Információk az előrejelzési versenyhez
Versenyinformációk
A VERSENYSZABÁLYZATÚj előrejelzés elküldése az előrejelzési versenybe
A legutóbbi forduló eredménye
A verseny összesített állása
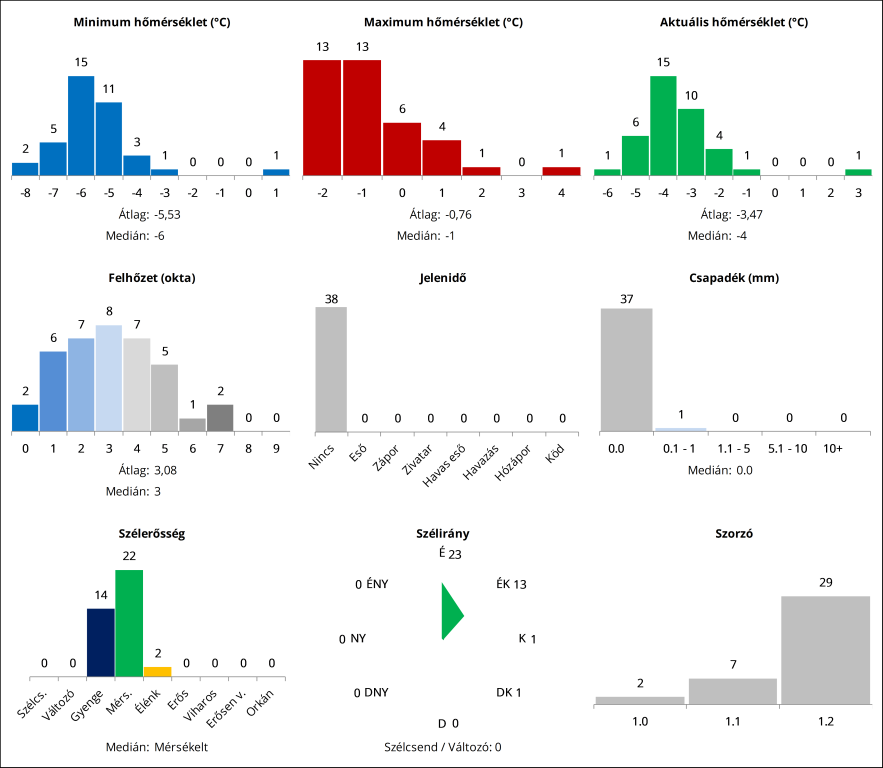
A 3 kieső fordulót nem tartalmazó összesített lista
A synop-kódok értelmezéséhez egy kis segítség
Szélirány-meghatározáshoz segítség
Stelvio segítségével megjelenített összesített ranglista
Stelvio segítségével megjelenített örökranglista
Stelvio segítségével megjelenített dicsőséglista
A meteorológiai állomások elhelyezkedése
A meteorológiai állomások beosztása
Ilyesmit jeleztek elöre a modellek, ha az ember nem a modellrácspontra vonatkozó hömérsékletet vette figyelembe, hanem egy állomásközeli modellszint/nyomásszint adatát. A modellrácspont itt kb 1000 - 1400 m magasságban lévö fennsik egy pontjának felel meg, s igy teljesen eltér a valóságos terepviszonyoktól és az állomás magasságától, ezért abszolut félrevihet, föleg a mostani szituacioban, amikor a magasban melegadvekció van, miközben lent még erösen lehül éjszaka a levegö. Rádásul az állomásra eleve nem reprezentativ nyers modellelörejelzést a nem jól müködö utófeldolgozási módszerek még tovább ronthatják, mint az több automatikus elörejelzési produktumban most kitünöen látható volt.
A valóságban nemrég lent Poprádon (696 m) -14 fok volt, míg a Lomnici csúcson majd 2000 m-rel felette csak -8 fok, s a 00 UTC-s rádiószonda szerint a kettö között nagy rétegben -5°C körül a felszállás idöpontjában (-4 fokos maxot mért a szonda).
A valóságban nemrég lent Poprádon (696 m) -14 fok volt, míg a Lomnici csúcson majd 2000 m-rel felette csak -8 fok, s a 00 UTC-s rádiószonda szerint a kettö között nagy rétegben -5°C körül a felszállás idöpontjában (-4 fokos maxot mért a szonda).
Egyelőre a magas Tmin-sek állnak jól. Én is jócskán a modellek által várt fölé tippeltem, de azt nem gondoltam, hogy a valóságban 10 fok különbség leaz a kettő között. 22 óra -8,5 fok...
Elkészült az összefoglaló.
