Információk az előrejelzési versenyhez
Versenyinformációk
A VERSENYSZABÁLYZATÚj előrejelzés elküldése az előrejelzési versenybe
A legutóbbi forduló eredménye
A verseny összesített állása
A 3 kieső fordulót nem tartalmazó összesített lista
A synop-kódok értelmezéséhez egy kis segítség
Szélirány-meghatározáshoz segítség
Stelvio segítségével megjelenített összesített ranglista
Stelvio segítségével megjelenített örökranglista
Stelvio segítségével megjelenített dicsőséglista
A meteorológiai állomások elhelyezkedése
A meteorológiai állomások beosztása
Jajjjj, milyen fordulót találtam ki 
Nem mertem az 1,2-es esőmet 1.0-s ködre módositani, mert a szitálás réme jelent meg előttem, ami esőnek számitana....
Zivipötty pedig az egyetlen ködével felcserélte a Tmax-ot és a Takt-ot
Legalább csapadék essen rendesen holnap reggelig, ha már ma reggel nagyon nem akart...
Nem mertem az 1,2-es esőmet 1.0-s ködre módositani, mert a szitálás réme jelent meg előttem, ami esőnek számitana....
Zivipötty pedig az egyetlen ködével felcserélte a Tmax-ot és a Takt-ot
Legalább csapadék essen rendesen holnap reggelig, ha már ma reggel nagyon nem akart...
Ja csak olyan Benny Hill féle szinpadi elképzelés...
Versenyre fel, én egy kis gyertyaslussz miatt, ( reggel hajnali 7 óra) később áltam kia az időmérő pályára.
Mondom megéri a 95/E5-ös benzin. Kipucolja az égésteret, néha kormot vet a gyertyára mint fentebb...
Versenyre fel, én egy kis gyertyaslussz miatt, ( reggel hajnali 7 óra) később áltam kia az időmérő pályára.
Mondom megéri a 95/E5-ös benzin. Kipucolja az égésteret, néha kormot vet a gyertyára mint fentebb...
Namost ennek örülök, hogy dobogó közelében se vagyok...
útálom a jeges vizet...
Báttya ne bántsad a tehetséges jóravaló fórumtársakat ilyen 5-letekkel
útálom a jeges vizet...
Báttya ne bántsad a tehetséges jóravaló fórumtársakat ilyen 5-letekkel
Vagy kisszék helyett épitsetek pár méteres-- egy vizszint közeli mólót,-- a hártyás-vékony jég alá.
Vagy hányan rajtolnak a box-utcából... 
Már Télember vixöli a koronát!
Apropó; a téli körben a győztest koronázzuk meg a Balaton jegén OV.helyett. Előfordulhat még Március végén...extrém fagyos február- március. Már minden lassan eltolódik.
Már Télember vixöli a koronát!
Apropó; a téli körben a győztest koronázzuk meg a Balaton jegén OV.helyett. Előfordulhat még Március végén...extrém fagyos február- március. Már minden lassan eltolódik.
Holnap reggel hétig egykettes, gondoltam szólok időben, kíváncsi leszek hányan maradnak le róla
Vannak már menőbb fémtisztítók is, nem csak a Sidol. Mondjuk az autós LÓTUS termékcsalád polírozó pasztái. 
Na már megint a 3. dobókockára állhatok fel, jól alakul
( lehet hogy jól döntöttem, a silány 480-as kukorica benzin helyett a drágább 710 ft-os 98-evót tankoltam. Nem kérték a forgalmit. Máskor is a jobb minőséget tankolom, mert lassan jön a másfél-kéthónapos fagyos szentek, amikor nem zúg majd az autó motor, és nem válik ketté a benzin.) Kis nyugdíjas aduja, persze 65 éven felülieknek, szabadjegy a villanyoson,buszon.
Na már megint a 3. dobókockára állhatok fel, jól alakul
( lehet hogy jól döntöttem, a silány 480-as kukorica benzin helyett a drágább 710 ft-os 98-evót tankoltam. Nem kérték a forgalmit. Máskor is a jobb minőséget tankolom, mert lassan jön a másfél-kéthónapos fagyos szentek, amikor nem zúg majd az autó motor, és nem válik ketté a benzin.) Kis nyugdíjas aduja, persze 65 éven felülieknek, szabadjegy a villanyoson,buszon.
