Információk az előrejelzési versenyhez
Versenyinformációk
A VERSENYSZABÁLYZATÚj előrejelzés elküldése az előrejelzési versenybe
A legutóbbi forduló eredménye
A verseny összesített állása
A 3 kieső fordulót nem tartalmazó összesített lista
A synop-kódok értelmezéséhez egy kis segítség
Szélirány-meghatározáshoz segítség
Stelvio segítségével megjelenített összesített ranglista
Stelvio segítségével megjelenített örökranglista
Stelvio segítségével megjelenített dicsőséglista
A meteorológiai állomások elhelyezkedése
A meteorológiai állomások beosztása
Rendben. 
Nekem is ez a jobb egyébként, mert akkor minden adatot meg tudok mondani (a minimumot, maximumot este, a szolgálat elején, a csapadékot pedig hétfő reggel, a végén).
Nekem is ez a jobb egyébként, mert akkor minden adatot meg tudok mondani (a minimumot, maximumot este, a szolgálat elején, a csapadékot pedig hétfő reggel, a végén).
Szerintem egyértelműen a B variáció, hiszen a 23 UTC még vasárnap.
Na, egyre gondoltunk.
Na, egyre gondoltunk.
Rendben!
Utóbbira gondoltam, ezért írtam inkább vasárnap 23 UTC-t hétfő 0 óra helyett a kiíráskor, hogy látsszon, vasárnapi fordulóra gondoltam (az észlelés úgyis még aznap 23:50-kor vagy akörül van). De jogos, akkor érdemes ezt is pontosan tisztázni.
Utóbbira gondoltam, ezért írtam inkább vasárnap 23 UTC-t hétfő 0 óra helyett a kiíráskor, hogy látsszon, vasárnapi fordulóra gondoltam (az észlelés úgyis még aznap 23:50-kor vagy akörül van). De jogos, akkor érdemes ezt is pontosan tisztázni.
Igen, közben már mi is rájöttünk, hogy rosszul lett kiírva, viszont a javítása fejlesztőt igényel, de igyekszünk mihamarabb megcsinálni. 
És csak a félreértések elkerülése végett, melyik verzióra gondoltál?
Tmin: vasárnap 19 - hétfő 7 óra között
Takt, jelenidő, felhőzet, szél: hétfő 0 óra
Tmax: hétfő 7 - 19 óra között
Csapadék: hétfő 7 - kedd 7 óra között
vagy
Tmin: szombat 19 - vasárnap 7 óra között
Takt, jelenidő, felhőzet, szél: hétfő 0 óra (vasárnap 24 óra)
Tmax: vasárnap 7 - 19 óra között
Csapadék: vasárnap 7 - hétfő 7 óra között
És csak a félreértések elkerülése végett, melyik verzióra gondoltál?
Tmin: vasárnap 19 - hétfő 7 óra között
Takt, jelenidő, felhőzet, szél: hétfő 0 óra
Tmax: hétfő 7 - 19 óra között
Csapadék: hétfő 7 - kedd 7 óra között
vagy
Tmin: szombat 19 - vasárnap 7 óra között
Takt, jelenidő, felhőzet, szél: hétfő 0 óra (vasárnap 24 óra)
Tmax: vasárnap 7 - 19 óra között
Csapadék: vasárnap 7 - hétfő 7 óra között
Szerintem a félreértések elkerülése végett érdemes lenne a kiírásban a 0 órákat 24 órára cserélni (vagy a vasárnapot hétfőre cserélni, ha már marad a 0 óra).
Gratulálok 
Meg az 1.0-ás tippelőknek, magas pontszámokat értek el (na nem mindenki)
Meg az 1.0-ás tippelőknek, magas pontszámokat értek el (na nem mindenki)
Soha nem gondoltam volna, hogy egyszer pont budapesti fordulót fogok majd választani, de legyen akkor Ferihegy, nehogy aztán kimaradjon. Szemezgetve beosztással akkor azt javaslom viszont, legyen az időpont valami szokatlan, mondjuk vasárnap éjfél, azaz 2021.12.19. 23 UTC.
(A szolnoki két tized milliméter miatt kissé bosszús vagyok, nem bántam volna, ha egyedüliként eltalálom a csapadékmennyiséget.)
(A szolnoki két tized milliméter miatt kissé bosszús vagyok, nem bántam volna, ha egyedüliként eltalálom a csapadékmennyiséget.)
