Információk az előrejelzési versenyhez
Versenyinformációk
A VERSENYSZABÁLYZATÚj előrejelzés elküldése az előrejelzési versenybe
A legutóbbi forduló eredménye
A verseny összesített állása
A 3 kieső fordulót nem tartalmazó összesített lista
A synop-kódok értelmezéséhez egy kis segítség
Szélirány-meghatározáshoz segítség
Stelvio segítségével megjelenített összesített ranglista
Stelvio segítségével megjelenített örökranglista
Stelvio segítségével megjelenített dicsőséglista
A meteorológiai állomások elhelyezkedése
A meteorológiai állomások beosztása
Én viszont szándékosan adtam 14-et, szépen benéztem
Ennél azért erősebb kisugárzásra számítottam.
Tmin 16,4 fok.
Ennyit akartam adni, de a visszaigazolásban vettem észre, hogy 14-en maradt, idő már sajnos nem volt módosítani.
Ennyit akartam adni, de a visszaigazolásban vettem észre, hogy 14-en maradt, idő már sajnos nem volt módosítani.
17 foknak néz ki a Tmin a tízpercesek között.
Szerk.: ha az itteni automata állomást nézzük, ami elvileg OMSZ, ott pont beficcen egy 16,5 fokos érték is: Link
Szerk.: ha az itteni automata állomást nézzük, ami elvileg OMSZ, ott pont beficcen egy 16,5 fokos érték is: Link
Szélcsend inkább az éjszaka folyamán legyen, hogy össze tudjon jönni a legalább 14,5 fokos vagy alacsonyabb Tmin a mai 15,0 után, különben baj lesz
Fejemből vetted ki a gondolatot
Anno gondokodtam is egy olyan alternatív pontozáson érdekességből, ami figyelembe vette volna a mezőnyből való kilógását is a tippnek, mert azzal elvileg nagyobb teljesímény jó eredményt elérni, mint egy mezőny átlag körüli tippel nyerni. Megvalósítás még ebben az évtizedben
Anno gondokodtam is egy olyan alternatív pontozáson érdekességből, ami figyelembe vette volna a mezőnyből való kilógását is a tippnek, mert azzal elvileg nagyobb teljesímény jó eredményt elérni, mint egy mezőny átlag körüli tippel nyerni. Megvalósítás még ebben az évtizedben
Nincs mit.
Én mindig kíváncsi vagyok, hogy a mezőnyhöz képest mit sikerül leadnom (biztos más is az
), és így sokkal jobban látszik, hogy nagyjából hasonlóak-e a tippjeim, vagy kilógnak. Igaz, nagyot nyerni azokkal az értékekkel lehet, amik nem gyakoriak, csak hát azoknak be is kell jönniük.
Én mindig kíváncsi vagyok, hogy a mezőnyhöz képest mit sikerül leadnom (biztos más is az
Amúgy nagyon királyak ezek az összefoglalók, köszi az összesért!
