Információk az előrejelzési versenyhez
Versenyinformációk
A VERSENYSZABÁLYZATÚj előrejelzés elküldése az előrejelzési versenybe
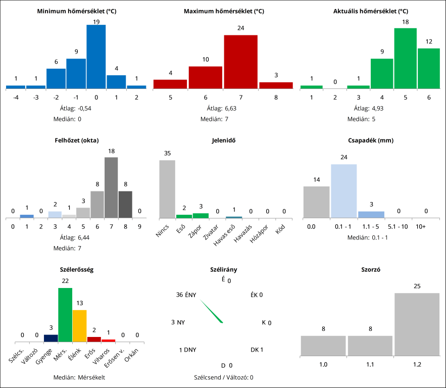
A legutóbbi forduló eredménye
A verseny összesített állása
A 3 kieső fordulót nem tartalmazó összesített lista
A synop-kódok értelmezéséhez egy kis segítség
Szélirány-meghatározáshoz segítség
Stelvio segítségével megjelenített összesített ranglista
Stelvio segítségével megjelenített örökranglista
Stelvio segítségével megjelenített dicsőséglista
A meteorológiai állomások elhelyezkedése
A meteorológiai állomások beosztása
Päros felé, ha negatív a szám, ha pozitív, mindegy.
Egy -5,5°C még nem kizárt....
Egy -5,5°C még nem kizárt....
Szintén. Elmerültem a Magas-Tátra csodálatos, havas tájában. Na ez van...
Elkészült az összefoglaló: Link
Én is most 1.1-es szorzóval vágtam neki a fordulónak, nagy dilemmázás után inkább a módosítás mellett döntöttem, remélem bejön a számításom.
Azért a felhőzetnél lesznek izgalmak.
Én is most 1.1-es szorzóval vágtam neki a fordulónak, nagy dilemmázás után inkább a módosítás mellett döntöttem, remélem bejön a számításom.
Azért a felhőzetnél lesznek izgalmak.

Na erről jól lemaradtam...
Gyerek felvételije volt a fókuszban hétvégén.
Plusz egy kieső forduló... Többieknek sok sikert!
Plusz egy kieső forduló... Többieknek sok sikert!
Hálás köszönet érte!
1x elfelejtve, 1x későn kelve, így marad az 1.0-s. Hátha valami nem látszott eddig
1x elfelejtve, 1x későn kelve, így marad az 1.0-s. Hátha valami nem látszott eddig
Kiesők nélküli összetett féltávnál:
1. MacBook 131,6
2. Gordonka 131,4
3. Pestimet 130,8
4. stelvio 129,2
5. Brighty 128,4
6. honza 128,1
7. Tullner_Job 126,9
8. coontac 125,4
9. Lesliecius 125,2
10. herbary 124,8
11. zseegee 124,1
12. met4ever 123,8
13. BKrisz 123,6
14. Zorro 123,5
15. Imi1995 122,8
16. Goldman 120,6
17. hófúvás 119,0
18. Perico 118,4
19. kahdra 116,8
20. vizipók 116,6
----------------------------------------
21. Télember 116,0
22. satya 115,7
23. Blizzard 114,9
deco05 114,9
25. Hidegcsepp95 114,2
26. Templar 113,6
27. Fecc 113,5
matyi06 113,5
29. szabóka 113,3
30. Phileas 110,4
31. Zivipötty 109,0
32. Kaszabubu 108,4
33. dabrony 107,8
34. jocika8627 106,8
35. KiZo 106,6
36. Lactarius 104,8
37. mikahock 103,8
38. mzs 103,4
39. Gurden 102,8
40. balintaj 102,2
41. paleopapa 99,3
Bakonyvár 99,3
43. Misimókus 97,2
44. gulyasme 86,7
Hibák természetesen előfordulhatnak, ne haragudjatok érte.
