Információk az előrejelzési versenyhez
Versenyinformációk
A VERSENYSZABÁLYZATÚj előrejelzés elküldése az előrejelzési versenybe
A legutóbbi forduló eredménye
A verseny összesített állása
A 3 kieső fordulót nem tartalmazó összesített lista
A synop-kódok értelmezéséhez egy kis segítség
Szélirány-meghatározáshoz segítség
Stelvio segítségével megjelenített összesített ranglista
Stelvio segítségével megjelenített örökranglista
Stelvio segítségével megjelenített dicsőséglista
A meteorológiai állomások elhelyezkedése
A meteorológiai állomások beosztása
Stelvióval összekössük a bajszot, 8-10-5 a nyerő kód. Csak én tettem rá egy kis szaftot a burgerra. 
Link
Link
9 fok már biztos volt és valószínűleg ez lesz a Tmax is, mert már visszahűlt 8 fokra és hamarosan érkezik a csapadék is. Idáig nekem tökéletes!
Szép ez az okklúzíó, csak kár, hogy az 1,2-es leadásánál keletebbre gondoltam, s a Duna-Tisza-közén ilyenkorra már felszakadozást vártam pár melengetö napsugárral. Ehelyett Tmax=9 fok? Vagy 8
Én eddig azt sem tudtam, hogy lehet módosítani...
A lényegen nem változtat, pocsék szezont futottam, a felénél gondolkodtam, hogy ráhagyom.
Elkészült az összefoglaló.
Link
Ahogy nézem, itt a hajrában már nagyon nem lehet halászni a zavarosban, az időjárási helyzethez képest aránylag egységesek a tippek.
A Meteomanz szerint 22 órakor (20Z) 9,7 fok volt, kérdés, meddig csökken még a hőmérséklet reggelig.
Ahogy nézem, itt a hajrában már nagyon nem lehet halászni a zavarosban, az időjárási helyzethez képest aránylag egységesek a tippek.
A Meteomanz szerint 22 órakor (20Z) 9,7 fok volt, kérdés, meddig csökken még a hőmérséklet reggelig.

Megnéztem a radart és lemásztam... Kerti csap zárva, éljenek a csupaszcsigák
akárhol másutt.
Úgy könnyű "gyávának" lenni, ha már eleve szorzóvesztésből indulsz.
Amúgy a Tmax-on csökkentettem, a felhőzet mennyiségén növeltem 4-4 egységet, ahogy a csapadéknál is 2 kategóriával feljebb váltottam, szóval 10 egységnyit változtattam összesen az 1,1-es tipphez képest.
émmeg azon törpölök, lezárjam a kerti csapot Albertfalván vagy ne zárjam... Majd holnap lemászok és elzárom.
Most már 1,0 lesz az az 1,1. Muszáj volt módosítanom.
Szépen eltaláltátok ezt az időpontot!
Szépen eltaláltátok ezt az időpontot!
Idézet a versenyszabályzatból:
"A verseny pillanatát megelőző 24-48 óráig 1,00, 48-72 óráig 1,10, 72 óránál korábban leadott előrejelzések esetében 1,20-szoros szorzó illeti meg az adott fordulóban elért pontokat."
Tehát a rendszer teljesen jól kezelte a szorzókat, UTC szerint stimmelt is a 17 UTC-s leadási határidő (a versenyben is 17 UTC lesz), ellentétben a kiírással, ahol az 1,2-es szorzós határidőre eleve 18 UTC lett kiírva. Persze ez nem kritika, bárki belefuthat ilyenbe, Csíksomlyónál már én is csináltam hasonlót, mikor még én is írogattam ki fordulókat (fizikailag). (a legszebb egy óraátállítós csíksomlyói forduló lett volna...
) Lényeg, hogy megoldottátok. 
Sajnos az én 1,1-es tippem nem emiatt lesz 1,1, de mindegy is, már elengedtem ezt a szezont...
"A verseny pillanatát megelőző 24-48 óráig 1,00, 48-72 óráig 1,10, 72 óránál korábban leadott előrejelzések esetében 1,20-szoros szorzó illeti meg az adott fordulóban elért pontokat."
