Információk az előrejelzési versenyhez
Versenyinformációk
A VERSENYSZABÁLYZATÚj előrejelzés elküldése az előrejelzési versenybe
A legutóbbi forduló eredménye
A verseny összesített állása
A 3 kieső fordulót nem tartalmazó összesített lista
A synop-kódok értelmezéséhez egy kis segítség
Szélirány-meghatározáshoz segítség
Stelvio segítségével megjelenített összesített ranglista
Stelvio segítségével megjelenített örökranglista
Stelvio segítségével megjelenített dicsőséglista
A meteorológiai állomások elhelyezkedése
A meteorológiai állomások beosztása
20° van ott is (a kezdő táblázatban sokszor az egész órás értékek jönnek fel, amik olykor kicsit eltérnek az óra 40-es szinoptól). Link
Csapadék végül 4,4 mm lett összesen, a szél pedig gyenge északi (20°/3 m/s) synop alapján.
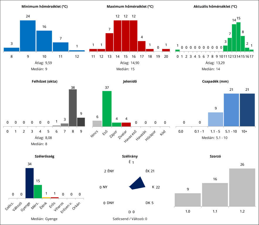
Tmin: 10 fok
Tmax: 14 fok
Felhőzet: 8 okta
Jelenidő: nincs
Takt: 13 fok
Szél: gyenge északi
Csapadék: 1.1-5 mm
Tmin: 10 fok
Tmax: 14 fok
Felhőzet: 8 okta
Jelenidő: nincs
Takt: 13 fok
Szél: gyenge északi
Csapadék: 1.1-5 mm
Akkor amit eddig elvileg tudni lehet, legalábbis a MET-ÉSZ és a Meteomanz alapján:
Tmin: 10 °C (9,9 °C)
Takt: 13 °C (12,6 °C)
Jelenidő: nincs
Felhőzet: 8 okta
Szél: gyenge északkeleti (9,4 km/h, 29°)
A MetNetes automata állomásoknál nézve a nagykanizsai OMSZ állomáson most valamennyire kilőtt a hőmérséklet, kérdés, a Tmax belekarcol-e a 14 fokba, vagy marad 13.
Csapadék 14 óráig bezárólag csak 0,2 mm hullott, de az izgalmak még csak most fognak jönni.
Tmin: 10 °C (9,9 °C)
Takt: 13 °C (12,6 °C)
Jelenidő: nincs
Felhőzet: 8 okta
Szél: gyenge északkeleti (9,4 km/h, 29°)
A MetNetes automata állomásoknál nézve a nagykanizsai OMSZ állomáson most valamennyire kilőtt a hőmérséklet, kérdés, a Tmax belekarcol-e a 14 fokba, vagy marad 13.
Csapadék 14 óráig bezárólag csak 0,2 mm hullott, de az izgalmak még csak most fognak jönni.
Azért adtam semmi jelenidőt, mert "általában az van" meg a 17 óra, ugye lefekvéselőtti szép idő..
Attól függetlenül lehet egy bebíboros jelenés alsó fertályból, és tellik az ibrik akár 20 mm. környékére.
Attól függetlenül lehet egy bebíboros jelenés alsó fertályból, és tellik az ibrik akár 20 mm. környékére.
Volt dolgozó ment nyugdijba, ( boltos) amikor még én vadász voltam, (ellenőr) nem nyúl.Szép évek voltak...

Üdv újra itt mindenkinek! Elkészült az első forduló összefoglalója.
Link
51 tipp érkezett be, remélem, sokan kitartunk a végéig.
Kapásból egy izgalmas fordulónak nézünk elébe, bár ahhoz képest viszonylag egységesek a tippek.
(Meg van egy üresen maradt, 0 fokos Takt is.
)
A Meteomanz szerint 10,4 fok volt éjfélkor, kérdés, hajnalig mennyit hűl még a levegő.
51 tipp érkezett be, remélem, sokan kitartunk a végéig.
A Meteomanz szerint 10,4 fok volt éjfélkor, kérdés, hajnalig mennyit hűl még a levegő.

Felejtettem az 1,2-es szorzót, pedig otthon gubbasztottam, régi találkozóról tértem haza.
Na akkor 1,1.00 a második sortól felfelé , a 0,0-as safety car- ig bezárólag.
Na akkor 1,1.00 a második sortól felfelé , a 0,0-as safety car- ig bezárólag.