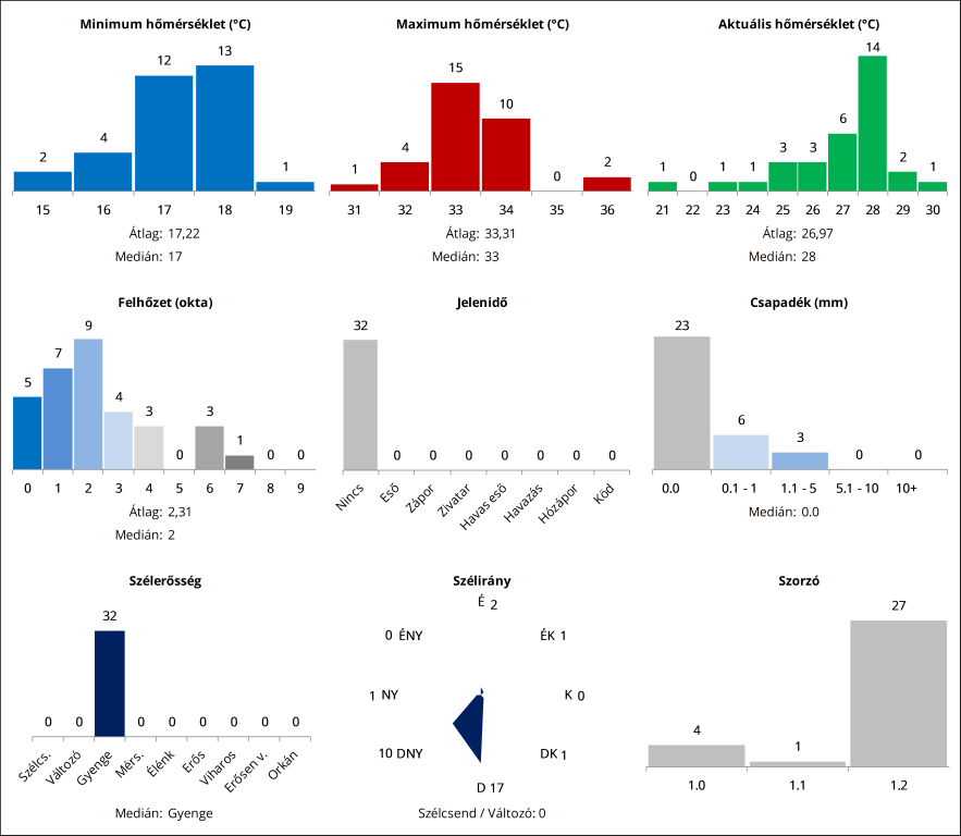
El is készült az összefoglaló.
Link
Ahogy nézem, ez a forduló a hőmérsékleteken meg a felhőzeten fog állni vagy bukni.
Ahogy nézem, ez a forduló a hőmérsékleteken meg a felhőzeten fog állni vagy bukni.

Egy utolsó pillanatos módosítással kivettem a szélcsendet, remélem, nem hiába...
Ha egyértelmü a Cumulus belőle, akkor igen. Ha csak füst látható, akkor azt szerintem nem kellene felhőzetnek venni.
Kérdés, mennyire egyértelmü ez a gyakorlatban....
Kérdés, mennyire egyértelmü ez a gyakorlatban....
Pont most augusztusban. Rarzoljon kicsit fejjebb az a hóolvasztó napocska.Mondjuk 2600 méterre. Na a mi kékestetőnk teljesit, ...ha a kormány is akarja. 

Nem tudom, de mostan kapott esőt Kékes? Ha igen, akkor pont szerdára várható egy sáskajárás, akár + 1 oktával besötétítve az eget.
Mosd ki a szennyest, sok a böngészö szemét, vagy ujjabban csak szellőztess..
Most nincs jelentősége, de lehetne, mert rendszerűködési hibára utal. Most, amikor benéztem az oldalra, leadta ugyanazt a tippet a gép - anélkül, hogy az előrejelzési oldalra beléptem volna -, amit tegnap leadtam. Nem tudom, hogy lehetséges, de elég gáz.
Köszönjük, lehet is tippelni: Link
Vasárnap 14 óráig él az 1,2-es szorzó!
Vasárnap 14 óráig él az 1,2-es szorzó!
Legyen a következő forduló augusztus 3-án, 14 órakor Kékestetőn! Köszönöm
Köszönöm szépen a gratulációkat és én is gratulálok Perico-nak és Misimókusnak a jó szerepléshez!
Erre a fordulóra most valahogy nagyon ráéreztem, hiszen mindhárom hőmérsékleti értékem telitalálat lett. Attól félek meglesz majd a böjtje.
Köszönjük szépen Mindenkinek! Én is gratulálok Periconak és radarheadnek, úgy látom hogy nekik is jól jött egy győzelem. Szépen előrébb léphettünk az összetettben.