Tehát a rendszer teljesen jól kezelte a szorzókat, UTC szerint stimmelt is a 17 UTC-s leadási határidő (a versenyben is 17 UTC lesz), ellentétben a kiírással, ahol az 1,2-es szorzós határidőre eleve 18 UTC lett kiírva. Persze ez nem kritika, bárki belefuthat ilyenbe, Csíksomlyónál már én is csináltam hasonlót, mikor még én is írogattam ki fordulókat (fizikailag). (a legszebb egy óraátállítós csíksomlyói forduló lett volna...
Sajnos az én 1,1-es tippem nem emiatt lesz 1,1, de mindegy is, már elengedtem ezt a szezont...
A tegnap 18 és 19 óra között leadott tippeknél javítottuk 1.2esre a szorzókat, elnézést a kellemetlenségért!
Ugyanakkor nem kizárt, hogy ma is 1 órával hamarabb jár le az 1.1-es szorzó, így legyetek szívesek biztosra menni, és lehetőleg ma 18 óra előtt leadni az esetleges 1.1-es tippeket! Köszi.
Ugyanakkor nem kizárt, hogy ma is 1 órával hamarabb jár le az 1.1-es szorzó, így legyetek szívesek biztosra menni, és lehetőleg ma 18 óra előtt leadni az esetleges 1.1-es tippeket! Köszi.
Pont így voltam, hála hazaértem egy temetésről és újra írtam az1,2-est . Sikerült 4-5 óra felé még .Pár szösszenetet és kezet dörzsölős értéket csak módosítottam. 
Lehet vasárnap 18-19 óra között 0.9-es szorzó lesz. 
Nagy vezérünk erre biztos azt mondaná, ha ezek a delikvensek nem csak recskázni járnának prüsszelbe, akkor ez a hiba elő sem fordulhatott volna.

Nagy vezérünk erre biztos azt mondaná, ha ezek a delikvensek nem csak recskázni járnának prüsszelbe, akkor ez a hiba elő sem fordulhatott volna.
Feladva: 2023-03-24 16:52:31
Az időtényező értéke: 1.2
Huhhh...
Hozzáadhatunk a szorzókhoz 1 tizedet, egye fene
Az időtényező értéke: 1.2
Huhhh...
Hozzáadhatunk a szorzókhoz 1 tizedet, egye fene
Valószínűleg az óraátállítás zavar bele a rendszerbe, ami követi a fix 24-48-72 órás (1.0, 1.1, 1.2) határokat.
Szintén 1.1-est kaptam, először azt hittem, elnéztem valamit, de aztán a kiírásból látom, hogy még 1.2-nek kellene lennie.
Én már most is 1.1-eset kaptam. 
Majd nézzék meg a szervezők! Kettőt is küldtem, mindkettő 1.1-es.
Majd nézzék meg a szervezők! Kettőt is küldtem, mindkettő 1.1-es.
Este hétig egykettes, aki nyerni akar az adja le, mert most nagy esély van egykettessel dobogós helyen végezni
Igen, vagyunk páran. Jobbolást a térgyeddnek, (júj de macerás szó.)
Satya szedd össze magad, a kecskeméti barackos pálesz kortyolgatása csak egy iránymutatás.
Satya szedd össze magad, a kecskeméti barackos pálesz kortyolgatása csak egy iránymutatás.
Gratulálok a dobogósoknak (IS) 
Papó, a szerencsém elhagyott, de bízni mindig lehet
Csak az a bibi, hogy valszeg nem tudok a helyszínen jelen lenni a finisben, mert arra gondoltam, kitámogatlak a felhőzetet megállapítani, bár a remény még él
Papó, a szerencsém elhagyott, de bízni mindig lehet
Csak az a bibi, hogy valszeg nem tudok a helyszínen jelen lenni a finisben, mert arra gondoltam, kitámogatlak a felhőzetet megállapítani, bár a remény még él
Megtiszteltetés lesz a számomra.
Megyek is Sidolért.
A sok ismert győztes közt ott van ez a satya-gyerek is a surranópályán.
Megyek is Sidolért.
A sok ismert győztes közt ott van ez a satya-gyerek is a surranópályán.
Na lehet megint átlagot javítani!

Irány Kecskemét. Lehet tippelni: Link
Télember pedig koronázik majd Siófokon.
Irány Kecskemét. Lehet tippelni: Link
Télember pedig koronázik majd Siófokon.
