Információk az előrejelzési versenyhez
Versenyinformációk
A VERSENYSZABÁLYZATÚj előrejelzés elküldése az előrejelzési versenybe
A legutóbbi forduló eredménye
A verseny összesített állása
A 3 kieső fordulót nem tartalmazó összesített lista
A synop-kódok értelmezéséhez egy kis segítség
Szélirány-meghatározáshoz segítség
Stelvio segítségével megjelenített összesített ranglista
Stelvio segítségével megjelenített örökranglista
Stelvio segítségével megjelenített dicsőséglista
A meteorológiai állomások elhelyezkedése
A meteorológiai állomások beosztása
Kiderült az ég, gyenge a szél, hiába süt a nap, lecsökkent hirtelen kerekített 4 fokra, lehet izgulni, hogy lesz-e 3,4.
A keleti horizonton húzódik a felhőzet széle, a nap most bújt elő mögüle, sok oktára nem számíthatunk.
Tomi majd ad pontos adatokat, vagy itt, vagy máshol.
Lebeszélve.
Sajnos nem érek ki észlelésre.
Lebeszélve.
Sajnos nem érek ki észlelésre.
Ne feledjük, November van, az is a végefelé. Lassan ébred az időjárás; reggel csendes, hűvös, majd 10 felé mozgalmas. Na de majd meglássuk. Egyem a 9 órát, se ide- se oda. Ménnem 14.40. ?
Elvileg tök egyszerű forduló, gyakorlatilag viszont az oktákat simán lehet nullázni, a hőmérséklet ilyen helyzetben mindig bizonytalan, a szél szintén nem atombiztos, szóval...
Le is adtam gyorsan, mielőtt elmaradna. Ez a reggel 9, ravasz kis időpont.
Mindenképp szegedi kiírási lehetőséget néztem (ha már siófoki fordulót nem írhatok ki
), hát volt csütörtök és szombat a beosztás alapján. A csütörtököt korainak találtam és a modellek álltal hétvégén vizionált csapadék lehetősége is érdeklődés hiányában elmarad.
A szombatot még nem is néztem, nagy izgalmakra nem számítok.
A szombatot még nem is néztem, nagy izgalmakra nem számítok.
Ne aggódj, időben szólok
Pl. most, hogy holnap délelőtt kilencig egykettes
Pl. most, hogy holnap délelőtt kilencig egykettes
Klaviatúrát? 
Már 2x hittem azt, hogy elfelejtettem az 1.2-es határidőt....
Már 2x hittem azt, hogy elfelejtettem az 1.2-es határidőt....
Hegyezem a ceruzát. ( vagyis a kvadratúrát.)
Remélem nem lesz hasraesés. A helyi helyszíneknek van valami visszacsapó varázsa...
Remélem nem lesz hasraesés. A helyi helyszíneknek van valami visszacsapó varázsa...
Itt nem tudod leégetni magad, hivatásosok is nézték már alulról a mezőnyt, a következő fordulót pedig simán nyerheted
A 3 legrosszabb eredmény úgyis kiesik a végén, szóval kitartást!
Nehogy kihagyd! Voltam már én is utolsó meg első. Az első három kanyar után melegszenek csak be a pontszerző gumik. És ahogy Bkrisz is mondta nem kell tulvariálni, mert rosszul esik a jelenidő. Egy kis helyismeret, domborzat, időpont, meg a fronthelyzet, és kész a nyerő sor. Ja persze nem árt az 1.2-es rászorzás.
Gratulálok én is. A köd jelenidő fénye sokakat elkápráztatott, de utólag nézve is nagyobb kockáztatás lett volna nem megadni. Aki mert, most nyert 
Az időjárás lehet a
jelenidőre tartalékol, helyes....
Az időjárás lehet a
Gratulálok! A szélcsendért kár, de nem lehetek elégedetlen 1.0-s szorzóval
Köszönöm! Rámfért volna a nyári körben is néhány hasonló eredmény, de remélem Szegeden folytatódik.
10,4°C lett a maximum.
A fordulót lepontoztam, amit toronymagasan Gordonka nyert. Gratulálok neki és mindenkinek, aki elégedett az eredményével.
