2026. február 24., kedd

Információk az előrejelzési versenyhez

Adott napon: 
Keresés:
#71861
Ezt jól benéztem, azt hittem, ma van a fordulóduhos
#71860
Rendelés Újpestre leadva      laza

beillesztett kép

#71859
Éreztem elég hamar, hogy túllőhettem kicsit a nappali T-ket a tavaszi hőmérsékletalálövés kiküszöbölésére játszva, de aztán végül nem módosítottam lefele, mert a minimum és felhőzet is elég bizonytalan, így simán elronthattam volna azokat, ha már módosítok. Azért nem rossz, hogy a 17 fok már nem túl messze a Dél-Dunántúlon, a délnyugati határnál pedig 18, 19 fok is. Holnapra beljebb jöhetne....   laza
#71858
Délután 1 -ig 1,0-as, utána végállomás, kiszállás, bezár a pénztár.
Indulás után félúton Kecskeméten átszálltam a 2. osztályra 1,1-gyel, biztos ami biztos.
Majd átszállok a szobi vasútra a Nyugatiból, holnap  délután. laza 
#71857
Délután egyig egykettes, aki nyerni akar, az addig adja le, igazi átlagjavító forduló lesz ez isnevet laza
#71856
Nem rontottad el, mert a Koronázó forduló előtt, tényleg az utolsó előtti   laza
#71855
Legalább kicsit még tovább fokozod a versenyszellemet mindenkiben így  kacsint
#71854
Köszönjük! 

Lehet is tippelni: Link

A kiírást elb@sztam, mert ez nem az utolsó előtti forduló lesz, de a lényegen ez nem változtat majd szerintem. 

Hajrá! 
#71853
Maradjon, persze.
#71852
Azért nem találtál, mert Kecskemét katonai repülőtér, tehát 24 órás szolgálat van ott. Azt szeretnéd vagy maradjunk Újpestnél? 
#71851
Sziasztok! Legyen a következő verseny Újpesten 03.20-án 13 órakor!
A állomások beosztásánál egyébként nem találtam a kecskeméti állomást.
#71850
Köszönöm! Rám fért már, mert a következő kééét lehetséges helyszínből az egyikkel nehezen birkózom meg kacsint
#71849
Kiesőst is frissítettem.
#71848
A fordulót Gordonka nyerte, gratulálok neki. Külön gratulálok Satya Úrnak a bravúros 1,0-ás szorzós 19 ponthoz.

Forduló: Link
Összetett: Link

deco05 a következő kiíró, így szeretnénk kérni egy helyszínt és egy időpontot. 

Választható helyszínek:
Budapest-Újpest [metnet-es észlelő]
Kecskemét [12970]
Siófok [metnet-es észlelő]

Beosztás a fejlécben.
#71847

Tmax 7,8°C

Ne is mondd, ez különösen fáj...eso
#71846
Tmax 7,8°C
Összfelhőzet: 7 okta
Jelenidő: Nincs
T min: 1,0°C
T akt: 1,2°C
Szélirány: 330° (északnyugati)
Erőssége: 1 m/s (gyenge)
Csapadék eddig nincs és nem várható.

Lepontozzuk esetleg még ma este?
#71845
Érdekes egy táblázat.3-11 UTC közt van minden szélirány,csak ÉNY nincs.6UTC-kor nyugati...egybevág a methu-val.vidám
#71844
Gratula, hogy meglépted. Valami hasonlón filoztam én is. Szorosabb lesz a dobogó.
#71843
Itt meg a táblázati adat csúszott 1 utc-t. a szövegeshez képest.
Link
Elég adatszegény Békéscsaba.
Link
Ahol nincs helyszíni figyelés, azt hagyjuk el.szomoru
#71842
Hát igazából automata synop táviratokat engednek ki nemzetközibe... Hogy ez jó-e? Döntse el mindenki maga... 
#71841
02303120540 : Date/hour of observation (*) -> 03/12/2023 at 05:40 UTC[table]AAXXIdentification letters of the report : FM 12–XI Ext. SYNOP. Land Station[table][table]12061Day of month (UTC) : 1212061Nearest whole Hour (UTC) for actual observation time : 0612061Indicator for source and units used in speed wind data : Wind speed from anemometer, in meters per second[table][table]12992Station WMO index : Bekescsaba (Hungary). 46-41N 021-10E 88 m. WMO region: Europe.[table][table]45/70Indicator for inclusion or omission of precipitation data : Group 6RRRtr omitted, precipitation amount not available45/70Indicator for type of station operation (manned or automatic) and for present and past weather : Automatic, group 7wwW1W2 or 7w1w2W1W2 omitted (no significant phenomena to report)45/70Height of base of lowest observed cloud : Unknown cloud base, or cloud base below and cloud top above the station level45/70Horizontal visibility at surface : 20 Km[table][table]83301Total cloud cover : 8 oktas, overcast83301True direction, in tens of degrees, from which wind is blowing : 325° – 334°83301Wind speed : 1 m/s (3.6 Km/h, 1.9 Kt)[table][table] 
Temperature : 1.3 C (34.3 F)
Jogos, a 8 okta 6:40-kor volt. Végre végigolvastam a szabályzatot meg a metész adatokat. Derengeni kezdett az egész, tehát az OMSZ-ész óránként ad jelenidőt,felhőzetet és T-t, nekünk azt kell nézni, mert fogalmunk sincs(persze nekem mint laikusnak), hogy ki, mikor és mi alapján tesz be adatokat a methura meg a synopba.
(Meg azt sem tudom miért kék, amit most írok)

