak, h az élen szeretnék végezni a verseny végén, mert szeretem ezt a játékot játszani, és ezt nem úgy akarnám elérni, h azok a bizonyos tizedek idővel úgyis kiegyenlítődnek, hanem némi tapasztalattal, tudással, ráérzés is.....
Ha lehetséges olyat kérni a szervezőktől, és nem túl nagy kérés, hogy esetleg minden körnél a UTC időponton túl azt az információt is megadnátok, hogy kéretik ennél a helyszínnél az óra 40-esre vagy óra 50-esre leadni a tippet a félreértések elkerülése végett, azt személy szerint megköszönném.
Sajnálom, hogy megbolygattam ezt a témát, bár sztem nem csak számomra volt megfoghatatlan, hogy most az esedékes helyszínen melyik időpont érvényes, és még egyszer elnézést az érintettektől
Szia Zivipötty,
én nem látok bele ilyen mélységeibe a dolgoknak, és nem is nagyon szeretnék belemenni, én csak felvetettem egy olyan dolgot, ami véleményem szerint nagyon zavaró és tartósan fennálló, hogy tudnánk-e vmilyen megoldást találni arra, hogy az automaták által mért adatok mindig ugyanarra az időpontra legyenek érvényesek a versenyen (mondjuk az óra 40-es?), és akkor csak a Met-ész-es helyszíneken csak a felhőborítottság tekintetében hagyatkoznánk a helyi észlelőre? És akkor nem merülhetne fel az sem senkiben, hogy a következő vagy az előző tíz perces adatsorral jobban jártam volna, mert csak egy időpont lenne minden állomáson, tiszta sor lenne minden.
Az Imrétől meg elnézést, nem az ő személye ellen szólt mindez, mivel szóvá tettem volna ezt más versenyszervező esetén is.
(na jó, az igazság az, hogy nyerni jöttem)

Szép estét
én nem látok bele ilyen mélységeibe a dolgoknak, és nem is nagyon szeretnék belemenni, én csak felvetettem egy olyan dolgot, ami véleményem szerint nagyon zavaró és tartósan fennálló, hogy tudnánk-e vmilyen megoldást találni arra, hogy az automaták által mért adatok mindig ugyanarra az időpontra legyenek érvényesek a versenyen (mondjuk az óra 40-es?), és akkor csak a Met-ész-es helyszíneken csak a felhőborítottság tekintetében hagyatkoznánk a helyi észlelőre? És akkor nem merülhetne fel az sem senkiben, hogy a következő vagy az előző tíz perces adatsorral jobban jártam volna, mert csak egy időpont lenne minden állomáson, tiszta sor lenne minden.
Az Imrétől meg elnézést, nem az ő személye ellen szólt mindez, mivel szóvá tettem volna ezt más versenyszervező esetén is.
(na jó, az igazság az, hogy nyerni jöttem)
Szép estét
"Lassan 20 éve, de tizen valahány éve egészen biztosan. Így pár év kihagyás után egyszerűen nem tudom h sírjak-e vagy nevessek, h még mindig itt tart ez a verseny, hogy pár év kihagyás után újra csak a káoszba csöppen bele az ember."
Amíg rendes és teljes körű óránkénti észlelések voltak és azok ki is kerültek a nemzetközi (SYNOP) adatforgalomba, addig nem volt káosz, azok voltak az adatok, amik ott szerepeltek. A káoszt az idézte elő, hogy az OMSZ ezt megszüntette.
Amíg rendes és teljes körű óránkénti észlelések voltak és azok ki is kerültek a nemzetközi (SYNOP) adatforgalomba, addig nem volt káosz, azok voltak az adatok, amik ott szerepeltek. A káoszt az idézte elő, hogy az OMSZ ezt megszüntette.
Imi "csak" az egyik szervező, a másik én vagyok, és van ezen kívül még fejlesztője és tulajdonosa is az oldalnak, úgyhogy nem kell Imire varrni mindent.
Egyebekben lásd az alábbi hozzászólásomat.
Az észrevételed az adatok kesze-kuszaságáig jogos, a többi már csak személyeskedés, amit te kezdtél a 69927-ben, semmi értelme. Imi is leírta, ősszel ismét újragondoljuk az egészet, ennyit tudunk tenni. A többit lehet köszönni az adatot szolgáltatóknak, szerintem van elérhetőséged... Pont.