Szerintem jól ki lett találva annak idején ez a mostani szorzós rendszer, hogy csak 1,2-es a maximális szorzó 72 órával a versenyidőpont előtt.
Persze, lehetne nagyobb időtávról nagyobb szorzóval is tippelni, csak épp minél nagyobb az időtáv, annál nagyobb a szerencsefaktor aránya a tudással (modell- és makrohelyzet-elezmés, stb.) szemben, arról már nem is beszélve, hogy mindezt egy adott "rácspontra" (állomás helye) és időpontra kell megtenni. Tehát minél nagyobb időtávok és szorzók kerülnének elő, a nagyobb idő okozta modellbizonytalanságok miatt annál inkább válna szerencsejátékká a verseny a tudás és tapasztalat kárára. Márpedig tudtommal itt pont az a lényeg, hogy egy adott helyre és időpontra ki tud minél pontosabban előrejelezni. Természetesen szerencsefaktor így is van, kell is, ettől is izgalmas a verseny, de a mostani szabályok mellett így nagyjából egyensúlyban is van a belevitt tudással. (egy egész szezonra nézve).
Hajrá Mindenkinek!
Persze, lehetne nagyobb időtávról nagyobb szorzóval is tippelni, csak épp minél nagyobb az időtáv, annál nagyobb a szerencsefaktor aránya a tudással (modell- és makrohelyzet-elezmés, stb.) szemben, arról már nem is beszélve, hogy mindezt egy adott "rácspontra" (állomás helye) és időpontra kell megtenni. Tehát minél nagyobb időtávok és szorzók kerülnének elő, a nagyobb idő okozta modellbizonytalanságok miatt annál inkább válna szerencsejátékká a verseny a tudás és tapasztalat kárára. Márpedig tudtommal itt pont az a lényeg, hogy egy adott helyre és időpontra ki tud minél pontosabban előrejelezni. Természetesen szerencsefaktor így is van, kell is, ettől is izgalmas a verseny, de a mostani szabályok mellett így nagyjából egyensúlyban is van a belevitt tudással. (egy egész szezonra nézve).
Hajrá Mindenkinek!
Köszönjük, máris leadok egy egyhetest felülíró egykettest, sajnos az már nem tartható
Akkor induljon a nyári kör Nagykanizsán, az időpont pedig legyen május 12. (péntek), 17 óra (15 UTC). Köszönöm szépen!
Sok szerencsét mindenkinek!
Sok szerencsét mindenkinek!
Hát akkor nem leszünk semminek az elrontója, induljon a nyári kör!
Változás a nyári körben: Budapest-Ferihegy helyére jött Eger városa.
A 2023. évi nyári versenykör 20 versenyfordulójának helyszínei:
Helyszín [állomáskód]
Bécs (Wien-Hohe Warte) [11035]
Békéscsaba [12992]
Budapest-Újpest [metnet-es észlelő]
Csíkszereda (Miercurea Ciuc) [15170]
Debrecen [12882]
Eger [12870]
Felcsút [metnet-es észlelő]
Kecskemét [12970]
Kékestető [12851]
Lomnici-csúcs (Lomnicky Stít) [11930]
Miskolc-Diósgyőr [12772]
Nagykanizsa [12925]
Paks [12950]
Pécs-Egyetem [38528]
Siófok [metnet-es észlelő]
Sopron-Kurucdomb [13704]
Szeged [12982]
Szolnok [12860]
Szombathely [12812]
Zágráb-Maksimir [14240]
Meteorológiai állomások beosztása: Link
Akkor szeretném is megkérni a téli kör első helyezettjét Pestimetet, hogy írja ki valamikor a jövő hét közepre vagy végére az első forduló helyszínét, időpontját. Adunk egy kis időt azoknak is, akik még téli álmot alszanak, meg nekünk is össze kell ütni a beharangozó cikket.
Köszönjük szépen, és akkor hajrá mindenkinek!
Változás a nyári körben: Budapest-Ferihegy helyére jött Eger városa.
