Információk az előrejelzési versenyhez
Versenyinformációk
A VERSENYSZABÁLYZATÚj előrejelzés elküldése az előrejelzési versenybe
A legutóbbi forduló eredménye
A verseny összesített állása
A 3 kieső fordulót nem tartalmazó összesített lista
A synop-kódok értelmezéséhez egy kis segítség
Szélirány-meghatározáshoz segítség
Stelvio segítségével megjelenített összesített ranglista
Stelvio segítségével megjelenített örökranglista
Stelvio segítségével megjelenített dicsőséglista
A meteorológiai állomások elhelyezkedése
A meteorológiai állomások beosztása
Óra 50-kor és egészkor is gyenge északi szél volt, de ha jól rémlik katonai reptérként az óra 45-ös adatokat vesszük alapul?
Az adatok jók, felkerült az ogimetre is.
A minimum-hőmérséklet 17,5°C lett.
A minimum-hőmérséklet 17,5°C lett.
Gondoltam, írok egy hőzöngő hsz.-t, de jobban belegondolva, igazi kuriózum, amikor az időjárás ilyen alaposan megszívatja a népet
Kegyetlen nagy cumó
Az ogimet szokás szerint szarakodik, de amit tudunk a meteomanz-ról, aztán ha beesik az ogimetre a távirat megnézzük jobban a dolgokat.
Összfelhőzet: 8 okta
Jelenidő: Nincs
T akt: 18,2°C
Szélcsend.
Összfelhőzet: 8 okta
Jelenidő: Nincs
T akt: 18,2°C
Szélcsend.
A Tmin-Takt párossal nem igen lesz senkinek sem gondja, úgy látom, 18 fok alatt nem volt eddig a 10 percesekben.
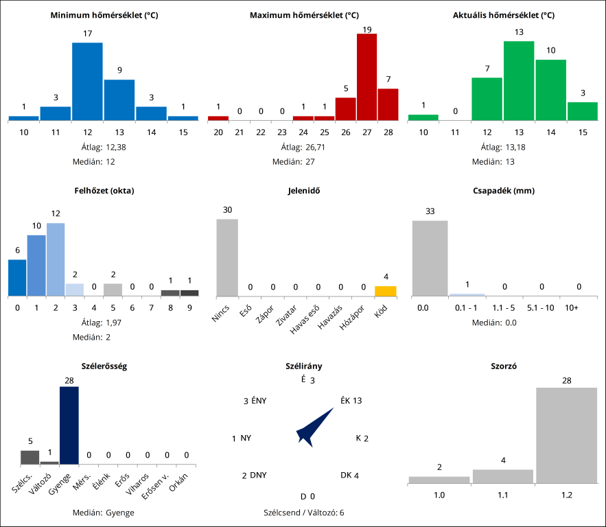
Elkészült az összefoglaló.
Link
23 (21Z) órakor 19,9 fok és borult égbolt volt az észlelés.
Már nincs is olyan sok idő arra, hogy lehűljön, és feloszoljon a felhőzet. 
23 (21Z) órakor 19,9 fok és borult égbolt volt az észlelés.

Nagy megelégedéssel leadtam fél 5ig, majd 1,1-est látok a visszajelzésben. Jaaa, mert ahol épp vagyok, ott 1 oraval kevesebb van, igy nem az itteni fél 5 a nyerő.
Heti szerencsétlenkedés pipa
Heti szerencsétlenkedés pipa
Leadva, tipikus kecskeméti helyszín, illat-tipp: fűszag. ( persze lesznek még; esőszag, hószag, főld szag, zápor szag, netán amperszag, tegyük be 8. tippnek.
) És a ködnek is van valami átható illata...
Holnap reggel ötig egykettes, aki nem akar korán kelni, azt most lépjen egy nyerő egykettes ügyében
Azért az egész magyarországi észlelést beírhatnád, nincs abban semmi bubus,tüzijáték ellenes lefejező helyszín..
Például Szeged szeptember hóban , mikor van észlelés? Csak mer repülőnap is lesz 9-10-11. és ócsó ingyé jegyet váltanák a met állomás kifutó pályáján.


Ja milyen idő is lesz péntek-vasárnap Szegeden?
Normál jegyes IC. vonatok jönnek mennek óránként.
Például Szeged szeptember hóban , mikor van észlelés? Csak mer repülőnap is lesz 9-10-11. és ócsó ingyé jegyet váltanák a met állomás kifutó pályáján.
Ja milyen idő is lesz péntek-vasárnap Szegeden?
Normál jegyes IC. vonatok jönnek mennek óránként.
Az időjárás az unalmas majd 3 hónapja. 
A talán a Nagy Alföld Két szikkadt városa meghozza a Mannát; Kecskemét és Szolnok beteríthetné a punnyadt jelenidőt.
A talán a Nagy Alföld Két szikkadt városa meghozza a Mannát; Kecskemét és Szolnok beteríthetné a punnyadt jelenidőt.
Pontoztam, a fordulót Hidegcsepp95 és Pestimet nyerte holtversenyben, gratulálok! Kezd kicsit unalmassá válni 
Forduló: Link
Összetett: Link
Goldman a következő kiíró!
Választható helyszínek:
Budapest-Újpest [metnet-es észlelő]
Debrecen [12882]
Kecskemét [12970]
Siófok [metnet-es észlelő]
Szolnok [12860]
Meteorológiai állomások beosztása hamarosan.
Forduló: Link
Összetett: Link
Goldman a következő kiíró!
Választható helyszínek:
Budapest-Újpest [metnet-es észlelő]
Debrecen [12882]
Kecskemét [12970]
Siófok [metnet-es észlelő]
Szolnok [12860]
Meteorológiai állomások beosztása hamarosan.
Zivatarnak nyoma sincs, így a felhőzet is kevés (4 okta), a hőmérséklet viszont magas, 31,2°C.
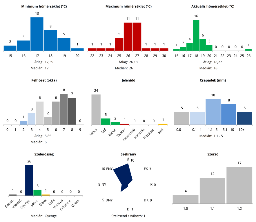
21,4°C-kal "fordultunk" éjfélkor. Szépen mutatnak a zivatar előrejelzések az összefoglaló diagrammon
Elkészült az összefoglaló.
Link
Ez a forduló, ahogy nézem, a csapadékon és az esetleges jelenidőn állhat vagy bukhat.
Ez a forduló, ahogy nézem, a csapadékon és az esetleges jelenidőn állhat vagy bukhat.