Egyebekben lásd az alábbi hozzászólásomat.
Az észrevételed az adatok kesze-kuszaságáig jogos, a többi már csak személyeskedés, amit te kezdtél a 69927-ben, semmi értelme. Imi is leírta, ősszel ismét újragondoljuk az egészet, ennyit tudunk tenni. A többit lehet köszönni az adatot szolgáltatóknak, szerintem van elérhetőséged... Pont.
Szia Imre!
Úgy gondolom, hogy ha vki folyton időhiányra hivatkozik, mint ahogy ezt te teszed hétről hétre, hónapról - hónapra, akkor nem kell elvállalni egy ilyen szerepkört, amit úgy hívunk, versenyszervező. Ezzel nincs semmi baj, ha időhiányban szenvedsz, az a te magánügyed. Itt viszont hétről-hétre hónapról-hónapra 40-50 ember játszik ezen a versenyen, ezzel pedig gyakorlatilag ennyibe veszed őket. Feltételezem, hogy nem kényszerből vállaltad el ezt a titulust.
Igen, kihagytam pár évet a versenyből. De ez most hogy jön ide az érintett témához, hogy micsoda káosz van még mindig a versenyt illetően??? Olyan emberek fejében is, akik évről-évre itt játszanak...... Veletek....
Hány éve is van ez a metnet verseny? Lassan 20 éve, de tizen valahány éve egészen biztosan. Így pár év kihagyás után egyszerűen nem tudom h sírjak-e vagy nevessek, h még mindig itt tart ez a verseny, hogy pár év kihagyás után újra csak a káoszba csöppen bele az ember.
Gondolom az sem véletlen, h hétről hétre hónapról hónapra vannak résztvevők, akik jelzik, hogy szerintük nem is annyi voltak az adatok, hanem ennyi, nem, nem is annyi, hanem amannyi.
Engem történetesen már frusztrál ez a keszekuszaság hétről hétre hónapról hónapra így leadni egy tippsort.
Igen, az igaz, h vannak olyan körök, amikor épp nem a "kárára" billen a mérleg serpenyője, csak tudod nem mindegy az arány.
Azért kanyarítottam a témát ilyen irányba, hogy javuljon e tekintetben a helyzet, legyen 20 körön keresztül egységes, h elkerülhetetőek legyenek az ilyen jellegű viták, elégedetlenségek.
Ezért is halogattam a fórum hozzászólást ennyi ideig, mert úgyis tudtam, mit fogok kapni érte.... Hát igazából azt is kaptam
(Nem megsértődni kell)
Úgy gondolom, hogy ha vki folyton időhiányra hivatkozik, mint ahogy ezt te teszed hétről hétre, hónapról - hónapra, akkor nem kell elvállalni egy ilyen szerepkört, amit úgy hívunk, versenyszervező. Ezzel nincs semmi baj, ha időhiányban szenvedsz, az a te magánügyed. Itt viszont hétről-hétre hónapról-hónapra 40-50 ember játszik ezen a versenyen, ezzel pedig gyakorlatilag ennyibe veszed őket. Feltételezem, hogy nem kényszerből vállaltad el ezt a titulust.
Igen, kihagytam pár évet a versenyből. De ez most hogy jön ide az érintett témához, hogy micsoda káosz van még mindig a versenyt illetően??? Olyan emberek fejében is, akik évről-évre itt játszanak...... Veletek....
Hány éve is van ez a metnet verseny? Lassan 20 éve, de tizen valahány éve egészen biztosan. Így pár év kihagyás után egyszerűen nem tudom h sírjak-e vagy nevessek, h még mindig itt tart ez a verseny, hogy pár év kihagyás után újra csak a káoszba csöppen bele az ember.
Gondolom az sem véletlen, h hétről hétre hónapról hónapra vannak résztvevők, akik jelzik, hogy szerintük nem is annyi voltak az adatok, hanem ennyi, nem, nem is annyi, hanem amannyi.
Engem történetesen már frusztrál ez a keszekuszaság hétről hétre hónapról hónapra így leadni egy tippsort.