A 2023. évi nyári versenykör 20 versenyfordulójának helyszínei:
Helyszín [állomáskód]
Bécs (Wien-Hohe Warte) [11035]
Békéscsaba [12992]
Budapest-Újpest [metnet-es észlelő]
Csíkszereda (Miercurea Ciuc) [15170]
Debrecen [12882]
Eger [12870]
Felcsút [metnet-es észlelő]
Kecskemét [12970]
Kékestető [12851]
Lomnici-csúcs (Lomnicky Stít) [11930]
Miskolc-Diósgyőr [12772]
Nagykanizsa [12925]
Paks [12950]
Pécs-Egyetem [38528]
Siófok [metnet-es észlelő]
Sopron-Kurucdomb [13704]
Szeged [12982]
Szolnok [12860]
Szombathely [12812]
Zágráb-Maksimir [14240]
Meteorológiai állomások beosztása: Link
Akkor szeretném is megkérni a téli kör első helyezettjét Pestimetet, hogy írja ki valamikor a jövő hét közepre vagy végére az első forduló helyszínét, időpontját. Adunk egy kis időt azoknak is, akik még téli álmot alszanak, meg nekünk is össze kell ütni a beharangozó cikket.
Köszönjük szépen, és akkor hajrá mindenkinek!
Kicsit megkésve, én is gratulálok a dobogósoknak , és akik végig játszottak, valamint mindenkinek köszönöm,
aki hozzátett a versenyhez bármilyen módon
Hófúvás: köszönöm, van igazság abban, amit írsz, én végig szó szerint JÁTÉKnak élem meg ezeket aversenyeket, egyszer voltam már dobogós, de ez más volt.
Hosszú ideig vezettem,olykor fölényesen (bár biztos voltam benne, hogy el fog fogyni az előny, csak nem tudtam mikor), ilyenkor az ember eljátszadozik a gondolattal, mi lenne ha…
De ebben a mezőnyben mondhatom sok profi van, akik kemény munkával, de behozták a tetemes hátrányt, mondjuk ehhez kellett néhány betli részemről is, de ez nálam mindig a pakliban van
Lehet, hogy a következő körben a 20-ba se kerülök be, de az is csak arra sarkall, hogy újra és újra nekiveselkedjek, hátha ismét sikerül, mert ne feledjük ez egy játék, minden jó és rossz oldalával, nem érdemes senkinek sem feladni pár forduló után, mert ki tudja legközelebb ki lesz olyan szerencsés mint én voltam legutóbb, úgyhogy a következő körben hajrá, és legyünk minél többen
aki hozzátett a versenyhez bármilyen módon
Hófúvás: köszönöm, van igazság abban, amit írsz, én végig szó szerint JÁTÉKnak élem meg ezeket aversenyeket, egyszer voltam már dobogós, de ez más volt.
Hosszú ideig vezettem,olykor fölényesen (bár biztos voltam benne, hogy el fog fogyni az előny, csak nem tudtam mikor), ilyenkor az ember eljátszadozik a gondolattal, mi lenne ha…
De ebben a mezőnyben mondhatom sok profi van, akik kemény munkával, de behozták a tetemes hátrányt, mondjuk ehhez kellett néhány betli részemről is, de ez nálam mindig a pakliban van
Lehet, hogy a következő körben a 20-ba se kerülök be, de az is csak arra sarkall, hogy újra és újra nekiveselkedjek, hátha ismét sikerül, mert ne feledjük ez egy játék, minden jó és rossz oldalával, nem érdemes senkinek sem feladni pár forduló után, mert ki tudja legközelebb ki lesz olyan szerencsés mint én voltam legutóbb, úgyhogy a következő körben hajrá, és legyünk minél többen
Kissé megkésve, de szeretném megköszönni mindenkinek, aki legalább egy fordulót játszva részt vett a versenyben. Gratulálok azoknak - helyezéstől függetlenül -, akik kitartóan végigjátszották ezt a téli kört. Kiemelten gratulálok ezúttal hófúvás versenytársamnak, hiszen nem sokon múlott a győzelme. Ha hagyom az 1,2-esemet (3°C/8°C/7 okta/-/4°C/élénk északi/0,0), akkor ha jól számoltam döntetlen lett volna a vége.
@hófúvás: Azért azt az egyenletes teljesítményt közelebbről megnézve ott van például a lomnici forduló, ahol 3,6 ponttal az utolsó lettem... Nem vagyok rá büszke, ott valamit nagyon elnéztem...
@met4ever: A versenysorozat kezdeti időszakában emlékeim szerint a mostanihoz képest kétszer ennyien is végig játszottak, így egy régebbi győzelemnek talán nagyobb is az értéke.
A verseny lebonyolításában közreműködőknek köszönet a munkájukért!