Nekem úgy tünt, hogy a 45-ös megy fel észlelövel (ekkor okta is), majd a 00-s automataként (ekkor okta, jelenidö nélkül).
Az átlagszél is lement 2 m/s-rol 1 m/s-ra most, mikor eltünt az okta. Viszont a T meg tizedre annyi maradt, amire van esély, de nem sok
Szóval lehet nem teljesen így van...
A következö forduló akkor legyen Debrecenben, szept.27-én kedden, 05UTC-kor.
Az átlagszél is lement 2 m/s-rol 1 m/s-ra most, mikor eltünt az okta. Viszont a T meg tizedre annyi maradt, amire van esély, de nem sok
A következö forduló akkor legyen Debrecenben, szept.27-én kedden, 05UTC-kor.
Katonai állomásokról már az óra 45-ös érték megy fel a synopba vagy mindegy is, mert ami a synop táviratban szerepel, azt vesszük alapul a pontozásnál? A felhőzetet honnan tudhatjuk meg utólag, ha rövid időn belül eltűnik?
Régebbről úgy rémlik, hogy a katonai állomások esetén mindig volt valamennyi eltérés a synophoz képest, nem tudom, hogy azóta ebben történt-e változás.
Régebbről úgy rémlik, hogy a katonai állomások esetén mindig volt valamennyi eltérés a synophoz képest, nem tudom, hogy azóta ebben történt-e változás.
Nagyon gyorsan csináltam egy kiesőst, ha hiba lenne, este tudom javítani.
A fordulót lepontoztam, amit levcsenko nyert!
Forduló: Link
Összetett: Link
met4ever a következő kiíró, így szeretnénk kérni egy helyszínt és egy időpontot.
Választható helyszínek:
Debrecen
Siófok
Meteorológiai állomások beosztása: Link
Ha annyira ragaszkodunk, hogy Siófok utoljára maradjon, akkor Debrecenbe nyugodtan bármelyik napon választható 5 UTC, mert azt általában a helyszínről végzik a megfigyelést a csapadékmérés miatt. Mert határidőn belül Debrecenben nem lesz 24 órás megfigyelés, ami választható lenne.
Forduló: Link
Összetett: Link
met4ever a következő kiíró, így szeretnénk kérni egy helyszínt és egy időpontot.
Választható helyszínek:
Debrecen
Siófok
Meteorológiai állomások beosztása: Link
Ha annyira ragaszkodunk, hogy Siófok utoljára maradjon, akkor Debrecenbe nyugodtan bármelyik napon választható 5 UTC, mert azt általában a helyszínről végzik a megfigyelést a csapadékmérés miatt. Mert határidőn belül Debrecenben nem lesz 24 órás megfigyelés, ami választható lenne.
Kérdés, hogy a 19:45-ös adatok mit mutatnak, vagy a synopba már azok mennek ki? A felhőzetet sajnálom, műhold alapján többnek gondoltam.
Takt 10,0
Tmin 9,7
Tmax 15,7
Szél gyenge (2 m/s) délnyugati (240°)
Felh 2 okta
Szign nincs
Csap 0.3 mm eddig
Szerk: az elöbb még 2 okta szerepelt az ogimet-es synopban, ill. 2m/s, majd frissült és 1 m/s lett, a 2 okta pedig titkosodott
Tmin 9,7
Tmax 15,7
Szél gyenge (2 m/s) délnyugati (240°)
Felh 2 okta
Szign nincs
Csap 0.3 mm eddig
Szerk: az elöbb még 2 okta szerepelt az ogimet-es synopban, ill. 2m/s, majd frissült és 1 m/s lett, a 2 okta pedig titkosodott
Ha a met.hu-s csap.térképen a reptér adata szerepel, akkor 11:20-ig már 0,2 mm esett kemény 11 fokban.
Elkészült az összefoglaló.