Gratula BKrisznek a győzelemhez!
Durván a tizedek döntöttek ebben a fordulóban (mind3 T, csapadék is hajszálhíján). Nekem egy tizeden múlt a hibátlan tippsor, de az 1,2eshez képest is már megérte változtatni.
Durván a tizedek döntöttek ebben a fordulóban (mind3 T, csapadék is hajszálhíján). Nekem egy tizeden múlt a hibátlan tippsor, de az 1,2eshez képest is már megérte változtatni.
Gratula Bkrisznek a győzelemhez!
A dobogón csak esősök vannak
Egy pár olvadt hópelyhet reméltem az esőben, de amikor a +3°C már esélyesebbnek tűnt a +2-nél, nem sok reményem volt rá ilyen harmatpontnál. A csapadékmennyiséget meg nem mertem megadni "rendesen" a korábbi felülbecsléseim miatt. Jellemző
A dobogón csak esősök vannak
Egy pár olvadt hópelyhet reméltem az esőben, de amikor a +3°C már esélyesebbnek tűnt a +2-nél, nem sok reményem volt rá ilyen harmatpontnál. A csapadékmennyiséget meg nem mertem megadni "rendesen" a korábbi felülbecsléseim miatt. Jellemző
Jó kis menet volt, én is gratulálok mindenkinek, aki jól meg tudta fogni ezt a helyzetet, de mivel én magam írtam ki a fordulót, aligha jöhetek megint a következő kettő valamelyikében.
Grat Krisznek! Én meg még azon izgultam, nehogy tisztán hó legyen már délutánra, aztán látjuk, mi lett belőle még Szegeden is.....
A szolnoki fordulót BKrisz nyerte. Gratulálok neki! 
Forduló: Link
Összetett: Link
A következő kiíró Zorro lesz. Szeretnénk kérni egy helyszínt és egy időpontot. Szeretnénk megkérni, hogy vagy Te, vagy az ezután következő forduló kiírója (honza) a ferihegyi időpontokkal szemezgessetek. Decemberben mindenképpen ki kell írnunk a ferihegyi fordulót. Nagyon köszönjük!
Választható helyszínek:
Bécs (Wien-Hohe Warte) [11035]
Békéscsaba [12992]
Budapest Liszt Ferenc Nemzetközi Repülőtér [lhbp]
Budapest-Újpest [metnet-es észlelő]
Csíkszereda (Miercurea Ciuc) [15170]
Debrecen [12882]
Felcsút [metnet-es észlelő]
Kecskemét [12970]
Kékestető [12851]
Lomnici-csúcs (Lomnicky Stít) [11930]
Nagykanizsa [12925]
Pécs-Egyetem [38528]
Siófok [metnet-es észlelő]
Sopron-Kurucdomb [nincs kódja]
Zágráb-Maksimir [14240]
Meteorológiai állomások beosztása: Link
Forduló: Link
Összetett: Link
A következő kiíró Zorro lesz. Szeretnénk kérni egy helyszínt és egy időpontot. Szeretnénk megkérni, hogy vagy Te, vagy az ezután következő forduló kiírója (honza) a ferihegyi időpontokkal szemezgessetek. Decemberben mindenképpen ki kell írnunk a ferihegyi fordulót. Nagyon köszönjük!
Választható helyszínek:
Bécs (Wien-Hohe Warte) [11035]
Békéscsaba [12992]
Budapest Liszt Ferenc Nemzetközi Repülőtér [lhbp]
Budapest-Újpest [metnet-es észlelő]
Csíkszereda (Miercurea Ciuc) [15170]
Debrecen [12882]
Felcsút [metnet-es észlelő]
Kecskemét [12970]
Kékestető [12851]
Lomnici-csúcs (Lomnicky Stít) [11930]
Nagykanizsa [12925]
Pécs-Egyetem [38528]
Siófok [metnet-es észlelő]
Sopron-Kurucdomb [nincs kódja]
Zágráb-Maksimir [14240]
Meteorológiai állomások beosztása: Link
Ennyit látok a synopban is, MET-ÉSZen pedig szombat óta semmi észlelés, akkor ez a hivatalos csapadék adat?
9,2-t számoltam össze 21 óráig, és utána nem tudom mi történt, de a radarjelek ellenére nem mér semmit (máshol sem nagyon). Nem azért mert porhó, hisz 3 fokot mérnek.
