Információk az előrejelzési versenyhez
Versenyinformációk
A VERSENYSZABÁLYZATÚj előrejelzés elküldése az előrejelzési versenybe
A legutóbbi forduló eredménye
A verseny összesített állása
A 3 kieső fordulót nem tartalmazó összesített lista
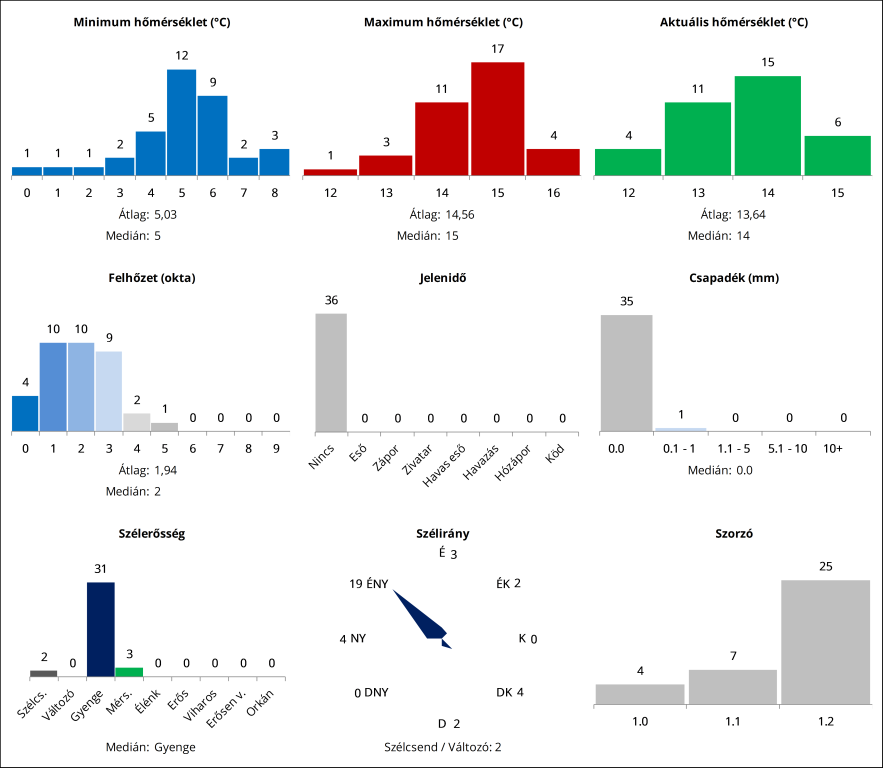
A synop-kódok értelmezéséhez egy kis segítség
Szélirány-meghatározáshoz segítség
Stelvio segítségével megjelenített összesített ranglista
Stelvio segítségével megjelenített örökranglista
Stelvio segítségével megjelenített dicsőséglista
A meteorológiai állomások elhelyezkedése
A meteorológiai állomások beosztása
Én a bedobok egy idei őszibarack párlatotot. 
Szerintem idén nem sokunkak jött össze 3 hordónyi cefre.
Szerintem idén nem sokunkak jött össze 3 hordónyi cefre.
Elkészült az összefoglaló.
Link
Nem tűnik ez sem egy bonyolult fordulónak, bár azért a balatoni mikroklíma még hozhat meglepetéseket.
Nem tűnik ez sem egy bonyolult fordulónak, bár azért a balatoni mikroklíma még hozhat meglepetéseket.

Szerintem a győztest fogják, az meg majd csak vasárnap este derül ki
Elnyomtam valamit? A kedvelés az 5. sorszámon van.. ez már hír...
Na a lényeg, Ti ketten Satyával elvagytok "baráti nyelven". A szélmérő kakas leragasztása, és a jakuzzi mittudomén medencéről még egy képet se láttunk.
Tudom valami történést, humort próbáltok belehozni ebbe a felejtős nyári kör végére, meg a koronázás téma. Kit is koronázunk? Egy név se volt említve.