Link
Hát, izgalmas fordulónak ígérkezik.
Jó sok a havas jelenidő, én némi töprengés és gondolkodás után végül nem tippeltem azt be a magam részéről, lehet, bánni fogom.
De aztán az is lehet, hogy bejön a számításom. 
Hát, izgalmas fordulónak ígérkezik.

Én vagyok most legközelebb a csúcshoz, úgy, hogy utolsó pillanatra hagytam
Amúgy nem azért maradt az 1.0-ás, de most vonatozunk vissza Újtátrafüredről-Csorba tóra, megszánkóztattuk a gyerkőcöt
Amúgy nem azért maradt az 1.0-ás, de most vonatozunk vissza Újtátrafüredről-Csorba tóra, megszánkóztattuk a gyerkőcöt
Már azt hittem, egy új résztvevö csatalakozott a játekba ebben a könnyed fordulóban
Lomnic mindig szívás nálam, most sem lesz ez másként, de ha bukok, legalább egy brutális egykettessel teszem
És aki már akkor leadja a tippjeit amikor még a helyszínt meg az időpontot se tudni, annak meg 2.0?
1,3-as? Én benne vagyok, szólok is a fejlesztőknek, hogy az én eredményemet mindig annyival szorozza a rendszer
Szombaton Zakopane-ból rálátásom lesz a Lomnici-csúcsra egyenesen élőben.
Valamit felkiabáljak a kollégáknak az észleléssel kapcsolatban? Lehet licitálni.
Valamit felkiabáljak a kollégáknak az észleléssel kapcsolatban? Lehet licitálni.
Lassan jövök fel mint a talajvíz. Öntök alája egy kis vízet, nehogy oda kozmáljon a hetek óta dicsért hagyma. 

Durva, vagány tempó 
Lássuk bírom-é a hegymenetet, vagy bedarál a főmezőny? (van rá sansz)
Előző fordulóhoz: gratulálok a jól szereplőknek, az utolsó két fordulóban nem kaptam maflást, csak két nagy fülest,vagy okulok belőle, vagy búcsú az első helytől
Lássuk bírom-é a hegymenetet, vagy bedarál a főmezőny? (van rá sansz)
Előző fordulóhoz: gratulálok a jól szereplőknek, az utolsó két fordulóban nem kaptam maflást, csak két nagy fülest,vagy okulok belőle, vagy búcsú az első helytől
Maradnék ennél a napnál (11-e), de akkor legyen 15 UTC és a Lomnici-csúcs. Szeretném, hogy vért izzadjatok.
Mit szólsz?
Hétvégén dolgom lesz sajnos, így az nem választható. Bocsi.
Egy hétfő reggel nem lenne hülyeség akár.
Sziasztok,
(Met4ever-nek innen is köszi, hogy szólt.)
Nem tudom, hogy belefér-e még az e hét szombati nap (11-e) reggel 06 UTC Felcsút.
(Met4ever-nek innen is köszi, hogy szólt.)
Nem tudom, hogy belefér-e még az e hét szombati nap (11-e) reggel 06 UTC Felcsút.
Frissítettem a kiesős tabellát.
Látótávolságba került a szökevény!
Ritka nagy tülekedés van pl. a 4. és 8. hely között, de hasonlóan a 8.-19. helyek között is csak pár pont dönt.
Látótávolságba került a szökevény!
Ritka nagy tülekedés van pl. a 4. és 8. hely között, de hasonlóan a 8.-19. helyek között is csak pár pont dönt.
MacBook nyerte a debreceni fordulót. Gratulálok neki!
Forduló: Link
Összetett: Link
A következő kiíró glaci29. Szeretnénk kérni egy helyszínt és egy időpontot.
Választható helyszínek:
Békéscsaba [12992]
Budapest-Újpest [metnet-es észlelő]
Felcsút [metnet-es észlelő]
Kecskemét [12970]
Lomnici-csúcs (Lomnicky Stít) [11930]
Siófok [metnet-es észlelő]
Szeged [12982]
Szolnok [12860]
Meteorológiai állomások beosztása: Link
Forduló: Link
Összetett: Link
A következő kiíró glaci29. Szeretnénk kérni egy helyszínt és egy időpontot.
Választható helyszínek:
Békéscsaba [12992]
Budapest-Újpest [metnet-es észlelő]
Felcsút [metnet-es észlelő]
Kecskemét [12970]
Lomnici-csúcs (Lomnicky Stít) [11930]
Siófok [metnet-es észlelő]
Szeged [12982]
Szolnok [12860]
Meteorológiai állomások beosztása: Link
-2,7°C, 1 okta (METÉSZ), mérsékelt (6 m/s) északi (10°) szél (synop), nincs jelenidő
Az 5 cm-es hóréteg sem segített a szeles éjszakában, hiába a -10°C körüli T925. Közben már a 0°C is megvan.