1. MacBook 131,6
2. Gordonka 131,4
3. Pestimet 130,8
4. stelvio 129,2
5. Brighty 128,4
6. honza 128,1
7. Tullner_Job 126,9
8. coontac 125,4
9. Lesliecius 125,2
10. herbary 124,8
11. zseegee 124,1
12. met4ever 123,8
13. BKrisz 123,6
14. Zorro 123,5
15. Imi1995 122,8
16. Goldman 120,6
17. hófúvás 119,0
18. Perico 118,4
19. kahdra 116,8
20. vizipók 116,6
----------------------------------------
21. Télember 116,0
22. satya 115,7
23. Blizzard 114,9
deco05 114,9
25. Hidegcsepp95 114,2
26. Templar 113,6
27. Fecc 113,5
matyi06 113,5
29. szabóka 113,3
30. Phileas 110,4
31. Zivipötty 109,0
32. Kaszabubu 108,4
33. dabrony 107,8
34. jocika8627 106,8
35. KiZo 106,6
36. Lactarius 104,8
37. mikahock 103,8
38. mzs 103,4
39. Gurden 102,8
40. balintaj 102,2
41. paleopapa 99,3
Bakonyvár 99,3
43. Misimókus 97,2
44. gulyasme 86,7
Hibák természetesen előfordulhatnak, ne haragudjatok érte.
Qlbász helyett én meg a csontfaragással bíbelődtem a vasárnapi zöldség-csontleves alapjaként, oszt 8.55-kor ültem ide. 
Egy hajnali 5-ös fejbe ramozott tippsort azért gyorsan beírtam.
Egy hajnali 5-ös fejbe ramozott tippsort azért gyorsan beírtam.
Na, a havas élvezetek miatt lekéstem a szorzóról, de most azt mondom, nem bánom. Végre esett 6-7 centi hó...
Coonti ugye kedd, akkor Belgium, vs. Békéscsaba.
Legyél má aznap észlelő, és adjad az adatokat, mint az induló train-tran Várárhelyről, óra 40-kor.
Legyél má aznap észlelő, és adjad az adatokat, mint az induló train-tran Várárhelyről, óra 40-kor.
Hopp, elúszott az 1,2-es szorzó...
...fogják mondani ezt néhányan holnap ilyenkor, ha nem figyelnek!
...fogják mondani ezt néhányan holnap ilyenkor, ha nem figyelnek!
Gratulálok Zseegee-nek a győztes tippsorhoz! 
Ezt a nyertes tippsort én is leadtam, apró különbség, hogy csak 1,0-val.
Ezt a nyertes tippsort én is leadtam, apró különbség, hogy csak 1,0-val.
Gratula, zseegee,a győzelemhez!
A következő forduló,legyen Békéscsaba,január 25.(kedd)10óra,(9UTC).
A következő forduló,legyen Békéscsaba,január 25.(kedd)10óra,(9UTC).
1,2 mm lett a kézi.
A fordulót zseegee nyerte. Gratulálok neki és mindenkinek aki elégedett a teljesítményével!
Forduló: Link
Összetett: Link
A következő kiró vizipók lesz. Szeretnénk kérni egy helyszínt és egy időpontot.
Választható helyszínek:
Békéscsaba [12992]
Budapest-Újpest [metnet-es észlelő]
Csíkszereda (Miercurea Ciuc) [15170]
Debrecen [12882]
Kecskemét [12970]
Kékestető [12851]
Nagykanizsa [12925]
Pécs-Egyetem [38528]
Siófok [metnet-es észlelő]
Sopron-Kurucdomb [nincs kódja]
Meteorológiai állomások beosztása: Link
A fordulót zseegee nyerte. Gratulálok neki és mindenkinek aki elégedett a teljesítményével!
Forduló: Link
Összetett: Link
A következő kiró vizipók lesz. Szeretnénk kérni egy helyszínt és egy időpontot.