@hófúvás: Azért azt az egyenletes teljesítményt közelebbről megnézve ott van például a lomnici forduló, ahol 3,6 ponttal az utolsó lettem... Nem vagyok rá büszke, ott valamit nagyon elnéztem...
@met4ever: A versenysorozat kezdeti időszakában emlékeim szerint a mostanihoz képest kétszer ennyien is végig játszottak, így egy régebbi győzelemnek talán nagyobb is az értéke.
A verseny lebonyolításában közreműködőknek köszönet a munkájukért!
Gratulálok én is a győzteseknek és mindenkinek aki végigjátszotta ezt a szezont is, jó kis csapat ez, igazi keménymag
Köszönet a lebonyolításért, a kiírásokért, meg az időért, amit arra szántok, hogy mi játszhassunk és jól érezhessük magunkat
Hajrá nyári kör!
Köszönet a lebonyolításért, a kiírásokért, meg az időért, amit arra szántok, hogy mi játszhassunk és jól érezhessük magunkat
Hajrá nyári kör!
Csatlakozom a gratulációkhoz! 
Én szokás szerint hamar kikoptam, miután az 5. fordulóban már megvolt a 3. kihagyásom/elfelejtésem is. De a nyári körre már megpróbálok jobban figyelni, főleg, hogy nemsokára "odaát" leteszem a lantot.
Én szokás szerint hamar kikoptam, miután az 5. fordulóban már megvolt a 3. kihagyásom/elfelejtésem is. De a nyári körre már megpróbálok jobban figyelni, főleg, hogy nemsokára "odaát" leteszem a lantot.
Gratulálok a dobogósoknak, különösen Pestimetnek, aki a nyári körhöz hasonlóan most is behúzta az első helyet, nem semmi teljesítmény!
Erős volt a mezőny egészen a végéig, nekem ez a téli kör az elején viszonylag gyatrán indult, de aztán összekaptam magam, és a szerencsés lomnicis forduló után akár a dobogóra is lett volna esélyem. Aztán sajnos visszacsúsztam, és a végén a hajrában ez már „csak” a negyedik helyre volt elég, amivel persze meg vagyok teljesen elégedve, tekintve, hogy korábban mindig a téli körök voltak a gyengéim.
Köszönöm mindenkinek, aki részt vett a lebonyolításban, az észlelőknek az adatokért, hófúvásnak a kiesős listáért, na meg persze a versenyzőknek, akik a végégig kitartottak.
Remélem, hamarosan a nyári körben legalább ennyien vágunk majd bele a versenybe, és sok izgalmas fordulónak nézünk majd elébe.
Köszönöm mindenkinek, aki részt vett a lebonyolításban, az észlelőknek az adatokért, hófúvásnak a kiesős listáért, na meg persze a versenyzőknek, akik a végégig kitartottak.
Megpróbálom, bár olyan nagy az elmaradásom, hogy már szégyellem magam
A rend kedvéért a kiesős végeredmény is frissítve, a táblázat alatt egy kis statisztika található az első 30 helyezettből összpontszám és pontátlag.
Gratulálok Pestimetnek az összetett gyözelemhez, kemény ez így sorban kétszer, nekem anno a másodikhoz 17 év kellett 
Gratulálok a dobogósoknak, TOP10-nek, TOP20-nak, illetve mindenkinek aki kitartott. Hálás köszönet az ábrákért és a kiesös táblázatokért, nagyon látványosak ezekkel a fordulók.
Ha a dobogó nem is, de a TOP5 csak összejött, ami nem is olyan rossz ebben az erös mezönyben, tekintve, hogy alig volt idöm. Bááááár olykor a sok idö sem jó a túlkombinálás miatt
Kis szusszanás után (Stelvio: esetleg ranglisták?
) nyári körre fel!
Gratulálok a dobogósoknak, TOP10-nek, TOP20-nak, illetve mindenkinek aki kitartott. Hálás köszönet az ábrákért és a kiesös táblázatokért, nagyon látványosak ezekkel a fordulók.
Ha a dobogó nem is, de a TOP5 csak összejött, ami nem is olyan rossz ebben az erös mezönyben, tekintve, hogy alig volt idöm. Bááááár olykor a sok idö sem jó a túlkombinálás miatt
Kis szusszanás után (Stelvio: esetleg ranglisták?
Gratulálok én is Pestimetnek és Hófúvásnak az első és a második helyhez, valamint mindenkinek, aki végig játszotta ezt a kört.
