Információk az előrejelzési versenyhez
Versenyinformációk
A VERSENYSZABÁLYZATÚj előrejelzés elküldése az előrejelzési versenybe
A legutóbbi forduló eredménye
A verseny összesített állása
A 3 kieső fordulót nem tartalmazó összesített lista
A synop-kódok értelmezéséhez egy kis segítség
Szélirány-meghatározáshoz segítség
Stelvio segítségével megjelenített összesített ranglista
Stelvio segítségével megjelenített örökranglista
Stelvio segítségével megjelenített dicsőséglista
A meteorológiai állomások elhelyezkedése
A meteorológiai állomások beosztása
Hát, én szívesen lepontoznám nem hivatalos tartalékpontozóként, mert mindent tudunk Zivi jóvoltából. De Kornél annyira a pontozás kapujában állt meg, hogy innen már nem venném ki a kezéből...
Meg még ott van Imi, mint másik hivatalos pontozó.
De ha késő estig senki sem, akkor majd én...
Addig is megírom a szokásos hétfő délután/esti előrémet
De ha késő estig senki sem, akkor majd én...
Addig is megírom a szokásos hétfő délután/esti előrémet
Akkor tehát...
Tmin: 3 fok
Tmax: 7 fok
Felhőzet: 2 okta
Jelenidő: nincs
Takt: 4 fok
Szél: élénk északnyugati
Csapadék: 0
ugye?
Tmin: 3 fok
Tmax: 7 fok
Felhőzet: 2 okta
Jelenidő: nincs
Takt: 4 fok
Szél: élénk északnyugati
Csapadék: 0
ugye?
Köszi az adatokat, az egész órás érték számít, tehát Takt 4 fok 
Ez a 2 okta viszont szörnyű
Ez a 2 okta viszont szörnyű
Takt: én 4 fokot mondanék (a szinop állomásokhoz igazodva óra 50-kor és egészkor is 4,4 volt, a kettő között viszont felment 4,5-4,6 fokig egy-két percre, és a METAR-ba pont az ment bele - ott egyébként már a 4,5 is 5-nek számít)
Szél: élénk ÉNy-i (300° 18 csomó / 9 m/s)
Felhőzet: 2 okta
Jelenidő nincs.
Szél: élénk ÉNy-i (300° 18 csomó / 9 m/s)
Felhőzet: 2 okta
Jelenidő nincs.
Metar alapján élénk északnyugati szél, és visszamentünk 5 fokra kerekítve. A felhőzet 1-2 okta lehet innen nézve.
Eddig jó!
A felhőzetem viszont elég bukósnak néz ki. Borult szinte biztos nem lesz. Mondjuk erősen változik a felhőzet a térségben. Itt Érden például nagyjából 2 és 7 okta között ingadozott az elmúlt 1 órában. Volt egy rövid gyenge zápor is közben (valami jelentéktelen mennyiségű, permetszerű csapadék volt)
Jól vissza kellett keresnem mire megtaláltam, de jogos, remélem a kávé finom volt 
Ja, itt a messze északon csepereg az eső
Ja, itt a messze északon csepereg az eső
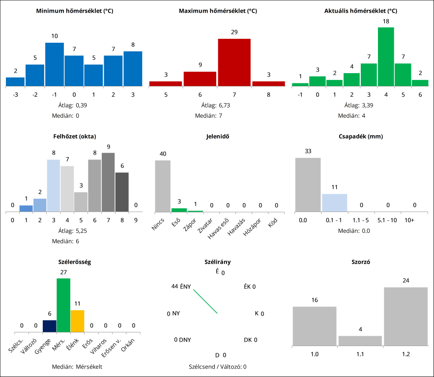
Kissé megkésve, de elkészült az összefoglaló.
Link
Azért látom sokan (köztük én is) rámentünk 1-es szorzóval arra a 3 fokos Tminre.
A szélirány is atombiztosnak tűnik.
A felhőzet viszont már kevésbé. 
Azért látom sokan (köztük én is) rámentünk 1-es szorzóval arra a 3 fokos Tminre.

Nem, hanem olyan emberre vadásztam, aki tud nekem adni egy új jelszót az elfelejtett helyett az irodai géphez, ami így vasárnap este nem egy egyszerű feladat (a céges wifit épp karbantartják, úgyhogy B opció nem nagyon játszott). 
Sajnos nem lett meg a -3 fokos minimum, csak -2,1, és az is a harmatponté. A Tmin 2,8, a Tmax 7,2 fok volt.
Sajnos nem lett meg a -3 fokos minimum, csak -2,1, és az is a harmatponté. A Tmin 2,8, a Tmax 7,2 fok volt.
Mindenki milyen türelmetlen, Zivi leírta, hogy estére megy dolgozni.