Igen, az igaz, h vannak olyan körök, amikor épp nem a "kárára" billen a mérleg serpenyője, csak tudod nem mindegy az arány.
Azért kanyarítottam a témát ilyen irányba, hogy javuljon e tekintetben a helyzet, legyen 20 körön keresztül egységes, h elkerülhetetőek legyenek az ilyen jellegű viták, elégedetlenségek.
Ezért is halogattam a fórum hozzászólást ennyi ideig, mert úgyis tudtam, mit fogok kapni érte.... Hát igazából azt is kaptam
(Nem megsértődni kell)
Annyival egészítenélek ki, hogy egyrészt a legnagyobb probléma a meteorológiai adatszolgáltatás intézményét körülölelő őskáosz (és akkor még csak az adatszolgáltatásról beszélünk, az adatok "kreálásáról", adatkezelésről, adatminőségről nem...), amiről se te, se én, de még Dexion sem tehet, másrészt ez még mindig egy játékos vetélkedő, ahol minden egyes évben próbálunk újabb és újabb szabályokat, pontosításokat eszközölni, hogy végre ne lehessen vitázni az adatokról, de az első pont miatt ez úgy látszik, hogy lehetetlen küldetés. Pedig ezek a tizedek, pontok a verseny során kiegyenlítődnek, olyan nincs, hogy mindig valakinek a kárára "tévednek" a tizedek.
Remélhetőleg amúgy a közeli jövőben eljuthatunk arra a szintre, hogy akár kizárólag MetNet-es észlelőhelyek szolgáltassák a versenyhelyszíneket, és akkor legalább a "nagyok" káoszától megmenekülünk. Hátha...
Remélhetőleg amúgy a közeli jövőben eljuthatunk arra a szintre, hogy akár kizárólag MetNet-es észlelőhelyek szolgáltassák a versenyhelyszíneket, és akkor legalább a "nagyok" káoszától megmenekülünk. Hátha...
Szia László!
Igazából nem fogok szélmalomharcokba belemenni, szerintem eléggé világosnak kellene lennie amit leírtam. Igazából Te vagy az első ember, aki a szervezők munkáját kritizálja a sok-sok év alatt, akik gyakorlatilag erőn felül SZABADIDEJÜKBEN és ami a legfontosabb önszorgalomból tudod lebonyolítják a versenyt. Az embernek/embereknek pedig tudod lehetnek ezen felül fontosabb feladatai illetve problémái is, amikor a kvázi "lényegtelen" dolgok háttérbe szorulnak. De sem neked sem másnak nem tartozom magyarázattal ezt ugye jól látom? Nyilván nem szeretnék átmenni személyeskedésbe meg semmi, de szerintem neked is voltak problémáid, amikor más dolgok háttérbe kerültek, hisz emberek vagyunk és normális embert érnek ingerek a mindennapok során.
"Ami pedig a körlevelet illeti. Nem, én nem kaptam ilyet, és feltételezem, hogy mások sem, hiszen sorakoznak főállomásokról az óra 50 és 52 közötti észlelések, többek között tőlem is."
Valószínűleg akkor tavaly szeptember eleje előtt ment ki az a levél, amit Te nyilván nem láthattál, én pedig igen. Pont erről kezdtünk el beszélgetni, hogy normális esetben óra 50 és 00 között befutnak az észlelések, ami így van rendjén.
"Arról már nem is beszélve, hogy a csapadékméréshez kapcsolódó észlelés is 6:45-kor történik, nem óra 50 és óra 00 között."
Igen, az akkor, de a vizuális észlelés óra 50 és 00 vagy 10 között. Aztán van, aki kimegy mondjuk egy időjárási helyzetben öt perc múlva és van aki beküldi a 45-ös vizuális megfigyelést a MET-ÉSZ-re. Ez már az egyén felelősségén múlik.
"A másik, hogy teljesen ledöbbent, amit írsz, hogy evidensnek kellene lennie, h óra 50 és óra 00 között kell elvégezni az észlelést, mivel a klímaívben is az óra 40-es adatokat kell rögzíteni a mért adatokon túl a vizuális megfigyeléseket is, és nem az óra 50-est. Ez így egy kicsit ellentmondásos, amit írsz."