Na a lényeg, Ti ketten Satyával elvagytok "baráti nyelven". A szélmérő kakas leragasztása, és a jakuzzi mittudomén medencéről még egy képet se láttunk.
Tudom valami történést, humort próbáltok belehozni ebbe a felejtős nyári kör végére, meg a koronázás téma. Kit is koronázunk? Egy név se volt említve.
Vasárnap megpróbálnék én is előadni egy ilyen monológot, de sajnos vezetek oda-vissza 
Holdat ugató farkasember legyek, ha ebből bármit is értettem.
A lényeget kérdezném: amit ebben a flashben létrehoztál, abban én jó vagyok vagy rossz?
Szerk.: mondjuk, ami utána jön, az se kutya.
A lényeget kérdezném: amit ebben a flashben létrehoztál, abban én jó vagyok vagy rossz?
Szerk.: mondjuk, ami utána jön, az se kutya.
Limit out 15 perc... Köztes szmájli
Pest és Siófok : Egyem a M7 gumiszagú letérőjét.
Győzzön a téli gumi Nov. 20 ig. felszerelve!
Blabla... Centralpark made in Siófok?
Többen is vagyunk mint Pest meg Siófok.
Adtam egy lemaradott előrét 1,1-nél. Szokványos forgatókönyv, esetleg a T.. min zsákbamacska, az nem a tóparti min.lesz.
Adtam egy lemaradott előrét 1,1-nél. Szokványos forgatókönyv, esetleg a T.. min zsákbamacska, az nem a tóparti min.lesz.
Na jó, a tetőn valóban formáznunk kellene valamennyit.
De el is tüntetheted, ha fabrikálsz hozzá egy újat.
De el is tüntetheted, ha fabrikálsz hozzá egy újat.
Jolvann, betüzelek, vagy hűtök a hőmérőnél, leragasztom a szélmérőt, oszt lesheted a műszert 
Meg ha úgy látom, a jacuzzi tetejét is eltüntetem
Meg ha úgy látom, a jacuzzi tetejét is eltüntetem
A mérőknél felőlem azt csinálsz, amit akarsz, amíg a beltéri nálam van.
Vagy tőlem 
Attól függ, mennyire leszünk túszok, odaférünk a mérőkhöz, vagy sem
Attól függ, mennyire leszünk túszok, odaférünk a mérőkhöz, vagy sem
A bánkúti hóvihar és egyéb nyalánkságok közepette azért ne feledkezzünk el a ma kettőig leadandó egykettes évadzáró tippekről sem.
Aki kimarad, az lehet hogy lemarad
Aki kimarad, az lehet hogy lemarad
Köszönet Iminek az észlelésért, másik Iminek a pontozásért! 
Amit a T-k elvittek, azt a többi paraméter (különösen a felhőzet) visszahozta, így - ha csak 0,6 ponttal is, de - több pontom lett a változtatással.
Ezúton is köszönöm a felvonuló újpesti cirrostratusoknak!
Dabronynak pedig gratula!
Amit a T-k elvittek, azt a többi paraméter (különösen a felhőzet) visszahozta, így - ha csak 0,6 ponttal is, de - több pontom lett a változtatással.
Ezúton is köszönöm a felvonuló újpesti cirrostratusoknak!
Dabronynak pedig gratula!
Szerintem írja ki a 21., de sok értelme nincs, ha ketten megbeszélitek, ki nyer ma(jd)
Gratulálok, szép volt 
A modositasaim összesen nulla pontot hoztak, de legalabb elvesztettem az 1,2-es szorzót
A modositasaim összesen nulla pontot hoztak, de legalabb elvesztettem az 1,2-es szorzót
"Kornéllal egyeztetve megbeszéljük akkor kinek a fejére teszi rá Zsolt a koronát Siófokon."