Nem dumálta le.
Úgy látom, hogy a hét második fele kissé nyugisabb lesz. Lazítsunk akkor egyet Diósgyőrött és nézzük meg, hogy vasárnap (08.28.) - ezen belül is kiemelten 14 órakor- milyen idő lesz arrafelé.
Gratulálok Hidegcsepp95-nek, no és a dobogó jól kinéző többi részének is.
Úgy látom, hogy a hét második fele kissé nyugisabb lesz. Lazítsunk akkor egyet Diósgyőrött és nézzük meg, hogy vasárnap (08.28.) - ezen belül is kiemelten 14 órakor- milyen idő lesz arrafelé.
Gratulálok Hidegcsepp95-nek, no és a dobogó jól kinéző többi részének is.
Sorry! Az előző forduló tippjét láttam mostaninak. Nagyon siettem. A 12 pont jön be és -4.8 pont. Fogom pár nap múlva korrigálni, most nem tudom.
szerk. velem lesz holtversenyben?
szerk. velem lesz holtversenyben?
Annyira nem panaszkodom, 18-ból 12, ja de 
Aki meg merte tartani a tippjét gratulálok, rám ez nem igaz
Aki meg merte tartani a tippjét gratulálok, rám ez nem igaz
Gratulálok! Bejött a stratégiád.
Hófúvás: ha jól látom Misimókus kihagyta a fordulót, de maradtak a kiesöi, s az átlagpontszámával nött az összpontszáma nálad.
Hófúvás: ha jól látom Misimókus kihagyta a fordulót, de maradtak a kiesöi, s az átlagpontszámával nött az összpontszáma nálad.
Köszönöm.
Nem gondoltam volna, hogy ilyen jól fog elsülni nekem ez a forduló.
Már majdnem a módosításon voltam, de aztán úgy voltam vele, hátha bejön, és akkor nagyot kaszálok a szorzóval, vagy ha nem, akkor meg megy a levesbe a kiesők közé.
Egy igen gyors kiesőst csináltam. Ha hiba van benne, csak a hétvége felé tudom javítani, sorry.
Hidegcsepp95 nyerte a fordulót, gratulálok! A további dobogó is jól néz ki
Forduló: Link
Összetett: Link
Télember a következő kiíró! Vajon ledumálja-e magával a következő forduló siófoki időpontját?
Választható helyszínek:
Budapest-Újpest [metnet-es észlelő]
Debrecen [12882]
Kecskemét [12970]
Miskolc-Diósgyőr [12772]
Siófok [metnet-es észlelő]
Szolnok [12860]
Meteorológiai állomások beosztása: Link
Forduló: Link
Összetett: Link
Télember a következő kiíró! Vajon ledumálja-e magával a következő forduló siófoki időpontját?
Választható helyszínek:
Budapest-Újpest [metnet-es észlelő]
Debrecen [12882]
Kecskemét [12970]
Miskolc-Diósgyőr [12772]
Siófok [metnet-es észlelő]
Szolnok [12860]
Meteorológiai állomások beosztása: Link
Sikerült egy 22 pontos 1,1-esböl egy 12 pontos 1,0-st csinálnom. Rendkívül jó üzlet volt
Igen, a 17 UTC-s synopban már ott a jelenidő, a leggyengébb eső kóddal. A 10+ mm összegyűjtése elkezdődött
Sok múlhat egy jó döntésen, hogy meg tudtad állni, hogy változtass.
Én meg a futások tendenciájára még lapot húztam.....
Próbálom legalább hajnalra intézni a 10+ mm-t, de nincs aki kiszállítsa........
Én meg a futások tendenciájára még lapot húztam.....
Próbálom legalább hajnalra intézni a 10+ mm-t, de nincs aki kiszállítsa........
Kissé megkésve, de elkészült az összefoglaló.
Link
Hála az égnek, hogy nem módosítottam, pedig erősen gondolkoztam rajta a frissebb futások alapján, de aztán arra jutottam, nem kockáztatok ilyen bizonytalan helyzetben. A hőmérséklet is szépen kilőtt, 13 órakor (11Z) már 26,8 fok volt a meteomanz szerint. Csapadék pedig kérdéses, hogy lesz-e egyáltalán holnap reggelig bezárólag, és ha igen, akkor mennyi.
Hála az égnek, hogy nem módosítottam, pedig erősen gondolkoztam rajta a frissebb futások alapján, de aztán arra jutottam, nem kockáztatok ilyen bizonytalan helyzetben. A hőmérséklet is szépen kilőtt, 13 órakor (11Z) már 26,8 fok volt a meteomanz szerint. Csapadék pedig kérdéses, hogy lesz-e egyáltalán holnap reggelig bezárólag, és ha igen, akkor mennyi.