Ledöbbent? Hát még engem az elmúlt évek összevisszasága, amikor mi nem tudtuk, hogy mi a leányzó fekvése, amikor bejött ez a hiper-szuper rendszer. Igen, a klímaívben nem tíz meg húsz éve az óra 40-es adatokat kell rögzíteni. Mivel a régi rendszerben (ha utána érdeklődtél, hogy mi volt mondjuk ezelőtt 5-7 éve) egyébként is óra 40-kor megcsörrent a wktx, gktx bejöttek 42-re az automata adatok, kimentél, beküldted. Ez a vizuális észlelési időintervallum módosult óra 50 és 10 közé, mert:
1. Ez még mindig csak közelebb áll az óra egészes megfigyeléshez mint a 40-es.
2. Adtak az észlelésre 20 percet (korábban 10 perc volt, mert ha 50 után küldted be az adatokat már késésnek vette fel a rendszer), hogy a szolgálatban lévő szuperészlelőnek is legyen ideje minden állomás távészlelését elvégezni.
Egyébként pedig a szabályzat egyértelműen fogalmaz és hosszútávon ezek a tizedes hőmérsékleti különbségek kiegyenlítődnek, ahogy a nyert vagy bukott pontok is.
Úgyhogy személyeskedés nélkül és az emberi normák mezsgyéjén belül szívesen fogadjuk a kritikát bárkitől (aminek a betartása egyébként előző üzenetedben ment is, itt már nem), de nem ebben a lekezelő, lenéző stílusban, amit itt most képviseltél nem egy ember előtt.
Igazából nem fogok szélmalomharcokba belemenni, szerintem eléggé világosnak kellene lennie amit leírtam. Igazából Te vagy az első ember, aki a szervezők munkáját kritizálja a sok-sok év alatt, akik gyakorlatilag erőn felül SZABADIDEJÜKBEN és ami a legfontosabb önszorgalomból tudod lebonyolítják a versenyt. Az embernek/embereknek pedig tudod lehetnek ezen felül fontosabb feladatai illetve problémái is, amikor a kvázi "lényegtelen" dolgok háttérbe szorulnak. De sem neked sem másnak nem tartozom magyarázattal ezt ugye jól látom? Nyilván nem szeretnék átmenni személyeskedésbe meg semmi, de szerintem neked is voltak problémáid, amikor más dolgok háttérbe kerültek, hisz emberek vagyunk és normális embert érnek ingerek a mindennapok során.
"Ami pedig a körlevelet illeti. Nem, én nem kaptam ilyet, és feltételezem, hogy mások sem, hiszen sorakoznak főállomásokról az óra 50 és 52 közötti észlelések, többek között tőlem is."
Valószínűleg akkor tavaly szeptember eleje előtt ment ki az a levél, amit Te nyilván nem láthattál, én pedig igen. Pont erről kezdtünk el beszélgetni, hogy normális esetben óra 50 és 00 között befutnak az észlelések, ami így van rendjén.
"Arról már nem is beszélve, hogy a csapadékméréshez kapcsolódó észlelés is 6:45-kor történik, nem óra 50 és óra 00 között."
Igen, az akkor, de a vizuális észlelés óra 50 és 00 vagy 10 között. Aztán van, aki kimegy mondjuk egy időjárási helyzetben öt perc múlva és van aki beküldi a 45-ös vizuális megfigyelést a MET-ÉSZ-re. Ez már az egyén felelősségén múlik.
"A másik, hogy teljesen ledöbbent, amit írsz, hogy evidensnek kellene lennie, h óra 50 és óra 00 között kell elvégezni az észlelést, mivel a klímaívben is az óra 40-es adatokat kell rögzíteni a mért adatokon túl a vizuális megfigyeléseket is, és nem az óra 50-est. Ez így egy kicsit ellentmondásos, amit írsz."
