Információk az előrejelzési versenyhez
Versenyinformációk
A VERSENYSZABÁLYZATÚj előrejelzés elküldése az előrejelzési versenybe
A legutóbbi forduló eredménye
A verseny összesített állása
A 3 kieső fordulót nem tartalmazó összesített lista
A synop-kódok értelmezéséhez egy kis segítség
Szélirány-meghatározáshoz segítség
Stelvio segítségével megjelenített összesített ranglista
Stelvio segítségével megjelenített örökranglista
Stelvio segítségével megjelenített dicsőséglista
A meteorológiai állomások elhelyezkedése
A meteorológiai állomások beosztása
Gyors számolással látszik, hogy a felhő dönt, mégpedig ott nekem pontokat kéne szereznem ( 6 okta esetén döntetlen valószínű). A T-ket túl alacsonyra raktam.
Plusz a meglévő 2-3, lehet az még 8 is
Persze valszeg nem lesz, de azért viszek sonkát is
Persze valszeg nem lesz, de azért viszek sonkát is
A felhőgenerátort elindítottam a Bakony fölött, már csak Bakonyvár és dabrony segítségére van szükségem és eltoljuk Siófokig azt a még szükséges 5-6 oktát
Takt.: 5,0 °C.
Tmin.: 5,0 °C.
A felhőzet rohamosan csökken, jelenleg 2-3 okta körüli.
A szél nálam élénk, időnként erős, jellemzően inkább északi.
Tmin.: 5,0 °C.
A felhőzet rohamosan csökken, jelenleg 2-3 okta körüli.
A szél nálam élénk, időnként erős, jellemzően inkább északi.
Takt.: 5,3 °C.
Rh.: 71 %.
Td.: 0,5 °C.
Eddigi Tmin.: 5,3 °C.
Szerintem ennyi lesz a Tmin, nem hiszem, hogy még 0,8 °C-ot csökkenne.
Rh.: 71 %.
Td.: 0,5 °C.
Eddigi Tmin.: 5,3 °C.
Szerintem ennyi lesz a Tmin, nem hiszem, hogy még 0,8 °C-ot csökkenne.
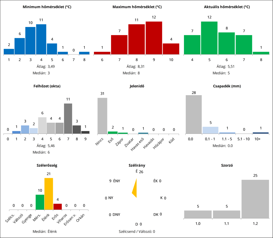
Felhőzetnél érdekes, hogy míg az átlag egészre kerekítve 5 okta, a medián 6 okta, addig a legnagyobb gyakorisággal előforduló érték (módusz) nagy előnnyel a 7 okta. Nem bánnám, ha ezúttal ez a statisztikai mutató jönne be
Elkészült az összefoglaló.
Link
Lesz izgalom a dobogós helyezésekért, ahogy nézem, főleg Pestimet és hófúvás között.
Nagyon mit hozzátenni nem tudok, met4ever nagyjából összefoglalta a lehetőségeket.
Mondjuk BKrisznek vagy nekem nem tudom mennyi esélyünk lenne megcsípni a bronzérmet, az a 3 pont lemaradás eléggé soknak tűnik így látatlanban, inkább arra tippelnék, hogyha satyának nem jön be a joker tippje, akkor MacBook vagy met4ever végezhetne a 3. helyen. 
Lesz izgalom a dobogós helyezésekért, ahogy nézem, főleg Pestimet és hófúvás között.

Gondolj arra, hogy Satya idén nem gasztroesztétikázik a helyszínen
Elsődleges támpontként: az OMSz-os állomáson 20:00-kor 9,9/4,9°C-ról indultunk, s 12 m/s-os északi átlagszéllel , ami már erős kategória. A harmatpont 40 perc alatt majd 3 fokot süllyedt, csak így tovább!