Magam részéről összességében elégedett vagyok a 3. hellyel, főleg a nagyon gyenge első félidő után (10. forduló - 23. hely). Sőt ha jól látom az össz.pontszámban és össz.kiesőben is első helyen végeztem.
Viccet félretéve, köszönet azoknak is, akik valamivel hozzájárultak a verseny szervezéséhez, lebonyolításához, élvezhetőbbé tételéhez (táblázatok, ábrák).
Magam részéről összességében elégedett vagyok a 3. hellyel, főleg a nagyon gyenge első félidő után (10. forduló - 23. hely). Sőt ha jól látom az össz.pontszámban és össz.kiesőben is első helyen végeztem.
Gratulálok Pestimetnek, szép egyenletes teljesítményt hozott végig, nagyon erősnek bizonyult, jóllehet kis szerencsével talán befogható lett volna, ha a volna ott nem volna. Gratuláció az egész mezőnynek, akik végigcsinálták az idényt, nem volt egyszerű menet, különösen MacBook bronzához és nagy hajrájához, de külön kalaplengetésem satyának, aki nagyszerűen játszott, és tényleg játszott, akkor is, mikor befoghatatlannak tűnt. Feltétlenül övé a fair play díj ezért.
(A magaméhoz még annyit értékelésként (cél az első 10 volt, így ez bőven túlteljesítve), hogy nem lehet úgy idényt nyerni, ha nincs egyetlen forduló győzelmem sem, pedig 14 fordulóban végeztem a 10 között, de csak egyszer álltam dobogón. Kell a kiemelkedő teljesítmény, nem elég a jó egyenletes. Na majd legközelebb
)
(Perico: sorry, látom a hibát, elnézést, valamit elnéztem, egy pontszáma hiányzott.)
(A magaméhoz még annyit értékelésként (cél az első 10 volt, így ez bőven túlteljesítve), hogy nem lehet úgy idényt nyerni, ha nincs egyetlen forduló győzelmem sem, pedig 14 fordulóban végeztem a 10 között, de csak egyszer álltam dobogón. Kell a kiemelkedő teljesítmény, nem elég a jó egyenletes. Na majd legközelebb
(Perico: sorry, látom a hibát, elnézést, valamit elnéztem, egy pontszáma hiányzott.)
Gratulálok a téli versenykör győztesének és dobogósainak! 
-------------------------
Ami a saját teljesítményemet illeti, nem vagyok megelégedve vele. Még mindig gyakori nálam a figyelmetlenség miatti szorzóvesztés, a sorozat szégyenfoltja pedig a 2. forduló volt Kanizsán, ahol utolsó lettem, épp ott, ahol nyáron még fölényesen nyertem. Öröm az ürömben, hogy legalább több 10- pontos forduló nem volt, igaz 20+ is csak egy, Szombathelyen.
Bevallom, kicsit beleéltem már magam a 20. helybe és hogy másfél év után ismét én koronáztathatok majd (van egy tippem, hogy hol...
), de szerintem Hófúvás 19. fordulós kiesős listáján jocika8627 jóval hátrébb szerepelt, mint ahol valójában volt, így pedig én sem a 20. helyemet tartottam meg a záró fordulóban, hanem csak a 21.-et. Na, mindegy! Ettől függetlenül idén is nagyon köszönöm Hófúvásnak a rendszeres kiesős lista készítést!
És mind a 34 versenyzőnek, aki befejezte a sorozatot, hogy részt vettetek benne! 
Most pihenjünk rá a nyári körre, aztán hajrá!
Cél: Vissza a TOP 20-ba (...de inkább a 10-be)
-------------------------
Ami a saját teljesítményemet illeti, nem vagyok megelégedve vele. Még mindig gyakori nálam a figyelmetlenség miatti szorzóvesztés, a sorozat szégyenfoltja pedig a 2. forduló volt Kanizsán, ahol utolsó lettem, épp ott, ahol nyáron még fölényesen nyertem. Öröm az ürömben, hogy legalább több 10- pontos forduló nem volt, igaz 20+ is csak egy, Szombathelyen.
Bevallom, kicsit beleéltem már magam a 20. helybe és hogy másfél év után ismét én koronáztathatok majd (van egy tippem, hogy hol...
Most pihenjünk rá a nyári körre, aztán hajrá!
Gratulálok a győztesnek, szép teljesítmény! 