[table]
#71840
Hát ez úgy nézem bejöttvidám
Hajnalban még esett is.
#71839
A többség felszakadozó felhőzettel számolt, így azért vártak alacsony minimumot (lsd Szegeden -1,4°C lett a minimum). Békéscsabán nem szakadozott fel, így nem volt képes annyira lehűlni. A met.hu-n nem tudom miért nyugati van, amikor minden általam hozzáférhető rendszerben 334° fúj a szél, ami északnyugati. 

A nyolc oktát pedig nem tudom honnan szedted... 
#71838
Sebaj ! Pzs meg szombatra jelzett...elég jól. Mi, a többség meg nem tudom hova meg mikorra, mert Tmin,1,Takt 4,felhőzet 1 telitalálat. Az ogimet szerint, mert ott 8 okta szerepel. A methu-n meg nyugati szél, de nem kell nekem mindent tudni hogy keverik a sz....akarom mondani az észlelést.
#71837
Ajaj!
Nem értem magamat.
Én Szegedre is adtam le az előrémet és javítottam még az utolsó fél percben is...eso
Általános iskola 1. osztály. Valamelyik betűt nem ismerem még fel. nevet
#71836
Ezek szegedi adatok nem békéscsabaiak. nyelvnyujtas
#71835
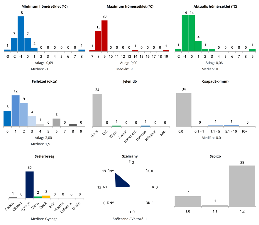
Összfelhőzet: 7 okta
Jelenidő: Nincs
T min: 1,0°C
T akt: 1,2°C
Szélirány: 330° (északnyugati)
Erőssége: 1 m/s (gyenge)
#71834
##############################################################################/kislexikon/#############################################################################
202303120600 AAXX 12061 12982 36/// /3104 11007 21037 30046 40151 52026
333 21014 55028 555 10080=
Ezek alapján: /3104
Felhőzet nincs jelezve
Szél 310fok ÉNY
4m/s mérsékelt

Aktuális hőmérséklet: 11007
-0,7C => -1C

Minimum hőmérséklet: 21014
-1,4C=> -1C
 

#71833
Elkészült az összefoglaló. nevet Link
Többnyire egységesek a tippek, ennek ellenére ez most eléggé csalafinta fordulónak néz ki. nyelvnyujtas Ahogy előttem met4ever is írta, a frissebb verziók pakoltak be felhőzetet, nem csak alacsony szintűt, hanem már valamennyi fátyolt is, kérdés, ebből mennyi realizálódik. laza 7 okta stratocumulus mellett 2 fokos Tmin sokak számítását keresztülhúzná.  laza A másik nagy kérdés a szélirány lesz, még most sem egységesek a modellek, talán annyiban csak, hogy nagyjából északnyugatias lehet a légmozgás.

