Információk az előrejelzési versenyhez
Versenyinformációk
A VERSENYSZABÁLYZATÚj előrejelzés elküldése az előrejelzési versenybe
A legutóbbi forduló eredménye
A verseny összesített állása
A 3 kieső fordulót nem tartalmazó összesített lista
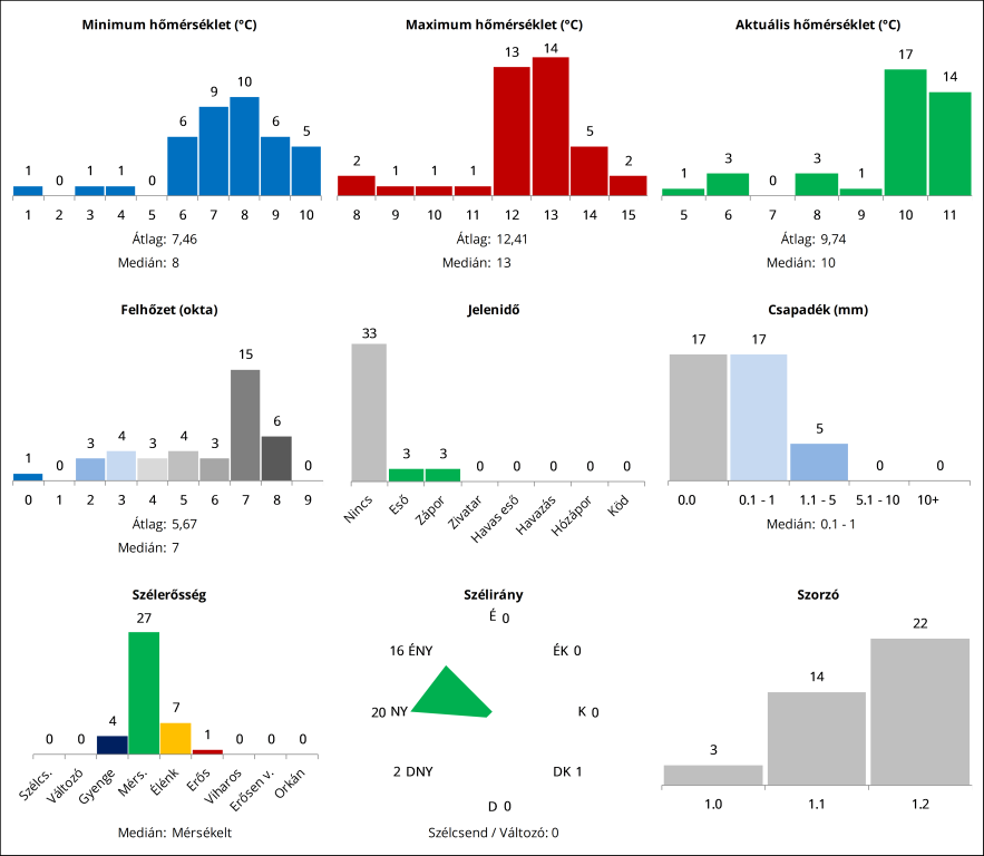
A synop-kódok értelmezéséhez egy kis segítség
Szélirány-meghatározáshoz segítség
Stelvio segítségével megjelenített összesített ranglista
Stelvio segítségével megjelenített örökranglista
Stelvio segítségével megjelenített dicsőséglista
A meteorológiai állomások elhelyezkedése
A meteorológiai állomások beosztása
Ja, hogy 10-ig...
Feladva: 2023-01-12 10:00:04
Teljesen véletlenszerüen kitöltve, 0 átnézéssel sem fértem bele az 1,2-be, ez már valami
Feladva: 2023-01-12 10:00:04
Teljesen véletlenszerüen kitöltve, 0 átnézéssel sem fértem bele az 1,2-be, ez már valami
Last minute lett...
Illetve úgy 6-7 perce villant be, hogy határidő van, szóval kicsit kapkodós lett a tipp, majd meglátjuk, mire lesz jó!
Illetve úgy 6-7 perce villant be, hogy határidő van, szóval kicsit kapkodós lett a tipp, majd meglátjuk, mire lesz jó!
Na akkor hajrá, még bő két és fél óra van az egykettesből, még nem késő leadni a nyerő tippet
Zivipötty pedig nem jelezte felénk, hogy vállalja a versenyben az észlelést Ferihegyről, így más ember után kellett néznünk. Egyeztetek vele, hogy akkor mizu.