Köszönöm! Jó nagy mázli is kellett hozzá a többszörös "hajszálértékek" miatt, na meg, hogy ne módosítsam a jó elörejelzést, ami nem sokon múlt... 
Ha még az eredetileg tervezett 7 oktát is megléptem volna, a dobogó is közelebb lenne most (3 kiesövel számolva)
Ha még az eredetileg tervezett 7 oktát is megléptem volna, a dobogó is közelebb lenne most (3 kiesövel számolva)
Ejj, azok a fránya tizedfokok...! De legalább a szél nem "billent át" északira (335° már északi lett volna)
Köszönjük Jákli Iminek az észlelést és az adatokat!
Köszönjük Jákli Iminek az észlelést és az adatokat!
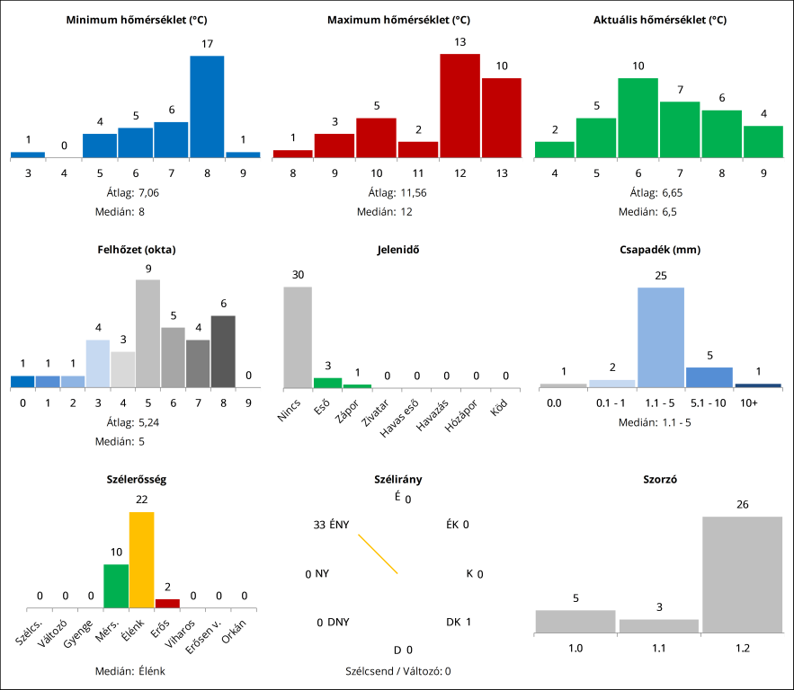
Megköszönve neked összegzem mit tudunk:
Tmin 5,1 °C
Összfelhőzet: 7 okta
Jelenidő: Nincs
Takt: 17,5 °C
Szélirány: 334° (északnyugati)
Erőssége: 1,3 m/s (gyenge)
Tmax 18,6 °C
Csapadék eddig nincs és nem is várható.
Tmin 5,1 °C
Összfelhőzet: 7 okta
Jelenidő: Nincs
Takt: 17,5 °C
Szélirány: 334° (északnyugati)
Erőssége: 1,3 m/s (gyenge)
Tmax 18,6 °C
Csapadék eddig nincs és nem is várható.
A metneten követhetö OMSZ-os ujpesti automa 15:50-kor 18.3°C-ot mért, így ujra feléledt a remény, hogy a tied a 18.6°C-ot megcsípte
Az egyértelműség kedvéért:
A helyszín azonos a met-észessel, de én a metészre a régi észlelési időben (óra 40-50 között) szoktam észlelni, viszont a versenyhez tudomásom szerint az egészes adatokat kell figyelembe venni, nem a 40-eset, amit a metészes észlelésekhez szoktam írni. Tehát ilyenkor a 40-es adatokkal leadom a metészre az akkori állapotot, és ide a versenyhez meg külön az egészeset. És persze külön megnézem a vizuális adatokat egészkor is. Az automata adatok sajátok, nem az újpesti omsz-os automata adatai, tervben volt, hogy majd ide, a metnetre is fel legyenek töltve az automata adatok, csak ennek a kivitelezése félúton elakadt...
