Információk az előrejelzési versenyhez
Versenyinformációk
A VERSENYSZABÁLYZATÚj előrejelzés elküldése az előrejelzési versenybe
A legutóbbi forduló eredménye
A verseny összesített állása
A 3 kieső fordulót nem tartalmazó összesített lista
A synop-kódok értelmezéséhez egy kis segítség
Szélirány-meghatározáshoz segítség
Stelvio segítségével megjelenített összesített ranglista
Stelvio segítségével megjelenített örökranglista
Stelvio segítségével megjelenített dicsőséglista
A meteorológiai állomások elhelyezkedése
A meteorológiai állomások beosztása
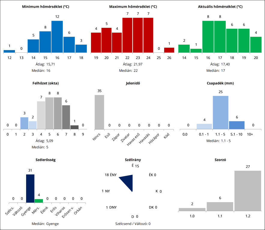
Összfelhőzet: 1 okta
Jelenidő: Nincs
T min: 9,1°C
T akt: 27,0°C
T max: 27,9°C
Szélirány: Délkeleti (130°)
Erőssége: Gyenge
Csapadék: Nem volt/lesz.
Forduló: Link
Összetett: Link
A fordulót hófúvás, Télember páros nyerte. Gratulálok nekik és mindenkinek aki elégedett a teljesítményével!
A következő kiíró zseegee lesz, így szeretnénk kérni egy helyszínt és egy időpontot. Akit választani szeretnél kérlek írd meg az időpontot, hogy mikor végezzék el az észlelést. Egyeztetek velük, aztán ha nekik is stimm az időpont akkor kiírom a fordulót.
Választható helyszínek:
Budapest-Újpest [metnet-es észlelő]
Siófok [metnet-es észlelő]
Jelenidő: Nincs
T min: 9,1°C
T akt: 27,0°C
T max: 27,9°C
Szélirány: Délkeleti (130°)
Erőssége: Gyenge
Csapadék: Nem volt/lesz.
Forduló: Link
Összetett: Link
A fordulót hófúvás, Télember páros nyerte. Gratulálok nekik és mindenkinek aki elégedett a teljesítményével!
A következő kiíró zseegee lesz, így szeretnénk kérni egy helyszínt és egy időpontot. Akit választani szeretnél kérlek írd meg az időpontot, hogy mikor végezzék el az észlelést. Egyeztetek velük, aztán ha nekik is stimm az időpont akkor kiírom a fordulót.
Választható helyszínek:
Budapest-Újpest [metnet-es észlelő]
Siófok [metnet-es észlelő]
Avagy hiszünk az egy oktának, hogy nem havazott és köd sem volt éppen
Még egy harmadik synopot szerzünk a jelenidőhöz ill. a csapadékhoz
27.9 lett a Tmax.
Valószínű, hogy mint múltkor, most is az ogimet lesz jogerős. Az OMSZ órás is ugyanazt adja szélre egyébként.
A meteomanz viszont legalább kisegít bennünket a felhő adattal: 1 okta.
Valószínű, hogy mint múltkor, most is az ogimet lesz jogerős. Az OMSZ órás is ugyanazt adja szélre egyébként.
A meteomanz viszont legalább kisegít bennünket a felhő adattal: 1 okta.
Na igen, ogimeten már én is látom, hogy ott 130 és 3 van.
Most sem lesz könnyű a pontozás.
Jó kérdés. A szokásos ogimet - meteomanz eltérés, valószínűleg mert eltérő időpontra szóló értékekből szerkeszti meg a synopot a két különböző oldal. Ezt támasztja alá, hogy az aktuális hőmérsékletek is kissé eltérőek (27,0 vs 26,7°C)
Na, akkor segít a METÉSZ. Ja nem, mert továbbra is 8:45-ös az utolsó észlelés ott az állomásról. Katasztrófa....
Na, akkor segít a METÉSZ. Ja nem, mert továbbra is 8:45-ös az utolsó észlelés ott az állomásról. Katasztrófa....
METÉSZ-en 8:45-ös az utolsó észlelés Szolnokról.
A synopban 12UTC-kor 27.0°C, gyenge délkeleti szél (3 m/s, 130°)
A synopban 12UTC-kor 27.0°C, gyenge délkeleti szél (3 m/s, 130°)
Szerintem többen gondolkoztunk így, csak a várt (GFS) 10 fokos harmatpont mellett, 91-92%-os rH-nál sikerült 9 fokig hűlni. 
Gratula kahdrának, OMSZ hitt ebben az alacsony harmatpontban.
Érdekes azért, hogy a melegadvenció ellenére sikerült alulmúlni a tegnapi minimumot, tanulságos eset.
Gratula kahdrának, OMSZ hitt ebben az alacsony harmatpontban.
Érdekes azért, hogy a melegadvenció ellenére sikerült alulmúlni a tegnapi minimumot, tanulságos eset.
Gratula!
