Információk az előrejelzési versenyhez
Versenyinformációk
A VERSENYSZABÁLYZATÚj előrejelzés elküldése az előrejelzési versenybe
A legutóbbi forduló eredménye
A verseny összesített állása
A 3 kieső fordulót nem tartalmazó összesített lista
A synop-kódok értelmezéséhez egy kis segítség
Szélirány-meghatározáshoz segítség
Stelvio segítségével megjelenített összesített ranglista
Stelvio segítségével megjelenített örökranglista
Stelvio segítségével megjelenített dicsőséglista
A meteorológiai állomások elhelyezkedése
A meteorológiai állomások beosztása
Hajnali észrevétel 
Bakonyvár első kiesője nem 7,2, hanem 0 (X), mert egy fordulót kihagyott. A összpontszáma jónak tűnik.
Bakonyvár első kiesője nem 7,2, hanem 0 (X), mert egy fordulót kihagyott. A összpontszáma jónak tűnik.
Jó nagy szart hoztam össze, pedig a helyszín adott volt részemről. 
Ránéztem a modellekre nagy volt a diffi az adott időpontra a GFS és az ECMWF között, tán a GFS nyert.
Ránéztem a modellekre nagy volt a diffi az adott időpontra a GFS és az ECMWF között, tán a GFS nyert.
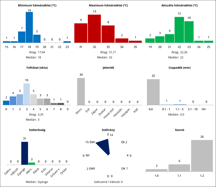
Gratulálok Honzának a győzelemhez ebben az igencsak furfangos fordulóban. Alapjában véve nem nézett ki túl bonyolultnak, de sok kis dologból végül valami olyan állt össze, amire így nem sokan számítottak. A felhőzet később csökkent kicsit a többség által vártnál, de a Tmin-t nem tartotta mégsem magasan, mert advektívan bejött a hűvösebb levegő talajközelben. Ez a Takt-ot is természetesen meghatározta. Hiába volt aztán sok napsütés napközben, a Tmax is alacsonyabban alakult mindenki által vártnál, még ha csak 2 tized kellett is volna a kerekített 31 fokhoz. A szél is senki által nem várt irányt hozott. Szegedről jobb emlékeim vannak pedig... 
A nyári kör első fele amilyen jól indult (2 db 20 pont feletti forduló), olyan gyengén zárult (2 db 10 pont alatti forduló) nekem. Most nagy levegő és újult erővel jöjjön a második félidő, érdekes fordulókkal és szép eredményekkel
A nyári kör első fele amilyen jól indult (2 db 20 pont feletti forduló), olyan gyengén zárult (2 db 10 pont alatti forduló) nekem. Most nagy levegő és újult erővel jöjjön a második félidő, érdekes fordulókkal és szép eredményekkel
Csináltam egy lehetséges változatot a kiesős listára a fenti linkre, remélhetőleg ez a jó
Összfelhőzet: 6 okta
Jelenidő: Nincs
T min: 16,4°C
T akt: 18,1°C
Szélsebesség: 3 m/s (gyenge)
Irány: 280° (nyugati)
Jelenidő: Nincs
T min: 16,4°C
T akt: 18,1°C
Szélsebesség: 3 m/s (gyenge)
Irány: 280° (nyugati)
Nincs tökéletes megoldás ilyen felcserélős esetekre, már régebben sem találtam rá minden szempontból jót 
A Tmax eloszlás annyira jobbra nyúlik, hogy azonnal feltűnt, hogy miért nem jobbra van a leggyakoribb 32 fokos értéktől az átlag
De a legszebb a felhőzet tippek eloszlása, remélem csak majdnem jó legyakoribb értékkel
A Tmax eloszlás annyira jobbra nyúlik, hogy azonnal feltűnt, hogy miért nem jobbra van a leggyakoribb 32 fokos értéktől az átlag
De a legszebb a felhőzet tippek eloszlása, remélem csak majdnem jó legyakoribb értékkel
Ja igen, az átlagba beleszámolódott az is.
Csak a diagramról szedtem le.
Lehet, inkább úgy kellett volna, hogy megcserélem manuálisan a két értéket és belerakom, még ha pontot nem is fog érni. Vagy fene tudja, mi lenne a jó ilyen helyzetben. 
Amúgy ha kihagyom az átlagból, akkor a Tmax 32,18 fokra, a Takt 21,97 fokra jön ki valóban.
Amúgy ha kihagyom az átlagból, akkor a Tmax 32,18 fokra, a Takt 21,97 fokra jön ki valóban.
A felcserélt Tmax - Takt a számolt átlagban viszont szerepel? Csak mert a diagram alapján a Tmax átlagának 32 és 33 között kellene lennie, de a felcserélt érték ezt 32 alá viheti, ami a diagram alatt szerepel is.
