Információk az előrejelzési versenyhez
Versenyinformációk
A VERSENYSZABÁLYZATÚj előrejelzés elküldése az előrejelzési versenybe
A legutóbbi forduló eredménye
A verseny összesített állása
A 3 kieső fordulót nem tartalmazó összesített lista
A synop-kódok értelmezéséhez egy kis segítség
Szélirány-meghatározáshoz segítség
Stelvio segítségével megjelenített összesített ranglista
Stelvio segítségével megjelenített örökranglista
Stelvio segítségével megjelenített dicsőséglista
A meteorológiai állomások elhelyezkedése
A meteorológiai állomások beosztása
Falu?
Pedig már azt hittem nagy település, van aréna, kisvasút, stb
Le is veszem a bakancslistáról.
Pedig már azt hittem nagy település, van aréna, kisvasút, stb
Le is veszem a bakancslistáról.
Jól benéztem a szelet. Azt hittem élénk lesz a környék adatait nézve/Agárd 25,2 km/h, az nem élénk ?/ erre nemhogy mérsékelt, de gyenge. Azt nézem, hogy valahogyan mellényúlhattam, mert mérsékelt Ény-it adtam(volna), erre mérsékelt szélcsend lett belőle. Igazából hogyan lehet ereje a szélcsendnek ? Ilyenkor egyáltalán van pontom a szélre ? (mert ugye a gyenge mellett van a semmi szél) Ezek szerint lehet tippelni erősen viharos szélcsendet ? És ha erősen viharos lesz az két pont ? Mikortól gyenge egy szél? 0,001 m/s még szélcsend vagy már gyenge ?
Nincs és nem is volt kétségem a méréseid pontosságát illetően, sőt emlékeztem is arra, hogy kisebb szeles hely. Vacilláltam is a gyenge és mérsékelt között, rosszul döntöttem, nem csak én
.
Hat igen, elmondtam már párszor mielőtt jön a szokásos így az OMSZ meg úgy az OMSZ, hogy: Amíg az OMSZ állomás tengerszint feletti magasságban is magasabban van illetve egy nyílt beépítetlen területen, addig én belterületen mérek, ahol a falu beépítettsége miatt azért soha nincs olyan légmozgás mint kint a Szári úton. A műszer pedig egészen biztosan jó, pár napja azt a minimális tényezőt is megszűntették (kivágták a fényőfát), ami esetleg belezavarna a szélviszonyokba.
A hivatalos adatok alapján pedig 290-320 fok között tér ki a szél külterületen is, szóval ennyit az irányokról.
Nyilván ezeket nem rosszból írtam, de korábban felhívtam a mezőny figyelmét arra, hogy azért itt másabbak a terepviszonyok mint kinn, aztán többen bele is rohantak. Na, de ettől szép ez az egész.
A hivatalos adatok alapján pedig 290-320 fok között tér ki a szél külterületen is, szóval ennyit az irányokról.
Nyilván ezeket nem rosszból írtam, de korábban felhívtam a mezőny figyelmét arra, hogy azért itt másabbak a terepviszonyok mint kinn, aztán többen bele is rohantak. Na, de ettől szép ez az egész.
A szél lett meglepő, irány és erősség is. Az OMSZ széltérképet nézve a gyenge szél nem papírforma. Kéne ismerni az állomás elhelyezkedését. Az eddigi két T mindegyik egy tizeden múlt.
Összfelhőzet: 7 okta
Jelenidő: Nincs.
T min: 1,4°C
T akt: 6,6°C
Szélirány: 330 (északnyugati)
Erőssége: 3 m/s (gyenge)
Jelenidő: Nincs.
T min: 1,4°C
T akt: 6,6°C
Szélirány: 330 (északnyugati)
Erőssége: 3 m/s (gyenge)
Kár azért a 7,5 fokért 11:50-kor. Ezt leszámítva eddig elég jól alakul a forduló: Visszahűltünk 6 fokra és már megvan a mérsékelt erősségű szél is.