Zivipöttyel egyeztettem, hh mégse jó az időpont?
Ha ezek ellenére nem választható a reptér, akkor legyen Sopron 2023. január 14. 10 UTC.
Ha ezek ellenére nem választható a reptér, akkor legyen Sopron 2023. január 14. 10 UTC.
Nem választható az időpont. Nem lesz benn észlelő, akivel a kapcsolatot fel tudjuk venni...
Gratulálok Herbary-nak a gyözelemhez.
A Tmin témához: a ZAMG-os T-görbe alapján 18UTC környékén folyamatosan emelkedett a T. Igy ha az épp 18 UTC-s 7.5 fokos értéket nem számitották bele a minimumba, az azt követö mérésen már ennél magasabb T lehetett (7.6°C), s innen kezdték a minimum számitást. A korábban megjelenö, majd felülirt 7.3-es érték pedig közvetlenül 18 UTC elöttröl származhatott (17:40 - 17:50 UTC környéke), s elsö körben ez került be a synop táviratba, majd iródott kesöbb felül a 18 UTC utántól kezdödö periodus magasabb értékével. Ugy tünik, Ausztriában is vannak kavarok....
A Tmin témához: a ZAMG-os T-görbe alapján 18UTC környékén folyamatosan emelkedett a T. Igy ha az épp 18 UTC-s 7.5 fokos értéket nem számitották bele a minimumba, az azt követö mérésen már ennél magasabb T lehetett (7.6°C), s innen kezdték a minimum számitást. A korábban megjelenö, majd felülirt 7.3-es érték pedig közvetlenül 18 UTC elöttröl származhatott (17:40 - 17:50 UTC környéke), s elsö körben ez került be a synop táviratba, majd iródott kesöbb felül a 18 UTC utántól kezdödö periodus magasabb értékével. Ugy tünik, Ausztriában is vannak kavarok....
Herbary nyerte a fordulót. Gratulálok neki!
Forduló: Link
Összetett: Link
MacBook a következő kiíró, így szeretnénk kérni egy helyszínt és egy időpontot.
Választható helyszínek:
Békéscsaba [12992]
Budapest Liszt Ferenc nemzetközi repülőtér [lhbp]
Budapest-Újpest [metnet-es észlelő]
Debrecen [12882]
Felcsút [metnet-es észlelő]
Kecskemét [12970]
Lomnici-csúcs (Lomnicky Stít) [11930]
Paks [12950]
Siófok [metnet-es észlelő]
Sopron-Kurucdomb [13704]
Szeged [12982]
Szolnok [12860]
Meteorológiai állomások beosztása: Link
Forduló: Link
Összetett: Link
MacBook a következő kiíró, így szeretnénk kérni egy helyszínt és egy időpontot.
Választható helyszínek:
Békéscsaba [12992]
Budapest Liszt Ferenc nemzetközi repülőtér [lhbp]
Budapest-Újpest [metnet-es észlelő]
Debrecen [12882]
Felcsút [metnet-es észlelő]
Kecskemét [12970]
Lomnici-csúcs (Lomnicky Stít) [11930]
Paks [12950]
Siófok [metnet-es észlelő]
Sopron-Kurucdomb [13704]
Szeged [12982]
Szolnok [12860]
Meteorológiai állomások beosztása: Link
Most miért kell dekázni , 5,2 vagy 5 mm. Annyi mint 1,1-5 az 5 höz áll közelebb, igy is csak1 pont. Hanem olvasom a zmagon tegnapi aktuel hohe wartén 30-35 km/ óra szél. Ez hova illik a m/sec tabellában? Bővitsük már a rendszabályt km/ órával, ez jobban passzol mint a Megajuile/m3./ pengő./forint.
Link
Link
Na, tessék! Véletlenül elfelejtettem kitölteni a felhőfedettséget, és milyen jól jöttem ki belőle
Beszélünk mi itt 5-10 napos előrejelzésekről, amikor a modellek 2 napra nem tudják eltalálni, ráadásul 3 modell sem...
A 18 UTC-s 7,5-nek bele kellene szamitania a Tmin-be és a 7,3 felülirasa is érdekes... Megpróbálok utánanézni/kérdezni.
7 UTC: 12,8 fok
Tmin: 7,6 fok. Érdekes, mivel a tegnap 18 UTC-s adat 7,5 fok és a reggeli frissítésnél még 7,3 fok szerepelt a Tmin-nél.