Bejött, amit a derült égtől és nagyon gyenge széltől reméltem, sőt még egy kicsit túl is lőtt rajta. Azt gondoltam, a harmatpont kicsit magasabb marad...
De jó kezdés
Bejött, amit a derült égtől és nagyon gyenge széltől reméltem, sőt még egy kicsit túl is lőtt rajta. Azt gondoltam, a harmatpont kicsit magasabb marad...
De jó kezdés
Hihi :-) amikor tegnap a többiek Tmin-jét megláttam, biztos voltam benne, hogy az enyém egy huncut pontot sem fog érni
Nem bonyolult a forduló, kahdrának sikerült is eltalálni a Tmin-t (9.1°C). 

Elkészült az összefoglaló.
Link
Nem tűnik egy bonyolult fordulónak, mondjuk nekem az 1.2-esemet sikerült jól elszúrni sajnos, muszáj volt felülírjam.
Nem tűnik egy bonyolult fordulónak, mondjuk nekem az 1.2-esemet sikerült jól elszúrni sajnos, muszáj volt felülírjam.

Meteomanzon szoktam nézegetni a mért adatokat, megakadt a szemem a havi 0.8 mm csapadékon, durva! Link
A kiesős lista a fenti linken frissítve.
Érdekesség az idei verseny erősségének mérésére, hogy ha összeadom a verseny 37 versenyzőjének összpontszámát és ugyanezt megnézem az előző téli körben (ott is a 17. forduló után), akkor a mostani jóval kisebb, azaz nehezebb a mezőnynek ez a kör jóval: 7328.7 vs 8461.4
Érdekesség az idei verseny erősségének mérésére, hogy ha összeadom a verseny 37 versenyzőjének összpontszámát és ugyanezt megnézem az előző téli körben (ott is a 17. forduló után), akkor a mostani jóval kisebb, azaz nehezebb a mezőnynek ez a kör jóval: 7328.7 vs 8461.4
Gratulálok Hidegcseppnek a fordulóhoz, valamint deco05- nek a kiíráshoz!
A kiírás időpontjában hol járt a hullámzó front..., de én még csütörtök este is vajúdtam, hogy változtassak-e.
A kiírás időpontjában hol járt a hullámzó front..., de én még csütörtök este is vajúdtam, hogy változtassak-e.
Az ogimetet vesszük alapul, így szélcsendre pontozunk.
A fordulót Hidegcsepp95 nyerte 15,6 ponttal. Gratulálok neki és mindenkinek, aki elégedett a teljesítményével.
Forduló: Link
Összetett: Link
A következő kiíró szintén Gordonka lesz. Írd ki kérlek a fordulódat!
Választható helyszínek:
Budapest-Újpest [metnet-es észlelő]
Siófok [metnet-es észlelő]
Szolnok [12860]
A fordulót Hidegcsepp95 nyerte 15,6 ponttal. Gratulálok neki és mindenkinek, aki elégedett a teljesítményével.
Forduló: Link
Összetett: Link
A következő kiíró szintén Gordonka lesz. Írd ki kérlek a fordulódat!
Választható helyszínek:
Budapest-Újpest [metnet-es észlelő]
Siófok [metnet-es észlelő]
Szolnok [12860]
Csapadéknál a kézi mérés számít, és az 0,8 mm a MET-ÉSZ szerint.
Azaz 0.9, mert az elmúlt 12 órában is volt 0.1 mm. tök mindegy, csak hogy ugyanazt látjuk-e.
Link
Link
METÉSZ, gondolom kézi 0,1-del kevesebb, úgyhogy az már tán marad 
24 órás csapadékmennyiség
0.8 mm
24 órás csapadékmennyiség
0.8 mm
Ezen a linken közben 0 m/s szerepel már. Beszélek Imivel... (de kivan a hócipőm ezekkel...)
A szokásos kavar lehet az időpontokkal. Különböző helyeken, különböző időpontokra (10-20 perc eltérés) szóló adatokat tesznek közre azonos jelöléssel. De hogy ez még egy adott oldal két részoldala között is előforduljon....
Ha viszont az általad adott linken ráklikkelsz a 18Z-re, akkor ugyanazon adatok jönnek, mint amiket én alább beírtam: Link
Hogy miért van ez!?
Hogy miért van ez!?
A szélnél Link e szerint 276 fok (NY), de 0,7 km/h ami kb. 0,2 m/s, ha ez számít akkor szélcsend az észlelés.
06 UTC-s synopban kerek 19 fok szerepel, azóta hűsebb van.
Összecsöpörgött eddig 0.8 mm az automata szerint, de a csapadék már elállt.
Ütős égy forduló!
Összecsöpörgött eddig 0.8 mm az automata szerint, de a csapadék már elállt.
Ütős égy forduló!
Kiváló, azóta hűlünk (bár előtte a 19 fok talán megvolt már kerekítve) 
Takt 16,8...
Takt 16,8...
