Információk az előrejelzési versenyhez
Versenyinformációk
A VERSENYSZABÁLYZATÚj előrejelzés elküldése az előrejelzési versenybe
A legutóbbi forduló eredménye
A verseny összesített állása
A 3 kieső fordulót nem tartalmazó összesített lista
A synop-kódok értelmezéséhez egy kis segítség
Szélirány-meghatározáshoz segítség
Stelvio segítségével megjelenített összesített ranglista
Stelvio segítségével megjelenített örökranglista
Stelvio segítségével megjelenített dicsőséglista
A meteorológiai állomások elhelyezkedése
A meteorológiai állomások beosztása
Most kihagytam. Közel van a Stadion, lehúzza az adatokat, meg a kisvasút felfűti , ha beindul a diesel kisvonat...
Ja, hogy eddig nem a megfelelő állomás adatait néztem. Kicsit későn derült ki
Pontosabban egy 11,7-es minimummal. Külterületen valóban 10-ig lement.
Link
Link
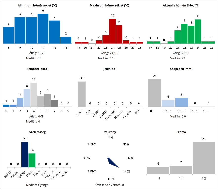
El is készült az összefoglaló.
Link
Elég simának tűnik így elsőre, bár azért az esti zivatarozásnál lehetnek meglepetések.
Elég simának tűnik így elsőre, bár azért az esti zivatarozásnál lehetnek meglepetések.

Még 50 perc van egy friss üde naposcsibét beszerezni a több napos grillcsirke helyett
Tyúkanyónak jó időpontot sikerült találnia 
Jaaa, az időpont nem is a tyúkanyótól van...
Jaaa, az időpont nem is a tyúkanyótól van...
A két link ua.
Gratulálok a győzteseknek, mikahock-nak különösen. Érdekes nicknév, tán' rokon?
Gratulálok a győzteseknek, mikahock-nak különösen. Érdekes nicknév, tán' rokon?
Mikachock, honza, deco05 trió nyerte a viharsarki fordulót. Gratulálok nekik!
Forduló: Link
Összetett: Link
A következő kiró zseegee lesz, így szeretnénk kérni egy helyszínt és egy időpontot.
Választható helyszínek:
Budapest-Újpest [metnet-es észlelő]
Csíkszereda (Miercurea Ciuc) [15170]
Debrecen [12882]
Felcsút [metnet-es észlelő]
Kassa (Kosice) [11968]
Kecskemét [12970]
Kékestető [12851]
Lomnici-csúcs (Lomnicky Stít) [11930]
Miskolc-Diósgyőr [12772]
Nagykanizsa [12925]
Siófok [metnet-es észlelő]
Szeged [12982]
Szolnok [12860]
Szombathely [12812]
Zágráb-Maksimir [14240]
Meteorológiai állomások beosztása: Link
Forduló: Link
Összetett: Link
A következő kiró zseegee lesz, így szeretnénk kérni egy helyszínt és egy időpontot.
Választható helyszínek:
Budapest-Újpest [metnet-es észlelő]
Csíkszereda (Miercurea Ciuc) [15170]
Debrecen [12882]
Felcsút [metnet-es észlelő]
Kassa (Kosice) [11968]
Kecskemét [12970]
Kékestető [12851]
Lomnici-csúcs (Lomnicky Stít) [11930]
Miskolc-Diósgyőr [12772]
Nagykanizsa [12925]
Siófok [metnet-es észlelő]
Szeged [12982]
Szolnok [12860]
Szombathely [12812]
Zágráb-Maksimir [14240]
Meteorológiai állomások beosztása: Link
30,3 fok lett a maximum.
Reméljük reggelig a záporok sem jutnak el az állomásig.
Reméljük reggelig a záporok sem jutnak el az állomásig.
Képződtek a gomolyok, oszt be is tett a további hevülésnek.
A tízperces méréseknél 30.2 fokot látok.
A tízperces méréseknél 30.2 fokot látok.
Az a dühítő, hogy csak egy hidegebb min volt a Tiszántúlon a 12 foknál, országszerte előfordultak még 16-17 fokok is , a maxinál a környéken simaliba volt a 31 fok, de még kerekített 32-t is láttam.
Eddig a 10 perceseken max kerekített 30-at látok. Vajh mennyi eddig a Tmax? 
Hajrá <= 30.5
Hajrá <= 30.5
Korán temetted a napot, legutóbbi észlelés már 29,8 fok volt. Sima ügynek tűnik jelenleg a 31 fokos Tmax.
Kis eséllyel a 32 is meglehet, bár a 31 fokra nagyobb esélyt látok.
Kár volt így összecsapnom a szorzó miatt. Biztosan valami délkeletet befűtő előrére hajaztam, aztán az ország egyik hidegpólusa lett. Még a 31 fok is kétséges amit maxnak adtam, a tízperces szerint csak 28 fok.
Most látom, hogy összekevertem a tippelésnél a minimum és a maximum értékeket. Ebből kiindulva most nem valószínű, hogy ismét összejön az első hely.