Választható helyszínek:
Békéscsaba [12992]
Budapest-Újpest [metnet-es észlelő]
Csíkszereda (Miercurea Ciuc) [15170]
Debrecen [12882]
Kecskemét [12970]
Kékestető [12851]
Nagykanizsa [12925]
Pécs-Egyetem [38528]
Siófok [metnet-es észlelő]
Sopron-Kurucdomb [nincs kódja]
Meteorológiai állomások beosztása: Link
Na igen, mikor leadtam az előrejelzést pár napja, igy gondolhattam a +1 fokot, csak kicsit korábbra a felhőt/szelet. Most akkor már menjünk fel rendesen
Megjött a szél is aztán elindult felfele a hőmérséklet. 21:21-kor állt be a minimum -2,9 fokkal most pedig már 1,3 fok van.
Hát szerintem az már nem fog összejönni. Érkezik a felhőzet is.
A kamerámat is lehet sasolni. Igaz csak egy része látszik az égboltból, de több mint a semmi. Link
A kamerámat is lehet sasolni. Igaz csak egy része látszik az égboltból, de több mint a semmi. Link
Ha már nem volt időm az 1.2-es óta ránézni és ilyen szépen lesüllyedtünk, nézzük meg már a -3,5°C-ot is, volt olyan tipp is
O.K, csak ezt látjuk, de intézd, hogy -2°C-nél lejjebb ne menjen má
Ez a hivatalos OMSZ automata, ez nem az enyém. A linken keresztüli pedig nem működik. Valami lehet a MetNet oldallal vagy nem tudom, de a telefonos applikációba jönnek be szépen az adatok.
Ez akkor mit mér?
Ez latható a linkeden, vagy valamit benéztem-elnéztem
Ez latható a linkeden, vagy valamit benéztem-elnéztem

Monnyuk megolajoznám azt a szélmérőt. Lehet akkora szél, hogy nem lesz ideje földet érni... de azért hajrá csapi.
Sima ügy lesz. 
Lehet is tippelni: Link
Szeretném felhívni a versenytársak figyelmét a korábbi kisebb félreértések elkerülése miatt, hogy: Továbbra sem a hivatalos OMSZ automata adatai lesznek figyelembe véve, hanem a sajátom. A hely belterületi adottságai miatt az állomás hajlamos nem egyszer szélcsendet produkálni. Nyitott a szélmérő minden felől, tehát nem befolyásolja semmilyen tárgy, csak szimplán ilyen a hely adottsága. Tehát nem igazán kell túllőni a szélsebességet sem, mert mérsékelt alapszélnél többet még nem sikerült vele bemérnem, ami valljuk be a tapasztalatok alapján teljesen elképzelhető itt. Azt hiszem nagyon sokat segítettem.
Az alábbi linken eléritek az automatám adatait, lehet nézegetni nyugodtan: Link
Sok sikert mindenkinek!
Lehet is tippelni: Link
Szeretném felhívni a versenytársak figyelmét a korábbi kisebb félreértések elkerülése miatt, hogy: Továbbra sem a hivatalos OMSZ automata adatai lesznek figyelembe véve, hanem a sajátom. A hely belterületi adottságai miatt az állomás hajlamos nem egyszer szélcsendet produkálni. Nyitott a szélmérő minden felől, tehát nem befolyásolja semmilyen tárgy, csak szimplán ilyen a hely adottsága. Tehát nem igazán kell túllőni a szélsebességet sem, mert mérsékelt alapszélnél többet még nem sikerült vele bemérnem, ami valljuk be a tapasztalatok alapján teljesen elképzelhető itt. Azt hiszem nagyon sokat segítettem.
Az alábbi linken eléritek az automatám adatait, lehet nézegetni nyugodtan: Link
Sok sikert mindenkinek!
Kár, hogy nem mertem bevállalni az 1 oktát, pedig 1,5 perccel az első tipp leadása után módosítottam 3 oktáról 2-re. Mondjuk az élénk szelet felnyomtam erősre, az kár volt, így végül nem nyertem semmit a módosítással.