Az utolsó forduló előtt teljesen nyitott a 2022/2023-as téli kör nyertesének kiléte. Pestimet a 3-kiesős összetettben mindössze 1,2 ponttal vezet, amit Hófúvás simán behozhat. Kettőjük tippje között 5 pontnyi különbség van, amihez még hozzájöhet a szorzókülönbség (1,2 vs 1,0) Hófúvás javára, így könnyedén az első helyen találhatja magát kedd reggelre
Satya az eső jelenidős, csapadékos (1,1 - 5 mm) tippével úgy látom mindent egy lapra tett fel. Ha bejön a húzása, behozhatja a 8,6 pontos lemaradását Pestimettel szemben a 3 kiesős összetettben és megszerezheti első összetett győzelmét. Érdekes, de nem lehetetlen verzió lenne
MacBook-kal a Tmin kivételével (5 vs 3°C) ugyanazt a tippsort adtuk le mindketten 1,2-vel. Ezért a 0,2 pontos hajszálnyi lemaradásomat csakis úgy tudnám behozni, ha az én Tmin-em lenne a jobb, ami csak 3, 2 vagy 1°C esetén teljesülne. Hogy hogyan fog 3,5°C alá menni a T holnap reggelig, azt még pontosan nem látom, de bízom abban, hogy a Balatontól elég messze leszünk és hááátha..... A bronzérembe pedig, ha jól látom, még Hidegcseppnek és Bkrisznek van beleszólása. Meg persze Satyának a joker tippjével
Egyszóval izgalmas befejezés a nem túl izgalmasnak kinéző időjárás ellenére
Az én legnagyobb sajnálatomra.
Ugyanis imádom, amikor satya a gastroesztétika eszközeivel próbál engem korrumpálni.
Ugyanis imádom, amikor satya a gastroesztétika eszközeivel próbál engem korrumpálni.
Bizony satya kitelepülő fine dining partijai mindig kecsegtető lehetőségek egy kis korrupcióra. 
Ám az esély mindig, mindenki számára adott, ráadásul a Királynők Városa pedig kiemelt helyet foglal el emlékeim közt.
Ám az esély mindig, mindenki számára adott, ráadásul a Királynők Városa pedig kiemelt helyet foglal el emlékeim közt.
Bizony, mert Te tudod a legjobban, hogy Siófokon satya bármikor képes egy 30 pontos fordulóra. És akkor nekem is kell legalább 25 pontot összekotornom az ezüsthöz
Semmi gond, itt nálunk L.R.-t koronázzák már lassan 10 éve. 
Viszont a közös koronázás elmaradni látszik.
Viszont a közös koronázás elmaradni látszik.
Időpont egyeztetve! Tehát,akkor Siófok és legyen a sorsdöntő,utólsó forduló időpontja,hétfő délelőtt 10 óra.
Politikát feltétlenül be kellett írni egy meteorológiai fórumra...
Sajnálom-üdvözlöm a jégmentes Balcsit, elmarad most is a király koronázás a Duna jegén. OV.
De lesz nekünk más.
Megértelek.
Ilyen kiélezett helyzetben, ami az elején van, én is mindent pontosítanék.
Ilyen kiélezett helyzetben, ami az elején van, én is mindent pontosítanék.
Köszi! Nem árt az infó az újak kedvéért sem. Hajrá Siófok! 
Szerk.: milyen időpontban fogsz észlelni, adatot leolvasni, csak hogy egyértelmű legyen, mert akkor ugye az OMSZ állomással jó lenne időben szinkronban lenni. 50-es, órás...?
Szerk.: milyen időpontban fogsz észlelni, adatot leolvasni, csak hogy egyértelmű legyen, mert akkor ugye az OMSZ állomással jó lenne időben szinkronban lenni. 50-es, órás...?
Csináltam egy lehetséges kiesős listát, azért nézzetek rá!
Maradtak még kérdések Siófokra is.
Apropó: mi az a paraméter, amit nem Télember mér, hanem az OMSZ állomásról vesszük?
Maradtak még kérdések Siófokra is.
Apropó: mi az a paraméter, amit nem Télember mér, hanem az OMSZ állomásról vesszük?
Asszem az első és utolsó tipp volt a befutó, gratulálok 
Ez (is) egy csavaros forduló volt
Ez (is) egy csavaros forduló volt
Köszönöm!
A módosítási lehetőség pedig hasznos infó a jövőre nézve!
Szoktam olvasni a hozzászólásokat, de ez nagyon kimaradt nekem.
Gratulálok!