Most kávézik, ennyi, ez mindenkinek jár.
Most kávézik, ennyi, ez mindenkinek jár.
Este van szolgálatban Zivipötty (ha jól látom a táblázatban 19:50-06:50 között), azt nem tudom, hogy másvalaki van-e onnan, aki követi a fórumot. Így érthető, hogy nincsenek még adataink, de valószínűleg hamarosan érkeznek.
Tényleg azért ilyenkor már egy T.min-t nyilvánosságra lehetne hozni, meg lassan egy maxot is.
Sztem 3-7
Sztem 3-7
A borotvaél éleződikmegit. +1 felfelé+1megint. tele leszek görbülő libanyakkal. 2 pontosakkal.
Bkrisz; fözzél nekik vízben libanyakot a kutyusoknak. Ne sózd be.
Bkrisz; fözzél nekik vízben libanyakot a kutyusoknak. Ne sózd be.
Metar szerint meg van a 7 fok, de ez sem biztos.
Az éjjeli csapadéknál meg biztosabb a kutyáim vacsorája.
Az éjjeli csapadéknál meg biztosabb a kutyáim vacsorája.

Remélem én is.
,
Ugye ez nem Lőrinci állomás, hanem metaros reptér.
Szerintem túl vagyunk a T-min.-en. Ziviőpotty? Ja vonaton vagy...
Szélúrfi közben készülődik az esti előadásra.Remélem bevállik
,
Ugye ez nem Lőrinci állomás, hanem metaros reptér.
Szerintem túl vagyunk a T-min.-en. Ziviőpotty? Ja vonaton vagy...
Szélúrfi közben készülődik az esti előadásra.Remélem bevállik
3,5 fok alá vajon lecsusszant-e? Hamarosan kiderül. 
Szerk.: igen, 2 fok a Tmin, ha minden igaz.
Szerk.: igen, 2 fok a Tmin, ha minden igaz.
Az 1.0-sok valahogy nem tudják a fagyot elképzelni sem. Ki érti ezt ? Talán megnézték a 15 perccel ezelőtti észlelést ?
Hát kb. én is így voltam vele, de tényleg hol az a 15?, ami az eredeti tippemet nézve jelen állás szerint is necces, vagy nem, de ki tudja
Én jelen állás szerint összesen 3 egységnyit változtatnék az 1,2-es tippsoromon, de 15 alappont feletti eredménnyel számolva már nem érné meg változtatnom. (1,2-es szorzóval ugye 15 alappont lenne 18 pont, e felett pedig a különbség nagyobb lenne, mint 3 pont) Persze kérdés, lesz-e legalább 15 alappontom...? Na, mindegy, inkább már nem nyúlok bele!
Vagy az ogimet server nem volt épp elérhető, megesik. Nálam most ok Chrome-ban.
Valami kukbak van a link körül , a 12839 lekérése mai napra -- nem mükxik. Lehet bömgésző függő? Én cromet használok.
Gépészmérnökként már többször nekifutottam ennek a számsornak több-kevesebb sikerrel, mivel nem használom nap mint nap, az agyam szelektál, öregszem.
Én 101,2-es oktános benzinnel startolok, remélem nem hagy cserben a szülővárosom, Budapest.
Én is biztosan ezért aludtam el tegnap 11 előtt valamikor.........
Bazz, most akartam irni, hogy ketyeg az óra, de inkább azt írom, ketyeg az órád
Már csak második lehetek
Már csak második lehetek
Leadtam a tippet aztán rögtön módosítottam is, mert közben rájöttem, hogy nem azt fogom észlelni. Innentől már nincs esélye senkinek.
Na akkor ma éjfélig egykettes, aki kimarad, az lehet lemarad, hisz nagyon könnyű forduló jön
Hát, ez a versenyünk, illetve az időpont sajátja. Aki eldob egy szorzót egy pontosabb(nak tűnő) Tmin-ért éjfélkor, annak hajrá 
Tehát még egyszer:
Tmin: december 18., szombat 18 UTC - december 19., vasárnap 06 UTC között
Takt, jelenidő, felhőzet, szél: december 19., vasárnap 23 UTC (december 20., hétfő 00 óra)
Tmax: december 19., vasárnap 06 - 18 UTC között
Csapadék: december 19., vasárnap 06 UTC - december 20., hétfő 06 UTC között
Tehát még egyszer:
Tmin: december 18., szombat 18 UTC - december 19., vasárnap 06 UTC között
Takt, jelenidő, felhőzet, szél: december 19., vasárnap 23 UTC (december 20., hétfő 00 óra)
Tmax: december 19., vasárnap 06 - 18 UTC között
Csapadék: december 19., vasárnap 06 UTC - december 20., hétfő 06 UTC között