Mindamellett, hogy nagy megtiszteletetés számomra -és ismét szeretném megköszönni mindenkinek a lehetőséget!-, hogy én koronázhatok ismét és immár hagyományosan, azt azért megjegyezném, hogy velem lehet tárgyalni a győztes kilétéről.
Nehéz megvesztegetni, de egy próbát feltétlenül megér.
Mindamellett, hogy nagy megtiszteletetés számomra -és ismét szeretném megköszönni mindenkinek a lehetőséget!-, hogy én koronázhatok ismét és immár hagyományosan, azt azért megjegyezném, hogy velem lehet tárgyalni a győztes kilétéről.
Köszönjük Iminek az észlelést! 
A fordulót toronymagasan dabrony nyerte gratulálok neki és minden elégedettnek.
A következő kiíró így elsőre nem tudom ki lesz, mert valaki nem írta ki korábban a fordulót. Kornéllal egyeztetve megbeszéljük akkor kinek a fejére teszi rá Zsolt a koronát Siófokon.
Forduló: Link
Összetett: Link
A fordulót toronymagasan dabrony nyerte gratulálok neki és minden elégedettnek.
A következő kiíró így elsőre nem tudom ki lesz, mert valaki nem írta ki korábban a fordulót. Kornéllal egyeztetve megbeszéljük akkor kinek a fejére teszi rá Zsolt a koronát Siófokon.
Forduló: Link
Összetett: Link
Nem túl vastag a Cs, ami érkezett, de úgy 5 perc kintlét és égkémlelést követően már kivehető volt, hogy ott van. A műholdon is ott van, meg - bár ez már jóval messzebb van - a Lőrinci felhőalapmérő is beadta.
Hát nálam (onnan kb. 4 km-re) 15 perce ez volt nyugat felé:
De nem én észlelek, ergo elfogadom
A csapadékot pedig várom szeretettel, de csak módjával

De nem én észlelek, ergo elfogadom
A csapadékot pedig várom szeretettel, de csak módjával
Ebben még én is reménykedtem. 19:45-kor Imi észlelt is a METÉSZ szerint 4 oktát. Sajnos egész órára ez 6 okta lett, kemény bukta
A csapadék necces lehet. Talán késik!
No akkor:
Felhőzet: 6 okta (Cs6).
Jelenidő: 03 (nincs).
Takt: 18,4 °C.
Szél: 1,0 m/s 146 fokról.
Tmax: 25,3 °C.
Tmin: 10,2 °C.
A csapadékot pedig majd meglátjuk.
Felhőzet: 6 okta (Cs6).
Jelenidő: 03 (nincs).
Takt: 18,4 °C.
Szél: 1,0 m/s 146 fokról.
Tmax: 25,3 °C.
Tmin: 10,2 °C.
A csapadékot pedig majd meglátjuk.
Nekem ugyanez jutott eszembe. Mint anno a '90-es években a Játék Határok Nélkülben.
Goldman most használja fel a duplázó Jokert. 
Vajon összejött-e a kerekített 26 fok? És vajon ideérnek-e 19:50-ig a felhők? Ezek miatt és a csapadék miatt módosítottam 1,2-esről 1,0-ra, úgyhogy remélem igen.
Vajon összejött-e a kerekített 26 fok? És vajon ideérnek-e 19:50-ig a felhők? Ezek miatt és a csapadék miatt módosítottam 1,2-esről 1,0-ra, úgyhogy remélem igen.
Ma este 19.58-ig 1.0-ás tegyék meg tétjeiket!
Milyen messze van az állatkert? De tényleg, a T.min. miatt kérdem...
Milyen messze van az állatkert? De tényleg, a T.min. miatt kérdem...
Zseegee ki is jelölte a következő forduló helyszínét és időpontját.
Budapest-Újpest 2021. október 5., kedd 20 óra (18 UTC).
Lehet is tippelni: Link
Budapest-Újpest 2021. október 5., kedd 20 óra (18 UTC).
Lehet is tippelni: Link