Szerintem neked most jól jött, hogy nem tudtál módosítani (71912-es hozzászólásod)
. Ettől függetlenül csak hogy tudd: leadási határidőn belül tetszőleges számban lehet módosítani és van, amikor érdemes is. Én például most egy 7,7 pontot érő 1,1-es tippet csűrtem-csavartam addig, míg lett belőle egy 17 pontos 1,0-ás. 
Köszönöm szépen!
Kicsit nagyobb kiderülésre számítottam, de a TOP20 azokkal a pontokkal is távoli álom lenne.
Feccnek gratula a győzelemhez.
A múltkori fordulógyőzelem után sikerült összehoznom a mostani kör legrosszabb fordulóját, az első 10 pont alattit.
Úgy látom az összetett első hely ill. a 3. hely is az utolsó forfulóban dőlhet el, nem beszélve a TOP10-be, TOP20-ba férkőzésről
A múltkori fordulógyőzelem után sikerült összehoznom a mostani kör legrosszabb fordulóját, az első 10 pont alattit.
Úgy látom az összetett első hely ill. a 3. hely is az utolsó forfulóban dőlhet el, nem beszélve a TOP10-be, TOP20-ba férkőzésről
Akkor korrigálva:
Tmax 9 °C (8.
Takt 4 °C (4.4)
Tmin 8 °C (8.0)
7 okta
Szél 310º (ÉNy) 50.4 km/h erős
Csapadék eddig 13 mm
Jelenidő nem volt.
Tmax 9 °C (8.
Takt 4 °C (4.4)
Tmin 8 °C (8.0)
7 okta
Szél 310º (ÉNy) 50.4 km/h erős
Csapadék eddig 13 mm
Jelenidő nem volt.
Eddig a katonai repülőterekkel volt a legkevesebb probléma adattovábbítás szempontjából. Nem tudom mi lehet ott manapság...
Azt sem tudom miért 8,0°C a maximum, amikor 8,8°C is volt. Mivel 10 fok szerintem teljes mértékben kizárható, így 9 fok lesz a maximum.
Jelenidő: Nem volt (72162), eső volt jelenidő ment be elvileg. Ezt a radar is alátámasztja ugye.
Azt sem tudom miért 8,0°C a maximum, amikor 8,8°C is volt. Mivel 10 fok szerintem teljes mértékben kizárható, így 9 fok lesz a maximum.
Jelenidő: Nem volt (72162), eső volt jelenidő ment be elvileg. Ezt a radar is alátámasztja ugye.
Megint a kaotikus adatközlés. Az ogimet is 8-at ad, pedig ott is látni a 8.8-at. Majd jön Imi és megmondja.
Nekem meg az nem világos, hogy a Tmax hogy lehet 8,0, ha volt napközben 8,8 fok is (10UTC-kor), ez is tisztán látszik a táblázatból. Link
Ha igaz:
Tmax 8 °C (8.0)
Takt 4 °C (4.4)
Tmin 8 °C (8.0)
7 okta
Szél 310º (ÉNy) 50.4 km/h erős
Csapadék eddig 13 mm
Jelenidő nekem nem világos a meteomanz szerint Cloudy, rain (radar stb. nem mutatott esőt)
Tmax 8 °C (8.0)
Takt 4 °C (4.4)
Tmin 8 °C (8.0)
7 okta
Szél 310º (ÉNy) 50.4 km/h erős
Csapadék eddig 13 mm
Jelenidő nekem nem világos a meteomanz szerint Cloudy, rain (radar stb. nem mutatott esőt)
Stelvióval összekössük a bajszot, 8-10-5 a nyerő kód. Csak én tettem rá egy kis szaftot a burgerra. 
Link
Link
9 fok már biztos volt és valószínűleg ez lesz a Tmax is, mert már visszahűlt 8 fokra és hamarosan érkezik a csapadék is. Idáig nekem tökéletes!
Szép ez az okklúzíó, csak kár, hogy az 1,2-es leadásánál keletebbre gondoltam, s a Duna-Tisza-közén ilyenkorra már felszakadozást vártam pár melengetö napsugárral. Ehelyett Tmax=9 fok? Vagy 8
Én eddig azt sem tudtam, hogy lehet módosítani...
A lényegen nem változtat, pocsék szezont futottam, a felénél gondolkodtam, hogy ráhagyom.