Elkészült az összefoglaló.
Link
A paksi fordulóhoz hasonlóan most is elég egységesek lettek a tippek, kérdés, hogy az időjárás is úgy gondolja-e majd, ahogy a nagy átlag.
22 (21Z) órakor -2 fokot mértek a meteomanz szerint, de hosszú még az éjszaka.
A paksi fordulóhoz hasonlóan most is elég egységesek lettek a tippek, kérdés, hogy az időjárás is úgy gondolja-e majd, ahogy a nagy átlag.
22 (21Z) órakor -2 fokot mértek a meteomanz szerint, de hosszú még az éjszaka.

-0.8 °C-kal vágunk neki a fordulónak, a harmatpont kellemes -6.7°C volt 18 UTC-kor.
Kiderül, mire lesz képes a Tmin ilyen szélviszonyok mellett
Kiderül, mire lesz képes a Tmin ilyen szélviszonyok mellett
Kiesős is előállt a fenti linken.
Paks sosem egyszerű, még ha annak néz is ki néha.
Paks sosem egyszerű, még ha annak néz is ki néha.
Javasolnék egy debreceni fordulót, méghozzá vasárnapra, tehát:
Debrecen, február 5. 18 óra (17 UTC).
Debrecen, február 5. 18 óra (17 UTC).
Simaliba volt a jelenidő,csapadék, szél. Magas átlag lett (saccra16 pont), de valahogy a felhőzet és a T nem a nagyátlag szerint alakult. Nem tudom sirjak vagy örüljek, hogy kimaradt nekem ez a forduló ?
Met4ever a paksi forduló győztese, gratulálok neki!
Forduló: Link
Összetett: Link
radarhead a következő kiíró, így szeretnénk kérni egy helyszínt és egy időpontot.
Választható helyszínek:
Békéscsaba [12992]
Budapest-Újpest [metnet-es észlelő]
Debrecen [12882]
Felcsút [metnet-es észlelő]
Kecskemét [12970]
Lomnici-csúcs (Lomnicky Stít) [11930]
Siófok [metnet-es észlelő]
Szeged [12982]
Szolnok [12860]
Meteorológiai állomások beosztása: Link
Forduló: Link
Összetett: Link
radarhead a következő kiíró, így szeretnénk kérni egy helyszínt és egy időpontot.
Választható helyszínek:
Békéscsaba [12992]
Budapest-Újpest [metnet-es észlelő]
Debrecen [12882]
Felcsút [metnet-es észlelő]
Kecskemét [12970]
Lomnici-csúcs (Lomnicky Stít) [11930]
Siófok [metnet-es észlelő]
Szeged [12982]
Szolnok [12860]
Meteorológiai állomások beosztása: Link
Asse gyütt össze,1.3°C a maxi.
Elég sima fordulónak néz(ett) ki
Elég sima fordulónak néz(ett) ki
Külön öröm volt a mai kiírás Paksra, mivel ott voltunk Svábbálban
Hajnalban a hideg szélben hidegebbnek éreztem a levegőt, de láttam nem akart lemenni 0 alá semmiképp a totál borultság miatt. Hazafelé Pakstól 10 km-re már csak 7 okta volt és kis napsütés is.
Én azért örülök, hogy így döntöttél 
Kemény 1,1°C az utolsó észlelés, de már csak 7 okta volt. Lehet, hogy 1,5°C elérése az új cél?
Kemény 1,1°C az utolsó észlelés, de már csak 7 okta volt. Lehet, hogy 1,5°C elérése az új cél?
Hát ez idáig - a szelet leszámítva - rettenetes... 
Az első gondolatomra kellett volna hallgatnom, és Lomnicot kellett volna választanom helyszínnek.
Az első gondolatomra kellett volna hallgatnom, és Lomnicot kellett volna választanom helyszínnek.
8 okta, 1,0°C, nincs jelenidő (METÉSZ)
Gyenge (3 m/s) északnyugati (330°) szél (synop)
Ha ilyen jól viselkedik ma a felhőzet, akkor még egy utolsó javaslat, ha olvassa
Északnyugat felől akkor jöhet a vékonyodás, felszakadozás. +2,6°C-ot meg kellene még lépni ma
Gyenge (3 m/s) északnyugati (330°) szél (synop)
Ha ilyen jól viselkedik ma a felhőzet, akkor még egy utolsó javaslat, ha olvassa