Ha jól számolok 8.8 mm már, nehéz lesz 10 alatt tartani reggelig.
Ez az 1,0-s tipped már a csapadék összegétől függetlenül is nagyon szépre sikerült, grat!
Összességében nekem is megérte cserélni, az 1,2-es tippemhez képest legalább 5 ponttal többet hoz az 1,0-s. Azért még van sansz a 10+ mm-re...
Összességében nekem is megérte cserélni, az 1,2-es tippemhez képest legalább 5 ponttal többet hoz az 1,0-s. Azért még van sansz a 10+ mm-re...
6,7 mm esett eddig, remélem 10 mm alatt marad. Ha igen, akkor a 22 pontos 1,0-ás előrejelzésemmel teljesen elégedett leszek.
Még jó, hogy 2,5-re sem kapnék pontot. Itt az Alföldön tényleg fura hely Szolnok, mint írták a társalgóban. Ide a lavór aljára nem bír a hideg befolyni, vagy lehúzza a Tisza a meleget ? Bár azt is mondhatnám Szarvasra adtam véletlenül tippemet, oda telitalálat lenne. Az esőnek köszönhetően talán nem szívok a csapadéktippel, a szél meg (bár az mindig változhat utólag) bejött. Mindenesetre kiborultam, amikor a radarjelek 14:50-re eltűntek fél megyéről 10 perc alatt. Aztán visszajöttek, mintha valaki szórakozna és kapcsolgatná a radarokat. Szegény alföldiek, most sasolják ezerrel a radarokat, aztán nem tudni igaz-e amit mutatnak ? Mindenesetre nem túl erősek a keleti radarjelek a valós helyzethez képest ? Felénk kétszer annyi esik ilyen alföldihez hasonló magyar radarjelek mellett.
15 UTC-s synop: 2,6 fok, borult (8 okta), mérsékelt északi (10 fokról, 7 m/s), eső (ww61) jelenidő.
Éppen így vagyok vele én is. Múlt héten ugyanígy szívtam. Viszont nem tudom mi ez a fenenagy meleg Szolnokon, amikor azidőképen már kicsit keletebbre havazást meg 0 fokot látok. Gondolom 16 -kor még beadják, hogy 3 fok eső (vagy eláll) aztán 16:10-kor meg havazni kezd 0 fokban, hogy ne kaphassak pontot és még mérgelődhessek is ha akarok. Gondolom a szél meg északiról átvált valami lehetetlenre 10 perc erejéig és viharos lesz, aztán persze lecsillapodik. Mindenesetre ha havazni fog (gondolom nincs kézi mérés), akkor az 5,1 mm-t sem mérik be soha.
Ismét egy váltópontnyi különbség, ez most jól jött, de idén ősszel szívóágon vagyok ezekkel...
11:00-kor 4,6°C volt, most pedig már csökken is a hőmérséklet. 5 fokos T max már borítékolható is.
Alakul az általam várt kis melegbuborék az Északi-középhegység déli előterében, legalább 4,6 fokot elvárok, de 5,5-nek jobban örülnék a számottevő csapadék érkezése előtt
Véletlenül sem 1,4 ...
Valahogy érzéke van az időjárásnak a ,5-ös végződéshez, amikor verseny van
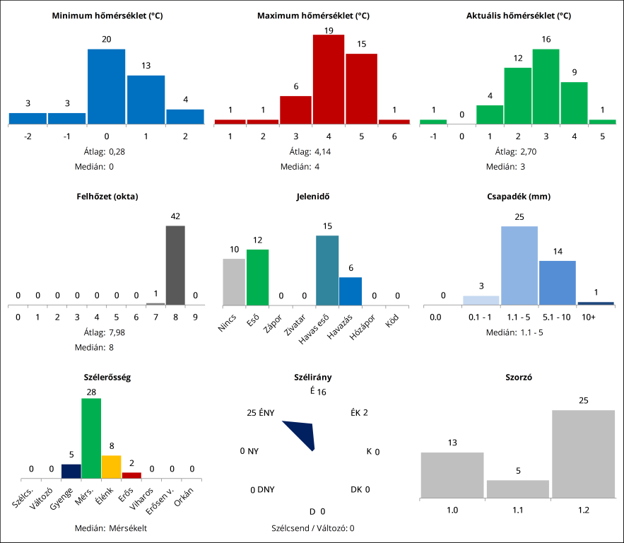
El is készült az összefoglaló: Link
Izgalmas forduló lesz, van mindenféle jelenidő, szélerősség, csapadékmennyiség.