beillesztett kép

#71832
4 fokról vágunk neki. laza
#71831
Annyit láttam módositási idő lejárta előtt, hogy pl. az ECMWF tegnapi futása megnövelte a felhőzetet holnap 6UTC-re Békéscsabára, de nem volt időm utánanézni, hogy mennyire komolyan nevet     Mostani futás, látom, még mindig 6 okta körülit ad, miközben az ensemble átlag csak 2 okta körüli. A 6 okta pedig magasszintű, ami gyakran kutya vacsorája. És remélhetőleg nem szól bele a reggeli fagyba sem, -7, -8 fokos T850-nél és -3 fok körüli T925-nél, legyengülő szélnél....  Hogy a 9 fok holnap hogy lesz meg, azt még nem tudom, de +1 fok körüli kora délutáni T925-nél elvileg meglehet... vidám 
#71830
Az első tippem nagyon hasonló volt mint az élen állóké, a módosítottnál minden bizodalmam a felhőkbe vetettem, oszt majlássuk laza
#71829
Elég egysikúak az előrék, most még én sem nyúltam mellé a gombnak, hasonlít a zöméhez. Ketten viszont nagyon furmányosak. Pzs mintha szombatra jelezte volna előre a dolgokat (19 fok,5+ mm csapadék). Gulyasme nem tudom hogy gondolta,hogy reggel még -1 fokban havazás, aztán 14 fok meleg. Egyedül a felhőzet szóródik eléggé.
#71828
Na na..azért lehet hogy betalálok a közepébe, nincs messze Békéscsaba. ( esetleg pár M62-es mozdonynak igen..)
Na , éljen a sinkoptató tram trail. Amugy tényleg szépek és csendesek. laza
#71827
Nekem jó lesz az 1.1-es, az 1.2 úgyis a gyengék fegyvere...nyelvnyujtas
#71826
Én azon lepődnék meg, ha meglepődnél.  laza
#71825
Nem lepődnék meg, ha lenne telitalálatos 1,2-es. De azon sem, ha nem    laza
#71824
Szerencsére éjfél után leadtam. Közvetlenül 7 előtt nem sikerült volna  nyelvnyujtas
#71823
Aki nem adta le, annak már mindegyvidám
Remélem neked azért sikerültnevet
#71822
Ébresztő, aki még nem adta le....   laza
#71821
Micsoda időpont az órát illetően  nyelvnyujtas

De sikeresen felébredtem, már csak el ne aludjak mielőtt leadom.....  laza
#71820
Holnap reggel hétig egykettes, majdnem a saját fordulómról is lemaradtam, pedig elég sima lesz, lehet átlagot javítanividám
#71819
Kék zászlóval leintve az első tiz 10. Benne van két szegedi versenyző, de ha szerzek +14 pontot a listán, akkor elfogadom a meghívást a 10 közé.
 Még hátra van pár kanyar, és ... laza
#71818
Köszönjük a kiesős táblázatot! nevet

Jó lenne most már egy huszáros hajrá, hogy beférjek a húszba... szegyenlos Mondjuk ezzel a fordulóval elégedett voltam, de még mindig nagyon lent vagyok összetettben...
#71817
Kiesős ranglista frissítve.
Papírforma forduló lett, alig esett ki valakinek.
#71816
Én pedig nem kockáztattam, aztán mégse jött be,hideg
Mondjuk az 1,2-esről azért sikerült lecsúsznom.duhos
#71815
Elvileg lesz megfigyelés, így ki is írtam a fordulót. 

Hajrá, lehet tippelni: Link 
#71814
Békéscsaba március 12 vasárnap reggel hét?
#71813
A fordulót pzs és Pestimet páros nyerte, gratulálok nekik! 

Forduló: Link
Összetett: Link

dabrony a következő kiíró, így szeretnénk kérni egy helyszínt és egy időpontot. 

Választható helyszínek:

Békéscsaba [12992]
Budapest-Újpest [metnet-es észlelő]
Kecskemét [12970]
Siófok [metnet-es észlelő]

Beosztás: Link
#71812
Kockáztattam, nem jött be az, ami a 10 fordulóban, így át kell adjam a helyet az üldözőknekvidámhideg
1.0-ás tippel valszeg mást adok le, de ez játék, így jártamkacsint
Persze még tart a verseny, lehet bármividám

Havazás előrejelzés

Utolsó észlelés

2026-02-24 04:45:10

Mosonmagyaróvár

7.7 °C

27002

RH: 83 | P: 1014.0

Észlelési napló

Térképek

Radar
map
Aktuális hõmérséklet
map
Aktuális szél
map

Utolsó kép

156205

Hírek, események

Mediterrán ciklon hoz csöppnyi tavaszt és kicsivel több telet

Időjárás-változás | 2026-02-18 12:39

pic
Jelentős változást hoz hazánk és a térség időjárásába egy mediterrán ciklon, ami egy kis tavaszt és egy kis telet is tartogat.