Forduló: Link
Összetett: Link
A következő kiíró BKrisz. Szeretnénk kérni egy helyszínt és egy időpontot.
Választható helyszínek:
Bécs (Wien-Hohe Warte) [11035]
Békéscsaba [12992]
Budapest Liszt Ferenc Nemzetközi Repülőtér [lhbp]
Budapest-Újpest [metnet-es észlelő]
Csíkszereda (Miercurea Ciuc) [15170]
Debrecen [12882]
Felcsút [metnet-es észlelő]
Kassa (Kosice) [11968]
Kecskemét [12970]
Kékestető [12851]
Lomnici-csúcs (Lomnicky Stít) [11930]
Nagykanizsa [12925]
Pécs-Egyetem [38528]
Siófok [metnet-es észlelő]
Sopron-Kurucdomb [nincs kódja]
Szeged [12982]
Szolnok [12860]
Szombathely [12812]
Zágráb-Maksimir [14240]
Meteorológiai állomások beosztása: Link
Szolgálati közlemény a kiíróknak! Budapest-Ferihegy állomást kérlek 2021 december 31-ig mindenképpen ki kellene írni. Köszi.
A fordulót lepontoztam, amit toronymagasan Gordonka nyert. Gratulálok neki és mindenkinek, aki elégedett az eredményével.
Forduló: Link
Összetett: Link
A következő kiíró BKrisz. Szeretnénk kérni egy helyszínt és egy időpontot.
Választható helyszínek:
Bécs (Wien-Hohe Warte) [11035]
Békéscsaba [12992]
Budapest Liszt Ferenc Nemzetközi Repülőtér [lhbp]
Budapest-Újpest [metnet-es észlelő]
Csíkszereda (Miercurea Ciuc) [15170]
Debrecen [12882]
Felcsút [metnet-es észlelő]
Kassa (Kosice) [11968]
Kecskemét [12970]
Kékestető [12851]
Lomnici-csúcs (Lomnicky Stít) [11930]
Nagykanizsa [12925]
Pécs-Egyetem [38528]
Siófok [metnet-es észlelő]
Sopron-Kurucdomb [nincs kódja]
Szeged [12982]
Szolnok [12860]
Szombathely [12812]
Zágráb-Maksimir [14240]
Meteorológiai állomások beosztása: Link
Szolgálati közlemény a kiíróknak! Budapest-Ferihegy állomást kérlek 2021 december 31-ig mindenképpen ki kellene írni. Köszi.
Szóval ez a november, sőt december is el lesz amolyan - ilyen szélcsendes hétvégékkel...Levélszagú fenyőfákkal...4 számjegyű faárakkal, +3+8,9 fokos napos anomáliákkal, idővel. 
Ja elmehet a latolgatásokba, uccse jártam ott.
.
Ja elmehet a latolgatásokba, uccse jártam ott.
Gondoltam ha már egy ilyen nyugodt, anticiklonális időszakra kell időpontot kijelöljek, legalább legyen egy kis izgalom, hát sikerült saját magamat is megszívatnom.
Bár tény hogy egy hete még egy gyenge érintő front lehetőségével is számoltak a modellek.
Túlgondoltam én is. első 1.2-es tippben; 0-0 fok nincs jelen, és 0 kta. volt. Pápá 5 pont...
Azért a második forduló helyszínét gondold át.
Azért a második forduló helyszínét gondold át.
Meg Géza7503 tippje is megér egy misét. 
Az jut eszembe, hogy a francért kell túlgondolkoznom a tippem.
Az jut eszembe, hogy a francért kell túlgondolkoznom a tippem.
Azért Gordonka ott zenél a háttérben, szerintem ő húzza el a nótánkat
Megjött a SYNOP is szóval:
Összfelhőzet: 0 okta
Jelenidő: Nincs
T min: -0,9°C
T akt: -0,8°C
Szélsebesség: Szélcsend
Irány: -
Összfelhőzet: 0 okta
Jelenidő: Nincs
T min: -0,9°C
T akt: -0,8°C
Szélsebesség: Szélcsend
Irány: -
Grat, forduló győzelmet kb. be is húztad ezzel 
A széltől függően még akár kétszámjegyű pontszámom is lehet, jupíííííí
A széltől függően még akár kétszámjegyű pontszámom is lehet, jupíííííí
Az észlelõ a város keleti része felé ködöt észlelt ráadásul. A nulla és 9 okta ill. nincs jelenidõ - van jelenidõ párosok egymástól nem messze.