Köszi szépen és én is gratulálok Misimókusnak és radarhead-nek!
Rám fért már egy emberséges forduló, mert az első félidőben elég sok gyenge fordulóm volt.
Gratulálok a hármasnak.
Nem sokon múlt akár az 5-10 mm reggel 7-ig. Helyette még 0,1 sem
Nem sokon múlt akár az 5-10 mm reggel 7-ig. Helyette még 0,1 sem
Csapadék végül nem hullott, így hármas holtverseny alakult ki az élen, Misimókus, Perico, radarhead a győztesek, gratulálok!
Forduló: Link
Összetett: Link
Szabóka a következő kiíró!
Választható helyszínek:
Budapest-Újpest [metnet-es észlelő]
Debrecen [12882]
Kecskemét [12970]
Kékestető [12851]
Miskolc-Diósgyőr [12772]
Nagykanizsa [12925]
Siófok [metnet-es észlelő]
Szolnok [12860]
Zágráb-Maksimir [14240]
Meteorológiai állomások beosztása a fenti linken várható napokon belül, addig a többi helyszínből lehet választani
Forduló: Link
Összetett: Link
Szabóka a következő kiíró!
Választható helyszínek:
Budapest-Újpest [metnet-es észlelő]
Debrecen [12882]
Kecskemét [12970]
Kékestető [12851]
Miskolc-Diósgyőr [12772]
Nagykanizsa [12925]
Siófok [metnet-es észlelő]
Szolnok [12860]
Zágráb-Maksimir [14240]
Meteorológiai állomások beosztása a fenti linken várható napokon belül, addig a többi helyszínből lehet választani
Felhőzet 3 okta (METÉSZ)
Egy kicsit későb kezdett az állomás térsége fölé helyeződni a nyugati zivatarrendszer üllője, mint ahogy reméltem.
Egy kicsit későb kezdett az állomás térsége fölé helyeződni a nyugati zivatarrendszer üllője, mint ahogy reméltem.
202207251900 AAXX 25191 12812 46/// /1602 10273 20150 39870 40099 57006 555 10047=Takt: 27,3C
gyenge D-i szél
gyenge D-i szél
##############################################################################/kislexikon/#############################################################################
202207251800 AAXX 25181 12812 15/// /1503 10295 20145 39870 40097 57011 60002
333 10337==
Tmax: 33,7C
202207251800 AAXX 25181 12812 15/// /1503 10295 20145 39870 40097 57011 60002
333 10337==
Tmax: 33,7C
Azért Szombathely nyitottabb a szelek szárnyán, mint Nagykanizsa . A selyemsújtásos hf. előtt meg a seide-seoda (körbenyíl) a jellemző. Talán azért a délies péklapát a nyerő. A T.akt. a felhők miatt gyorsabban esik, olyan 25 felé várom. A csapit meg éccaka-hajnaltájt, kakasszóra. Irgum-burgen -land felől.. 
Mzs: ott hagyod azt a szép erdős Gotthardot? Gyere Szegedre megsülni...
Mzs: ott hagyod azt a szép erdős Gotthardot? Gyere Szegedre megsülni...
Elkészült az összefoglaló.
Link
Elég sima fordulónak tűnik, bár sokszor ilyenkor tudnak lenni a legnagyobb meglepetések.

Elég sima fordulónak tűnik, bár sokszor ilyenkor tudnak lenni a legnagyobb meglepetések.

Meddig is lehet leadni? 21 óra..akkor majd előtte. Ez a dunántúl nekem mindig rázós.. Mzs. szedd össze magad, adj egy nyerő sort.
Hajnali észrevétel 
Bakonyvár első kiesője nem 7,2, hanem 0 (X), mert egy fordulót kihagyott. A összpontszáma jónak tűnik.
Bakonyvár első kiesője nem 7,2, hanem 0 (X), mert egy fordulót kihagyott. A összpontszáma jónak tűnik.