Én az egykettesemen jó sokáig agyaltam, még a csütörtöki határidő előtt, fél négy körül kisebb habozás után egyszer fölül is írtam a prognózisomat. De aztán elégedetten hátradőltem, mert a modellek eltérő frissebb futásaihoz képest olyan stabilnak tűnt a tippem, mint a magyar forint.
Izgalmas forduló lesz, van mindenféle jelenidő, szélerősség, csapadékmennyiség.
Én az egykettesemen jó sokáig agyaltam, még a csütörtöki határidő előtt, fél négy körül kisebb habozás után egyszer fölül is írtam a prognózisomat. De aztán elégedetten hátradőltem, mert a modellek eltérő frissebb futásaihoz képest olyan stabilnak tűnt a tippem, mint a magyar forint.

Zorro, honza! Mivel Ti vagytok a következő két forduló kiírói szeretnénk benneteket megkérni, hogy a ferihegyi időpontokkal szemezgessetek. Decemberben mindenképpen ki kell írnunk a ferihegyi fordulót. Nagyon köszönjük!
Dobtam az 1,2-es szorzómat talán jogosan. Pont, ami a legtöbb pontot hozza (jelenidő) abban nincs egyetértése a modelleken kicsivel több mint 24 órával az észlelés előtt. Ez lehet cumi lesz.
Dobtam az 1,2-es szorzómat talán jogosan. Pont, ami a legtöbb pontot hozza (jelenidő) abban nincs egyetértése a modelleken kicsivel több mint 24 órával az észlelés előtt. Ez lehet cumi lesz.
Hát leadtam valamit, de ebből olyan 1,0-ás lesz mint a huzat szerintem.
Nem kell ehhez érteni, én se lövök hozzá, mégis vagy 15 éve itt koptatom a "padot", tanulok
Anno első idényben szerintem a met.hu előréjét tippeltem. Nem is volt rossz. Oszt eccer még egy idényt meg is nyertem, máig is értetlenül állok miatta
Ne máá..!
Nézzél bele pár előrejelzéses oldalra, nemcsak német amerikai, van magyar is a metneten kívül. Bombázd körül a jelzet értékeket, és annyi. Persze lehet következtetni a 1-3 napos jelenésre is, erre írta Imi, hogy nagyon necces a Szolnok,pont vas. dél körül...
Na jó tippeket. Tudom a tél nehéz terep.
Nézzél bele pár előrejelzéses oldalra, nemcsak német amerikai, van magyar is a metneten kívül. Bombázd körül a jelzet értékeket, és annyi. Persze lehet következtetni a 1-3 napos jelenésre is, erre írta Imi, hogy nagyon necces a Szolnok,pont vas. dél körül...
Na jó tippeket. Tudom a tél nehéz terep.
Emiatt abba ne hagyd, én is megjártam a poklot, most sem vagyok valami jó helyen, de kit érdekel, a játék szépségéért meg a jó társaság miatt vagyok itt
Engem nyugodtan kihúzhattok a listából, nem égetem magam tovább. 
Nem is tudom miért kezdtem bele a versenybe egyáltalán. Nincs se szakértelmem, se "megérzéseim" a lehetséges jövőképekkel kapcsolatban.
Nem is tudom miért kezdtem bele a versenybe egyáltalán. Nincs se szakértelmem, se "megérzéseim" a lehetséges jövőképekkel kapcsolatban.
Most csinálom az öt napos előrejelzést és hát mit ne mondjak, sikerült beleválasztani.
Rendben, akkor a következő forduló lehetne december 12-én Szolnokon, 15 UTC-s időponttal. Sok sikert mindenkinek!
Az már rövid lesz. Gondolkodj csak. Majd megkérjük akkor a következő kiírót.
Érdeklődnék, hogy mindenképpen most szeretnétek-e túlesni a Ferihegy helyszínen? Ha igen, akkor dec. 10-én a 15 UTC-s időpontot javasolnám, ami viszont elég szoros kiírást jelentene. Ha viszont ezt túl korainak gondoljátok, akkor még gondolkodnék egy kicsit.