Elkészült az összefoglaló.
Link
Van egy felcserélt Takt és Tmax érték, az nem szerepel az adott diagramokon.
Van egy felcserélt Takt és Tmax érték, az nem szerepel az adott diagramokon.

Nekem van egy 6.6 pontos kieső fordulóm, az lemaradt, cseréljük el egy 9.6-ra
Sztem gyógyulgass, ne erőltesd a szemed, azt hiszem mindenki nevében mondhatom, várunk türelemmel
Sztem gyógyulgass, ne erőltesd a szemed, azt hiszem mindenki nevében mondhatom, várunk türelemmel
Csináltam a fenti linkre egy kiesős listát, kérem ellenőrizzétek, nem lepne meg, ha nagyon hibás lenne.
Pestimetnek gratulálok.
A csapadékkal szerencsém volt, de a T-kben és a felhőzetben az 1.0-s módosításom az Alpokból katasztrófa lett....
De egy kiesős lista még segíthet
A csapadékkal szerencsém volt, de a T-kben és a felhőzetben az 1.0-s módosításom az Alpokból katasztrófa lett....
De egy kiesős lista még segíthet
Igen-igen, ott csak 2 órát vettem figyelembe a világidőhöz képest és 3 van. Jogos, köszi!
Helyi idő szerint 8 óra irreleváns a versenyben, ugyanis az még 5 UTC.
6 UTC-kor már csak múlt időben esett, onnantól végig 0 mm-k jöttek.
6 UTC-kor már csak múlt időben esett, onnantól végig 0 mm-k jöttek.
Sziasztok,
lehet, hogy valamit benézek, de Csíkszeredán tegnap helyi idő szerint 08h-kor nem borult volt az ég és esett az eső és 12.9 volt a Takt?
lehet, hogy valamit benézek, de Csíkszeredán tegnap helyi idő szerint 08h-kor nem borult volt az ég és esett az eső és 12.9 volt a Takt?
Csapadék végül nem hullott, Pestimet nyerte a fordulót, gratulálok!
Forduló: Link
Összetett: Link
BKrisz a következő kiíró!
Választható helyszínek:
Budapest-Újpest [metnet-es észlelő]
Debrecen [12882]
Kecskemét [12970]
Kékestető [12851]
Miskolc-Diósgyőr [12772]
Nagykanizsa [12925]
Siófok [metnet-es észlelő]
Szeged [12982]
Szolnok [12860]
Szombathely [12812]
Zágráb-Maksimir [14240]
Meteorológiai állomások beosztása: Link
Forduló: Link
Összetett: Link
BKrisz a következő kiíró!
Választható helyszínek:
Budapest-Újpest [metnet-es észlelő]
Debrecen [12882]
Kecskemét [12970]
Kékestető [12851]
Miskolc-Diósgyőr [12772]
Nagykanizsa [12925]
Siófok [metnet-es észlelő]
Szeged [12982]
Szolnok [12860]
Szombathely [12812]
Zágráb-Maksimir [14240]
Meteorológiai állomások beosztása: Link
Ha minden igaz 19 fokos T akt volt, 7 oktával, gyenge ÉNY-i széllel.
20-21 fok körüli Tmax várható.
20-21 fok körüli Tmax várható.
Úúú,.. erről a fordulóról jól elfeledkeztem.
Vagyis kiírás után leadtam egy "egyhatost" de az kb olyan is...
Amúgy 12,8 lett a Tmin.
Amúgy 12,8 lett a Tmin.
Nem jött össze:
Feladva: 2022-07-04 14:00:02
13:57-kor jutott eszembe, metnet betöltve 13:58-ra, helyzet "átnézése" 1 perc, majd leadás épp kicsúszva a határidöböl.
Na, akkor csapó 2 holnap normálisabb módon
PS: Most látom, hogy az 1 perces átnézésben egy szombat 12 UTC-s modell futást sikerült betölteni
Feladva: 2022-07-04 14:00:02
13:57-kor jutott eszembe, metnet betöltve 13:58-ra, helyzet "átnézése" 1 perc, majd leadás épp kicsúszva a határidöböl.
Na, akkor csapó 2 holnap normálisabb módon
PS: Most látom, hogy az 1 perces átnézésben egy szombat 12 UTC-s modell futást sikerült betölteni
Köszönöm mindegyikőtöknek! Alakulok, állitolag 6 hét, mire végleges lesz, egyelőre a délelőttök életlenek kicsit.
En is gratulálok és előre köszi a kiesős listát. De mindenekelőtt jobbulást!