A helyszín azonos a met-észessel, de én a metészre a régi észlelési időben (óra 40-50 között) szoktam észlelni, viszont a versenyhez tudomásom szerint az egészes adatokat kell figyelembe venni, nem a 40-eset, amit a metészes észlelésekhez szoktam írni. Tehát ilyenkor a 40-es adatokkal leadom a metészre az akkori állapotot, és ide a versenyhez meg külön az egészeset. És persze külön megnézem a vizuális adatokat egészkor is. Az automata adatok sajátok, nem az újpesti omsz-os automata adatai, tervben volt, hogy majd ide, a metnetre is fel legyenek töltve az automata adatok, csak ennek a kivitelezése félúton elakadt...
Itt Szegeden van 18,5 fok, sőt még tűz is volt arra a reptér felé.( lehet hogy egy Stainfather repcsi esett le, vagy az olimpiai tó nádasa gyulladt ki.) Na majd megmondja a hírek.
Szóval még az is melegítette a levegőt. Machboxnak igaza van az észlelő adatai az elsők.
Fene essen abba a megint fél fokba. Valaki már mondta egyszer, hogy a páros számú fokok a nyerőbbek, Pld: 16,5 fok még 16 fok...
Szóval még az is melegítette a levegőt. Machboxnak igaza van az észlelő adatai az elsők.
Fene essen abba a megint fél fokba. Valaki már mondta egyszer, hogy a páros számú fokok a nyerőbbek, Pld: 16,5 fok még 16 fok...
Söt, akár a kerekített 19-re is lett volna esély Cs nélkül vagy vékonyabb Cs-sel. Eszakabbra és északnyugaton ill. délkeletebbre is nem egy állomáson meglett a 19, ezek mind nem estek a délnyugat-északkelet tengelyü Cs alá. Most a Cs-sáv keletebbre helyezödik, de hogy mire lesz ez még elég... Az a 18,6 nincs olyan nagyon messze pedig
A Metnet-n követhetö automata az az OMSZ-os:
Link - Tulajdonos: OMSZ
A METÉSZ-es adatokban nem vagyok biztos, az lehet, hogy a versenyben szereplö állomás.
Ennek az adatait látod METÉSZ-es észlelöként idöben sürün?
Link - Tulajdonos: OMSZ
A METÉSZ-es adatokban nem vagyok biztos, az lehet, hogy a versenyben szereplö állomás.
Ennek az adatait látod METÉSZ-es észlelöként idöben sürün?
Én úgy tudom/tudtam eddig, hogy a METÉSZes újpesti észlelés az a verseny helyszíni észlelés, ami nem egyenlő se a metnetes, se az OMSZes automata állomással.
Ezt hol látod? Ami automata állomás van metnet-en, az mintha nem a verseny állomása lenne, más adatokat látok. És a METÉSZ-en az Újpest sem? Úgy látom Te is a METÉSZt nézed.
Kár a 18 fokért, előtte 1 óra alatt emelkedett fél fokot, most meg 10 perc alatt… (12:48 - 17,0 fok)
Köszönjük. Talän nem lehetetlen a 18,6°C elérése sem, de 18-as Tmax mar biztos.akkor.
No akkor:
Összfelhőzet: 7 okta
Jelenidő: Nincs
T akt: 17,5 °C
Szélirány: 334° (északnyugati)
Erőssége: 1,3 m/s (gyenge)
Összfelhőzet: 7 okta
Jelenidő: Nincs
T akt: 17,5 °C
Szélirány: 334° (északnyugati)
Erőssége: 1,3 m/s (gyenge)
A felhők jó része el is takarodhatott volna, de még tartják magukat, vagy én voltam túl optimista
Most kb. 6 okta, de nem én észlelek
Most kb. 6 okta, de nem én észlelek
Úgy néz ki, hogy szerencsére a cirrostratus nem fogja vissza nagyon a felmelegedést. Tegnap még hűvösebbnek nézett ki a mai nap (15-16 fokos max körül), de most jó sansz van akár a 17-18 fokra is. 
A mérsékelt szélerősség viszont bukó lehet, még itt nálunk, Érden, az északnyugati szélcsatornában is necces lehet, hát még Újpesten, ami valamivel szélvédettebb ebből az irányból, mint a környék nagy része.
A mérsékelt szélerősség viszont bukó lehet, még itt nálunk, Érden, az északnyugati szélcsatornában is necces lehet, hát még Újpesten, ami valamivel szélvédettebb ebből az irányból, mint a környék nagy része.