Hát jól lement a T.min: 12,4 ~ 12 fok. ( 5 órakor szélcsend és derült ég?)
Nyóc órakor:
T.akt: 21,2 ~ 21 fok,
Szél : 167 fok déli, és 12,2 km/ó -- gyenge.
Felhőről nincs adatom.
Link
Nyóc órakor:
T.akt: 21,2 ~ 21 fok,
Szél : 167 fok déli, és 12,2 km/ó -- gyenge.
Felhőről nincs adatom.
Link
Elkészült az összefoglaló.
Link
Az egyik tippben a Tmin és Tmax fel lett cserélve, az nem szerepel az adott diagramokon.
Az egyik tippben a Tmin és Tmax fel lett cserélve, az nem szerepel az adott diagramokon.

Köszi szépen mindenkinek.
Bár láttam, hogy viszonylag jól alakulnak a dolgok, azért azt nem gondoltam volna, hogy én leszek a forduló győztese. És valóban nem ez lesz a legmagasabb pontszámú forduló, az már most látszik.
Radarhead nyerte a bécsi fordulót. Gratulálok neki!
Forduló: Link
Összetett: Link
A következő kiíró Tullner_Job lesz, így szeretnénk kérni egy helyszínt és egy időpontot. Amennyiben beosztásos állomás választására kerülne sor június elején, akkor a beosztás készülőben van, így türelmet kérünk.
Választható helyszínek:
Békéscsaba [12992]
Budapest-Újpest [metnet-es észlelő]
Csíkszereda (Miercurea Ciuc) [15170]
Debrecen [12882]
Felcsút [metnet-es észlelő]
Kassa (Kosice) [11968]
Kecskemét [12970]
Kékestető [12851]
Lomnici-csúcs (Lomnicky Stít) [11930]
Miskolc-Diósgyőr [12772]
Nagykanizsa [12925]
Siófok [metnet-es észlelő]
Szeged [12982]
Szolnok [12860]
Szombathely [12812]
Zágráb-Maksimir [14240]
Beo a fejlécben!
Forduló: Link
Összetett: Link
A következő kiíró Tullner_Job lesz, így szeretnénk kérni egy helyszínt és egy időpontot. Amennyiben beosztásos állomás választására kerülne sor június elején, akkor a beosztás készülőben van, így türelmet kérünk.
Választható helyszínek:
Békéscsaba [12992]
Budapest-Újpest [metnet-es észlelő]
Csíkszereda (Miercurea Ciuc) [15170]
Debrecen [12882]
Felcsút [metnet-es észlelő]
Kassa (Kosice) [11968]
Kecskemét [12970]
Kékestető [12851]
Lomnici-csúcs (Lomnicky Stít) [11930]
Miskolc-Diósgyőr [12772]
Nagykanizsa [12925]
Siófok [metnet-es észlelő]
Szeged [12982]
Szolnok [12860]
Szombathely [12812]
Zágráb-Maksimir [14240]
Beo a fejlécben!
25,3°C volt a Tmax. Még 2 tized, és a 26 fokosok örülhettek volna.
Na, akkor jön az utolsó felvonás, a csapadék kérdés tisztázására. A front felhőzetét anno előbbre vártam kicsit, de nem mertem 0,1 - 1 mm-től többet adni 1,2-essel. Örülnék, ha kikerülnék az állomást az erősebb gócok, vagy ha nem, akkor már mindent bele és jöjjön a 10+ mm
Na, akkor jön az utolsó felvonás, a csapadék kérdés tisztázására. A front felhőzetét anno előbbre vártam kicsit, de nem mertem 0,1 - 1 mm-től többet adni 1,2-essel. Örülnék, ha kikerülnék az állomást az erősebb gócok, vagy ha nem, akkor már mindent bele és jöjjön a 10+ mm
Tmin 8,9°C
Tmax valósz. 25°C
Takt 24,7°C
Felh. 1 okta
Szél mérsékelt déli (4 m/s, 160°)
Jelenidő nincs
Csap ?
Tmax valósz. 25°C
Takt 24,7°C
Felh. 1 okta
Szél mérsékelt déli (4 m/s, 160°)
Jelenidő nincs
Csap ?
8.9°C lett a Tmin. Irány a 24.5°C az éjszakai zivatarok elött.
AZ ECMWF legfrisebb oper. futása 10 mm feletti mennyiséget húzott elö, míg a kontrol és az ensemble átlag 1 mm körüli....
AZ ECMWF legfrisebb oper. futása 10 mm feletti mennyiséget húzott elö, míg a kontrol és az ensemble átlag 1 mm körüli....
1,2 csapkodósom óta semmi időm nem volt még levegőt sem venni, így valszeg ez most kieső, mert a maradék 45 percem is utazással, szaggatott kapcsolattal fog telni, így csak bizakodom, hajrá mindenki!
Elég nehezen beszéltem rá magam az elküldésre, de 17:58:04-kor csak sikerült...
Szerintem én is leadok egy biztonsági "egynégyest", biztos, ami tuti...