Link
Egész egységesek a tippek ahhoz képest, hogy nem tűnik a legsimábbnak ez a hétfői nap.
Még az sem kizárt, hogy sikerült kiírnom magamnak egy kiesős fordulót. 
Egész egységesek a tippek ahhoz képest, hogy nem tűnik a legsimábbnak ez a hétfői nap.

Köszönjük, lehet is tippelni: Link
1.2-es szorzó péntek 20 óráig!
1.2-es szorzó péntek 20 óráig!
A tegnapi erősen fölhős égbolt után a hideg lehellet derült hajnalra behozta a 10 fok alatti fokot. A T max meg megint tele van autó gázzal, ami melegebb ugye.De azért jó forduló, kevés felhö mellett. 
Namajd hétközepe után
nagyon kell megint az eső!
Namajd hétközepe után
Összfelhőzet: 3 okta.
Jelenidő: Nincs.
T min: 8,6°C.
T akt: 23,9 °C.
Szélsebesség: 1,3 m/s (gyenge).
Irány: 264° (nyugati).
A Tmax. valószínűleg már beállt 24,5 °C-kal, de majd este megírom mennyi lett véglegesen.
Jelenidő: Nincs.
T min: 8,6°C.
T akt: 23,9 °C.
Szélsebesség: 1,3 m/s (gyenge).
Irány: 264° (nyugati).
A Tmax. valószínűleg már beállt 24,5 °C-kal, de majd este megírom mennyi lett véglegesen.
Elkészült az összefoglaló.
Link
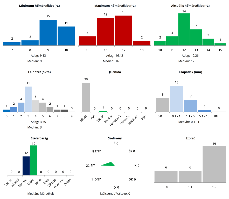
Van egy 0 fokos, gondolom üresen felejtett Takt érték, az nem szerepel az adott diagramon és annak átlagában.
Van egy 0 fokos, gondolom üresen felejtett Takt érték, az nem szerepel az adott diagramon és annak átlagában.

Köszi, már jobb. Amúgy most hétvége a repülőnapoké Szegeden. Nagyon jó lenne egy hétvégi időjárás erőre- jelentés, most, pont Szegedre, nem Pestre. Ki vállalja be, (kirugásmentesen)?
Na eléggé labilis a hétvége itt, de esetleg a reptér melletti bekötőút - Met- állomás - talán még szabad.A reptéren ( napijegy 3900+autóparkir egy napra 1000 magyar forint.)
Péntek 15 órátől -vasárnap estefeléig.
De ott a prérin talán ingyenes. Persze ha jönnek a zivik, akkor törölve az egész, esetleg Met. állomás látogatása nappal- estefelé," Met állomások éjszakája"
Na eléggé labilis a hétvége itt, de esetleg a reptér melletti bekötőút - Met- állomás - talán még szabad.A reptéren ( napijegy 3900+autóparkir egy napra 1000 magyar forint.)
De ott a prérin talán ingyenes. Persze ha jönnek a zivik, akkor törölve az egész, esetleg Met. állomás látogatása nappal- estefelé," Met állomások éjszakája"
Ajjaj, igazságod vagyon! A táblázatom képlete elromlott, hogy hogyan, az rejtély. Javítva. Jövök neked egy sörrel, vagy fröccsel, ha Szögedön összefutunk eccer.
A fordulót lepontoztam, amit jocika8627, radarhead duó nyert. Gratulálok nekik! 
Forduló: Link
Összetett: Link
Vizipók a következő kiíró, így szeretnénk kérni egy helyszínt és egy időpontot.
Választható helyszínek:
Budapest-Újpest [metnet-es észlelő]
Debrecen [12882]
Siófok [metnet-es észlelő]
Szolnok [12860]
Meteorológiai állomások beosztása: Link
Forduló: Link
Összetett: Link
Vizipók a következő kiíró, így szeretnénk kérni egy helyszínt és egy időpontot.
Választható helyszínek:
Budapest-Újpest [metnet-es észlelő]
Debrecen [12882]
Siófok [metnet-es észlelő]
Szolnok [12860]
Meteorológiai állomások beosztása: Link