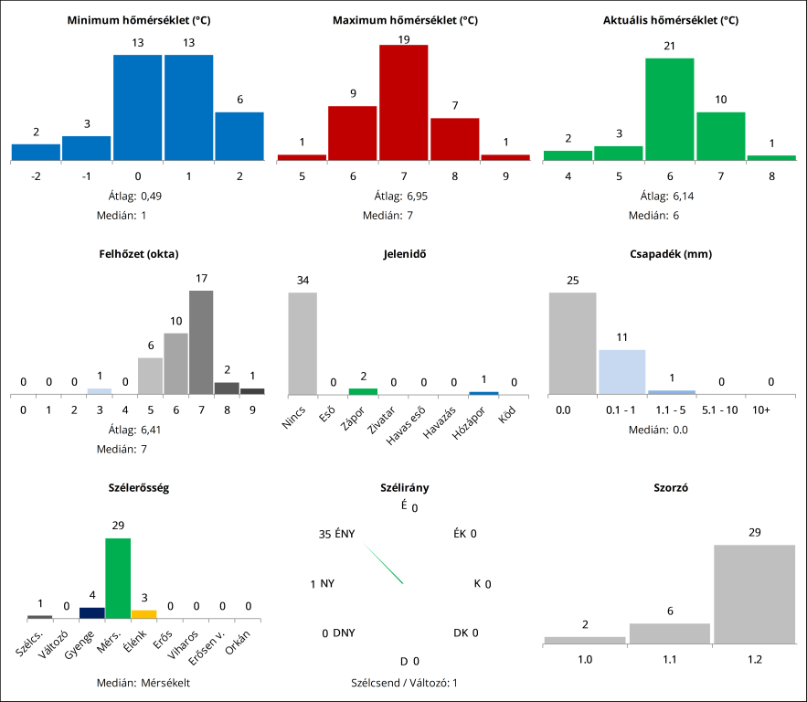
Elkészült az összefoglaló.
Link
Az előző két forduló után igazi pihentető ez a mosatni, meglehetősen egységes tippekkel, főleg a széliránynál ritkán látni ilyet.
Az előző két forduló után igazi pihentető ez a mosatni, meglehetősen egységes tippekkel, főleg a széliránynál ritkán látni ilyet.

Oszt kikap-e a Fehérvár vajon a Vasastól? 
Aztán merész az a hózáporos jelenidő Satya Úr.
Aztán merész az a hózáporos jelenidő Satya Úr.
Én még tegnap este leadtam, mer ma 9-12 ig vártam a klinikán a sorszámomra, pont délben szólítottak kontrolra. Majd nem meggebedtem a sok üléstől.
Esetleg ha nagy felfordulás lenne T. ügyileg, az ég allja feketedne, akkor váltok 1,1-es-re holnap délig.
Esetleg ha nagy felfordulás lenne T. ügyileg, az ég allja feketedne, akkor váltok 1,1-es-re holnap délig.
Szolid, visszafogott 1.2-est 
Ilyen szoros verseny hajrájában az ember tutira megy
Ilyen szoros verseny hajrájában az ember tutira megy
A téli derby 3/4-énél a déliek gyanúsan jó teljesítményével zárult szegedi etap nem hozott kiesőt senkinél sem. Kiesős rangsor a linken nyílik.
Papó gratula, meg a jól szereplőknek is
Úgy látom elől még sűrűbb a mezőny
Úgy látom elől még sűrűbb a mezőny
Köszönöm!
A múlt heti az én kiírásom volt, nem nyúltam bele a tippbe (csak azért se, nyakasságból....
), sikerült is az utolsó helyen végeznem. Most nem kellett belenyúlnom, ráadásul szerencsém is volt, így lett egy tök utolsó után egy első hely.
A múlt heti az én kiírásom volt, nem nyúltam bele a tippbe (csak azért se, nyakasságból....
Télembert koronázzuk meg Szegeden, gratulálok neki! 
Forduló: Link
Összetett: Link
A következő kiíró zseegee lesz, így szeretnénk kérni egy helyszínt és egy időpontot.