Ledöbbent? Hát még engem az elmúlt évek összevisszasága, amikor mi nem tudtuk, hogy mi a leányzó fekvése, amikor bejött ez a hiper-szuper rendszer. Igen, a klímaívben nem tíz meg húsz éve az óra 40-es adatokat kell rögzíteni. Mivel a régi rendszerben (ha utána érdeklődtél, hogy mi volt mondjuk ezelőtt 5-7 éve) egyébként is óra 40-kor megcsörrent a wktx, gktx bejöttek 42-re az automata adatok, kimentél, beküldted. Ez a vizuális észlelési időintervallum módosult óra 50 és 10 közé, mert:
1. Ez még mindig csak közelebb áll az óra egészes megfigyeléshez mint a 40-es.
2. Adtak az észlelésre 20 percet (korábban 10 perc volt, mert ha 50 után küldted be az adatokat már késésnek vette fel a rendszer), hogy a szolgálatban lévő szuperészlelőnek is legyen ideje minden állomás távészlelését elvégezni.
Egyébként pedig a szabályzat egyértelműen fogalmaz és hosszútávon ezek a tizedes hőmérsékleti különbségek kiegyenlítődnek, ahogy a nyert vagy bukott pontok is.
Úgyhogy személyeskedés nélkül és az emberi normák mezsgyéjén belül szívesen fogadjuk a kritikát bárkitől (aminek a betartása egyébként előző üzenetedben ment is, itt már nem), de nem ebben a lekezelő, lenéző stílusban, amit itt most képviseltél nem egy ember előtt.
Szia Imre,
Köszönöm kimerítő válaszod.
Nos a leírtakkal kapcsolatban csupán csak az az észrevételem, remélem nem fogod zokon venni, hogy olyan ember ne vállaljon el olyen szerepet, mint - versenyszervező -, aki egy héten 15 másodpercet nem tud szentelni az életéből, hogy belépjen a Met-ész felületére és megnézze mondjuk a verseny szabályzatban rögzített óra valahányas automata által mért Takt-ot.
Ami pedig a körlevelet illeti. Nem, én nem kaptam ilyet, és feltételezem, hogy mások sem, hiszen sorakoznak főállomásokról az óra 50 és 52 közötti észlelések, többek között tőlem is. Arról már nem is beszélve, hogy a csapadékméréshez kapcsolódó észlelés is 6:45-kor történik, nem óra 50 és óra 00 között.
A másik, hogy teljesen ledöbbent, amit írsz, hogy evidensnek kellene lennie, h óra 50 és óra 00 között kell elvégezni az észlelést, mivel a klímaívben is az óra 40-es adatokat kell rögzíteni a mért adatokon túl a vizuális megfigyeléseket is, és nem az óra 50-est. Ez így egy kicsit ellentmondásos, amit írsz.
Igen, jó lenne, ha ilyen tekintetben szervezettebb lenne ez a verseny, és nem ennyire a lutrin múlna.
Köszönöm
Köszönöm kimerítő válaszod.
Nos a leírtakkal kapcsolatban csupán csak az az észrevételem, remélem nem fogod zokon venni, hogy olyan ember ne vállaljon el olyen szerepet, mint - versenyszervező -, aki egy héten 15 másodpercet nem tud szentelni az életéből, hogy belépjen a Met-ész felületére és megnézze mondjuk a verseny szabályzatban rögzített óra valahányas automata által mért Takt-ot.
Ami pedig a körlevelet illeti. Nem, én nem kaptam ilyet, és feltételezem, hogy mások sem, hiszen sorakoznak főállomásokról az óra 50 és 52 közötti észlelések, többek között tőlem is. Arról már nem is beszélve, hogy a csapadékméréshez kapcsolódó észlelés is 6:45-kor történik, nem óra 50 és óra 00 között.
A másik, hogy teljesen ledöbbent, amit írsz, hogy evidensnek kellene lennie, h óra 50 és óra 00 között kell elvégezni az észlelést, mivel a klímaívben is az óra 40-es adatokat kell rögzíteni a mért adatokon túl a vizuális megfigyeléseket is, és nem az óra 50-est. Ez így egy kicsit ellentmondásos, amit írsz.
Igen, jó lenne, ha ilyen tekintetben szervezettebb lenne ez a verseny, és nem ennyire a lutrin múlna.
Köszönöm
Szia Laci!