Nagyon finom leszek: Harmincöten beszívtuk, a tizenöt versenyzőnek pedig gratulálok. Nem igazán volt ez egyértelmű mi lesz, szóval a szerencsén múlott nagyon ebben az időjárási helyzetben.
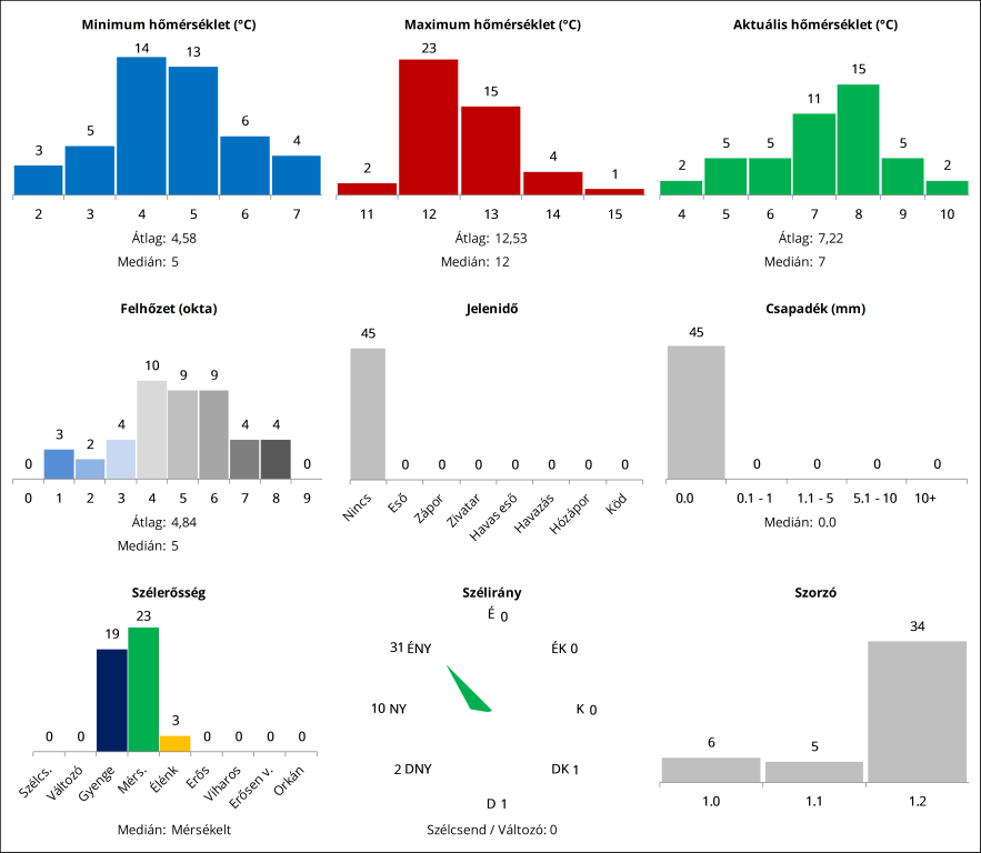
Elkészült az összefoglaló
Link
Azért jó látni, hogy 51 ember indult, a nyári körnek a végére már csak kb. 35 körüli volt a létszám.
Azért jó látni, hogy 51 ember indult, a nyári körnek a végére már csak kb. 35 körüli volt a létszám.

A nyugdíjasok ráérnek változtatni. 
Én tegnap reggeli nagy futásban mondtam Andinak, vagy olyan tippet adtam le, amivel nyerek, vagy olyat, amivel tök ucsó leszek.
Én tegnap reggeli nagy futásban mondtam Andinak, vagy olyan tippet adtam le, amivel nyerek, vagy olyat, amivel tök ucsó leszek.