Választható helyszínek:
Békéscsaba [12992]
Budapest-Újpest [metnet-es észlelő]
Felcsút [metnet-es észlelő]
Kecskemét [12970]
Siófok [metnet-es észlelő]
Meteorológiai állomások beosztása: Link
Forduló: Link
Összetett: Link
A következő kiíró zseegee lesz, így szeretnénk kérni egy helyszínt és egy időpontot.
Választható helyszínek:
Békéscsaba [12992]
Budapest-Újpest [metnet-es észlelő]
Felcsút [metnet-es észlelő]
Kecskemét [12970]
Siófok [metnet-es észlelő]
Meteorológiai állomások beosztása: Link
A kézi mérés 0,2 tizeddel kevesebb, mint az automata, így 2,4 mm a napi csapadékösszeg.
Megérkezett a radarjel, csakhogy csak "kék". Vagy nem lesz belőle semmi, vagy havazik már és az már nem ad "zöldet" . Gondolom reggel van kézi mérés is, nem az automata mérés a mérvadó.
Ez itt nálunk olyan, mint a kutya vacsorája...
Monjuk az én kutyáim jóllaktak.
Monjuk az én kutyáim jóllaktak.
Tmax: 3,7°C és 3 mm esett 18UTC-ig. Na, akkor a délkeletről felkanyarodó med.ciklon csapadék produkcioja következik reggelig...
Ja, METÉSZ-t nem is néztem, köszi. Így akkor még sokkal hajszálabb volt, már 1 óra múlva gyengén esett.
Ha egy órával később lett volna a forduló:
MET-ÉSZ
7:54 - 8 okta, jelenidő nélkül
7:55 - 8 okta, nagyon gyenge eső
MET-ÉSZ
7:54 - 8 okta, jelenidő nélkül
7:55 - 8 okta, nagyon gyenge eső
Köszönöm szépen, eddig megvan a 4 fok! (3,5) max.
Érdekes, hogy dunántúl közepén, és délen beütött a hószállinga. Szekszárd- Tevel- Pécs.
Érdekes, hogy dunántúl közepén, és délen beütött a hószállinga. Szekszárd- Tevel- Pécs.
Ogimeten nyers synop:
Link
Dekódolva:
Link
A felhőzetmennyiség nem jó ezekben, ha meg van adva, akkor sem.
Volt egy olyan érzésem tegnap, hogy ha irok róla, akkor esetleg nem lesz direkt jelenidő 06UTC-kor
04:30UTC-ig jelentett az állomás csapadékot, majd 08:30UTC-től ujra. Igy szépen maradt egy 4 órás jelenidőmentes ablak 06 UTC körül. Jocika jól ráérzett, gratula 
A nem túl messzi Palics még 05:30UTC-kor is havasesőt adott, s kicsit délebbbre/nyugatabbra 1-6 cm-es megmaradó hóréteg is lett 06UTC-re. A csapadékintenzitás hűtő hatása látványosan működött a halmazállapotra ill. megmaradásra is.
Bkrisz: amikor az elmélet gyakorlattá válik, csak nem a kitűzött időpontban
Link
Dekódolva:
Link
A felhőzetmennyiség nem jó ezekben, ha meg van adva, akkor sem.
Volt egy olyan érzésem tegnap, hogy ha irok róla, akkor esetleg nem lesz direkt jelenidő 06UTC-kor
A nem túl messzi Palics még 05:30UTC-kor is havasesőt adott, s kicsit délebbbre/nyugatabbra 1-6 cm-es megmaradó hóréteg is lett 06UTC-re. A csapadékintenzitás hűtő hatása látványosan működött a halmazállapotra ill. megmaradásra is.
Bkrisz: amikor az elmélet gyakorlattá válik, csak nem a kitűzött időpontban
A linkre kattintva mindig az akt. helyzetet láthatjátok, legfelül balra az óóz (óra utc.)szerint.
Link
Link
202302260600 AAXX 26061 12982 16/// /3307 10023 20010 39954 40057 52002 60042 333 20023 55000 70073
555 10091 55104=
Akkor eddig:
a csapi mostantól számít,
jelenidő: -
Tmin: +2,3C
Takt.: +2,3C
Szél: ÉNY 330 fok
mérsékelt: 7m/s
Felhőzet borult, de nem innen van...