Sajnos szervezőként sem én sem a Kornél nem látunk bele abba, hogy a főállomásokon dolgozó észlelők az óra 40-es vagy 50-es vagy 00-ás hőmérsékleti adatot adják be. Én nyilván belelátnék, de munka mellett egyelőre sem időm, sem energiám nincs még az ilyenekre. Szerintünk egyébként tök evidensnek kellene lennie, hogyha semmi sem akadályozza a megfigyelés tényét, akkor bizony óra 50 és 00 között kell(ene) elvégezni az észlelést, de azt hiszem korábban minden főállomáson dolgozó észlelőnek lett kiküldve valamikor egy körlevél, hogy ezt így kell elvégezni. Amiből az adódik, hogy megvárja az ember az óra 50-kor beérkező hőmérséklet adatokat aztán így küldi el a megfigyelést.
Mindenesetre megpróbálok/megpróbálunk a nyári szezonban erre figyelni (kiemelten én), hogy tényleg az óra 50-kor megfigyelt hőmérsékleti adat kerül-e be a MET-ÉSZ-re. Ha nem, akkor felülírjuk a megfigyelési paraméterek ezen részét és ha sorozatosan előforduló dologról lesz szó, akkor a téli szezonban módosítjuk a szabályzatot és a SYNOP-ba kimenő hőmérsékleti adatot vesszük figyelembe.
Köszönjük egyébként a teljesen jogos észrevételt.
Sajnos szervezőként sem én sem a Kornél nem látunk bele abba, hogy a főállomásokon dolgozó észlelők az óra 40-es vagy 50-es vagy 00-ás hőmérsékleti adatot adják be. Én nyilván belelátnék, de munka mellett egyelőre sem időm, sem energiám nincs még az ilyenekre. Szerintünk egyébként tök evidensnek kellene lennie, hogyha semmi sem akadályozza a megfigyelés tényét, akkor bizony óra 50 és 00 között kell(ene) elvégezni az észlelést, de azt hiszem korábban minden főállomáson dolgozó észlelőnek lett kiküldve valamikor egy körlevél, hogy ezt így kell elvégezni. Amiből az adódik, hogy megvárja az ember az óra 50-kor beérkező hőmérséklet adatokat aztán így küldi el a megfigyelést.
Mindenesetre megpróbálok/megpróbálunk a nyári szezonban erre figyelni (kiemelten én), hogy tényleg az óra 50-kor megfigyelt hőmérsékleti adat kerül-e be a MET-ÉSZ-re. Ha nem, akkor felülírjuk a megfigyelési paraméterek ezen részét és ha sorozatosan előforduló dologról lesz szó, akkor a téli szezonban módosítjuk a szabályzatot és a SYNOP-ba kimenő hőmérsékleti adatot vesszük figyelembe.
Köszönjük egyébként a teljesen jogos észrevételt.
Hát ahogy ígértem, sikerült az észlelési sor fölé kerülnöm.
Sikerült egy közepes teljesítmény szint alá kerülni egy két-több rossz tippel. Az első leadott sor 1,2-ben 12 pontot hozott volna, erre fel a rossz tipp 8 pontot.
Meglepi műsor helyett egy papirforma jött le. A T.-k még bejöttek, de a jelenidő-csapi hiánya ezt elvitte.
De majd máskor....
Sikerült egy közepes teljesítmény szint alá kerülni egy két-több rossz tippel. Az első leadott sor 1,2-ben 12 pontot hozott volna, erre fel a rossz tipp 8 pontot.
Meglepi műsor helyett egy papirforma jött le. A T.-k még bejöttek, de a jelenidő-csapi hiánya ezt elvitte.
De majd máskor....
Lehet is tippelni: Link
Glaci: Imi fog válaszolni a mai nap folyamán.
Glaci: Imi fog válaszolni a mai nap folyamán.
Sziasztok,
szeretnék ezzel az aktuális hőmérsékleti adattal kapcsolatosan kérdést feltenni, illetőleg úgy látom, rajtam kívül másoknak sem tiszta ez a dolog.
A verseny szabályzatban annyi áll - szó szerint idézve -
"A Met-ész rendszeren közölt adatok (aktuális felhőzet, jelenidő, hőmérséklet), melyek a verseny időpontját megelőző óra 50.percétől, a verseny időpontját követő óra 10 percig kerülnek megjelenitesre a Met-ész felületen. Amennyiben több észlelés érkezik, az első észlelés a mervado "
Van olyan Met-ész észlelő, aki az óra 40-est, van, aki az óra 50-est, sőt van olyan is, aki az óra 00-ásat adja be.