Tmin: 7,6 fok. Érdekes, mivel a tegnap 18 UTC-s adat 7,5 fok és a reggeli frissítésnél még 7,3 fok szerepelt a Tmin-nél.
Szintén zenész! De majdnem a szokásos hétfői előrémet is elfelejtettem.
Most állok neki (Kb. 9-re lesz kész)
Jól indul az év...
F.h.: Érd
Jól indul az év...
F.h.: Érd
Szerintem ebben a sorrendben jöhet, majd csak valamelyik nyerő lesz
Van egy csorba ollóm, egy kinőtt pólóm, egy betelt naptáram..., melyiket adjam le szted?
Időközben megérkezett a beosztás, szóval várjuk jocika8627-től a kiírást.
Link
A pécsi fordulót Kaszabubu nyerte, gratulálok neki!
Forduló: Link
Összetett: Link
A következő kiíró jocika8627, így szeretnénk kérni egy helyszínt és egy időpontot.
Helyszín [állomáskód]
Bécs (Wien-Hohe Warte) [11035]
Békéscsaba [12992]
Budapest Liszt Ferenc nemzetközi repülőtér [lhbp]
Budapest-Újpest [metnet-es észlelő]
Debrecen [12882]
Felcsút [metnet-es észlelő]
Kecskemét [12970]
Lomnici-csúcs (Lomnicky Stít) [11930]
Paks [12950]
Siófok [metnet-es észlelő]
Sopron-Kurucdomb [13704]
Szeged [12982]
Szolnok [12860]
Meteorológiai állomások beosztása valamikor a napokban lesz, igy ha beosztásos állomást szeretnél választani, arra várni kell egy kicsit akkor.
Forduló: Link
Összetett: Link
A következő kiíró jocika8627, így szeretnénk kérni egy helyszínt és egy időpontot.
Helyszín [állomáskód]
Bécs (Wien-Hohe Warte) [11035]
Békéscsaba [12992]
Budapest Liszt Ferenc nemzetközi repülőtér [lhbp]
Budapest-Újpest [metnet-es észlelő]
Debrecen [12882]
Felcsút [metnet-es észlelő]
Kecskemét [12970]
Lomnici-csúcs (Lomnicky Stít) [11930]
Paks [12950]
Siófok [metnet-es észlelő]
Sopron-Kurucdomb [13704]
Szeged [12982]
Szolnok [12860]
Meteorológiai állomások beosztása valamikor a napokban lesz, igy ha beosztásos állomást szeretnél választani, arra várni kell egy kicsit akkor.
3,0 fok, 4 okta, jelenidő nélkül, szélcsend. (?)
Ha a MET-ÉSZen szereplő pécsi (7624) adatok ehhez az állomáshoz tartoznak.
Ha a MET-ÉSZen szereplő pécsi (7624) adatok ehhez az állomáshoz tartoznak.
Lehet célszerűbb lenne az intervallumokat beleírni a szabályzatba. Synop/Metnet/OMSZ állomásoknál most mi a gyakorlat? Érdekes, hogy az észlelés az egész órakor történik, de a Tmin/Tmax nem megoldható, hogy 6:00-6:00 UTC között legyen.
Meglett nézve belső rendszerben is és annyi amennyit előbb írtam
Ez oké, de két tízperces mérés között sajna felmehetett akár 12,6-ra is, onnan nekem meg már teljesen mindegy, hogy 12,6, 18,3, vagy 31,5... lesz-e a maxi... 
Met4ever: Én úgy tudom 6:45-ig vagy 6:50-ig számít a Tmin. (télen). Szóval a kerekített 9 fokos Tmin helytálló.
Met4ever: Én úgy tudom 6:45-ig vagy 6:50-ig számít a Tmin. (télen). Szóval a kerekített 9 fokos Tmin helytálló.
A metnetes link szerint 7:00-ig 8,4°C-ig ment le a T. Utana 8:00-ig még tovább süllyedt, ami a Tmin-be már nem számít bele, de a 7:00 órás èrték még igen elvileg. Nem?
Dolgozik rendesen a mecseki főn, már 12,5°C is volt. Remélem ez lesz/lett a teteje, úgy még 1 pontot menthetek a maxiból.
Azok a délnyugati záportömbök is picit jöhetnének délebbre.
Azok a délnyugati záportömbök is picit jöhetnének délebbre.
Talán 8 fok lett a Tmin (a tízperces térképekből kibogarászva), kár, hogy az Ogimet-en nincs rajta, csak a pogányi adatsor.