555 10091 55104=
Akkor eddig:
a csapi mostantól számít,
jelenidő: -
Tmin: +2,3C
Takt.: +2,3C
Szél: ÉNY 330 fok
mérsékelt: 7m/s
Felhőzet borult, de nem innen van...
Köszi a tippstatisztikát! 
Én egy kicsit a maximumoktól tartok. Sajnos most a 2 fokos maxira elég kicsi az esély, ezt szerintem kicsit alábecsültem, ahhoz nagyon be kéne ragadnia a felhőzetnek napközben és tényleg hideget hozó északias szélnek kéne fújnia. Csapadékmennyiség tekintetében az 5+ mm-t váróknak jó hír lehet a vasárnap éjjel/hétfő hajnalban visszapörgő csapadék. Holnap reggel a szignifikáns jelenidő elég sanszos, a halmazállapot már érdekesebb, eső/ havas eső talán most esélyesebb, de ki tudja...
21 óra előtt 3,6 fok volt a hőmérséklet.
Én egy kicsit a maximumoktól tartok. Sajnos most a 2 fokos maxira elég kicsi az esély, ezt szerintem kicsit alábecsültem, ahhoz nagyon be kéne ragadnia a felhőzetnek napközben és tényleg hideget hozó északias szélnek kéne fújnia. Csapadékmennyiség tekintetében az 5+ mm-t váróknak jó hír lehet a vasárnap éjjel/hétfő hajnalban visszapörgő csapadék. Holnap reggel a szignifikáns jelenidő elég sanszos, a halmazállapot már érdekesebb, eső/ havas eső talán most esélyesebb, de ki tudja...
21 óra előtt 3,6 fok volt a hőmérséklet.
Elkészült az összefoglaló.
Link
Ahogy met4ever is írta előttem, ebben a fordulóban úgy néz ki, a jelenidő lesz a döntő faktor, illetve még a csapadékmennyiségnél van nagyobb eltérés.
Én havazásra tippeltem, a két nappal előtti modellfutások alapján nagyjából úgy számoltam, hogy pár száz méter magasan lehet a fagyhatár, és 0,5 és 1 fok között olvadozó hópelyhek hullanának. Azóta sajnos az újabb verziók enyhítettek a hőmérsékleten, a csapadékot meg szépen lecsökkentették, így nem a havas és nagy mennyiségű csapadékos előrejelzéseknek áll a zászló.
Gondolkoztam a módosításon, de a bizonytalanság miatt inkább bent tartottam az 1.2-est, legalább a szorzó kompenzáljon (ha lesz mit
).
Mindenesetre, izgalmas fordulónak nézünk elébe. 20 órakor (19Z) 3,8 fokot mértek az állomáson, a friss modellfutások ehhez képest nagyjából 5 fok körüli hőmérséklettel számoltak mostanra, így ki tudja, mi lesz reggelre.
A hétfő éjszaka is tartogathat meglepetéseket, ha csak néhány tíz kilométerrel nyugatabbra realizálódna az a sok csapadék, amivel jelenleg a modellek számolnak. 
Ahogy met4ever is írta előttem, ebben a fordulóban úgy néz ki, a jelenidő lesz a döntő faktor, illetve még a csapadékmennyiségnél van nagyobb eltérés.
Én havazásra tippeltem, a két nappal előtti modellfutások alapján nagyjából úgy számoltam, hogy pár száz méter magasan lehet a fagyhatár, és 0,5 és 1 fok között olvadozó hópelyhek hullanának. Azóta sajnos az újabb verziók enyhítettek a hőmérsékleten, a csapadékot meg szépen lecsökkentették, így nem a havas és nagy mennyiségű csapadékos előrejelzéseknek áll a zászló.
Mindenesetre, izgalmas fordulónak nézünk elébe. 20 órakor (19Z) 3,8 fokot mértek az állomáson, a friss modellfutások ehhez képest nagyjából 5 fok körüli hőmérséklettel számoltak mostanra, így ki tudja, mi lesz reggelre.