Az én meglátásom szerint ez így nem teljesen korrekt, mert nem tudjuk előre a tippelésnél sem, h melyik adat fog számítani. Vajon a Met-ész észlelő az óra 40-est vagy esetleg az óra 50-est, netán az óra 00-ásat fogja beadni?
Úgy gondolom, hogy ez azért nem mindegy, mert ezen bizony pontok buknak el.
Van erre vmi megoldás, h egységesen omsz állomás esetén melyik konkrét időpont (adat) játsszon szerepet a versenyen?
Előre is köszönöm a választ.
szeretnék ezzel az aktuális hőmérsékleti adattal kapcsolatosan kérdést feltenni, illetőleg úgy látom, rajtam kívül másoknak sem tiszta ez a dolog.
A verseny szabályzatban annyi áll - szó szerint idézve -
"A Met-ész rendszeren közölt adatok (aktuális felhőzet, jelenidő, hőmérséklet), melyek a verseny időpontját megelőző óra 50.percétől, a verseny időpontját követő óra 10 percig kerülnek megjelenitesre a Met-ész felületen. Amennyiben több észlelés érkezik, az első észlelés a mervado "
Van olyan Met-ész észlelő, aki az óra 40-est, van, aki az óra 50-est, sőt van olyan is, aki az óra 00-ásat adja be.
Az én meglátásom szerint ez így nem teljesen korrekt, mert nem tudjuk előre a tippelésnél sem, h melyik adat fog számítani. Vajon a Met-ész észlelő az óra 40-est vagy esetleg az óra 50-est, netán az óra 00-ásat fogja beadni?
Úgy gondolom, hogy ez azért nem mindegy, mert ezen bizony pontok buknak el.
Van erre vmi megoldás, h egységesen omsz állomás esetén melyik konkrét időpont (adat) játsszon szerepet a versenyen?
Előre is köszönöm a választ.
Rendben! Úgy látom, Miskolc még megvan és vasárnap van is 24 órás észlelés. Reggeli/délelőtti forduló nem sok volt mostanság, legyen akkor 9 óra (7 UTC).
Szegedi végleges adatok akkor:
Összfelhőzet: 7 okta
Jelenidő: Nincs
T min: 19,6 °C
T akt: 28,7 °C (MET-ÉSZ számít, szabályzatban direkt emiatt rögzítve!)
T max: 37,1 °C
Szélirány: 180° (déli)
Erőssége: Gyenge
Csapadék: 0 mm.
A fordulót honza nyerte. Gratulálok neki és mindenkinek, aki elégedett a teljesítményével.
Forduló: Link
Összetett: Link
A következő kiíró Zorro lesz. Írd ki kérlek a fordulódat.
Választható helyszínek:
Budapest-Újpest [metnet-es észlelő]
Kékestető [12851]
Miskolc-Diósgyőr [12772]
Nagykanizsa [12925]
Siófok [metnet-es észlelő]
Szolnok [12860]
Zágráb-Maksimir [14240]
Meteorológiai állomások beosztása: Link
Összfelhőzet: 7 okta
Jelenidő: Nincs
T min: 19,6 °C
T akt: 28,7 °C (MET-ÉSZ számít, szabályzatban direkt emiatt rögzítve!)
T max: 37,1 °C
Szélirány: 180° (déli)
Erőssége: Gyenge
Csapadék: 0 mm.
A fordulót honza nyerte. Gratulálok neki és mindenkinek, aki elégedett a teljesítményével.
Forduló: Link
Összetett: Link
A következő kiíró Zorro lesz. Írd ki kérlek a fordulódat.
Választható helyszínek:
Budapest-Újpest [metnet-es észlelő]
Kékestető [12851]
Miskolc-Diósgyőr [12772]
Nagykanizsa [12925]
Siófok [metnet-es észlelő]
Szolnok [12860]
Zágráb-Maksimir [14240]
Meteorológiai állomások beosztása: Link
202108151900 AAXX 15191 12982 45/// /1802 10284 20163 30034 40128 52003==
Az okta nincs írva, mert automata, de a többi:
gyenge D-i szél (/1802) és 28,4C (10284)
Az okta nincs írva, mert automata, de a többi:
gyenge D-i szél (/1802) és 28,4C (10284)