Egyúttal köszönöm mindenkinek, aki végigjátszotta velünk ezt a kört is, kevesebb lenne a MetNet enélkül a verseny nélkül
Sok idő nincs a pihenésre, néhány hét és jövünk megint
Egyúttal köszönöm mindenkinek, aki végigjátszotta velünk ezt a kört is, kevesebb lenne a MetNet enélkül a verseny nélkül
No, hát akkor a koronázó fordulót lepontoztam, amit mzs nyert. Gratulálok neki!
Forduló: Link
Összetett: Link
És akkor így néz ki a TOP20:
A sorozat első 20 helyezettje:
1. Pestimet
2. hófúvás
3. MacBook
4. Hidegcsepp95
5. met4ever
6. satya
7. szabóka
8. BKrisz
9. zseegee
10. mzs
11. adél 21
12. deco05
13. Gordonka
14. coontac
15. mikahock
16. Blizzard
17. Misimókus
18. jocika8627
19. Tullner_Job
20. dabrony
Gratulálok mindenkinek, aki kitartott a végéig (nekem nem sikerült, majd az egy hónap múlva induló nyári körben igyekszem) és elégedett a teljesítményével. Szerintem összességében elmondható, hogy egy izgalmakkal teli téli kört zártunk. Kiemelten szeretnék gratulálni Petimet-nek, akit nem sikerült senkinek sem letaszítani a trónról, ugyanis az előző nyári körben is első helyezett volt illetve most is.
Köszönöm az észleleteket az itteni kollégáknak: Télembernek és Jimr-nek.
Találkozunk május első heteiben! Addig is jó rápihenést mindenkinek a nyári körre!
Forduló: Link
Összetett: Link
És akkor így néz ki a TOP20:
A sorozat első 20 helyezettje:
1. Pestimet
2. hófúvás
3. MacBook
4. Hidegcsepp95
5. met4ever
6. satya
7. szabóka
8. BKrisz
9. zseegee
10. mzs
11. adél 21
12. deco05
13. Gordonka
14. coontac
15. mikahock
16. Blizzard
17. Misimókus
18. jocika8627
19. Tullner_Job
20. dabrony
Gratulálok mindenkinek, aki kitartott a végéig (nekem nem sikerült, majd az egy hónap múlva induló nyári körben igyekszem) és elégedett a teljesítményével. Szerintem összességében elmondható, hogy egy izgalmakkal teli téli kört zártunk. Kiemelten szeretnék gratulálni Petimet-nek, akit nem sikerült senkinek sem letaszítani a trónról, ugyanis az előző nyári körben is első helyezett volt illetve most is.
Köszönöm az észleleteket az itteni kollégáknak: Télembernek és Jimr-nek.
Találkozunk május első heteiben! Addig is jó rápihenést mindenkinek a nyári körre!
Sztem Pestimet megőrizte vezető helyét, gratulálok a jó hajrájához, végső győzelmet ért
T akt.: 8,5 °C.
Szerintem bevéshetjük a 9,6 °C-os T maxot.
Mivel csapadék eddig nem volt és vélhetően nem is lesz, ha úgy látjátok, szerintem akár pontozhatunk is.
A Sidolt elhasználtam, vajon kinek a fejére helyezhetem a csilivili virtuális koronát?
Szerintem bevéshetjük a 9,6 °C-os T maxot.
Mivel csapadék eddig nem volt és vélhetően nem is lesz, ha úgy látjátok, szerintem akár pontozhatunk is.
A Sidolt elhasználtam, vajon kinek a fejére helyezhetem a csilivili virtuális koronát?
Összfelhőzet: 2 okta
Jelenidő: Nincs
T min: 4,9°C
T akt: 7,8°C
Szélirány: 350° (északi)
Erőssége: 13 m/s (erős)
Eddig ezeket tudjuk.
Jelenidő: Nincs
T min: 4,9°C
T akt: 7,8°C
Szélirány: 350° (északi)
Erőssége: 13 m/s (erős)
Eddig ezeket tudjuk.
Takt.: 7,8 °C.
Felhőzet: 2 okta Cu.
Jelenidő: nincs.
Szélerősség és irány nem az enyém, de szerintem északi és erős (esetleg viharos a parton).
Szerk.: észlelési naplóban is rögzítve.
Felhőzet: 2 okta Cu.
Jelenidő: nincs.
Szélerősség és irány nem az enyém, de szerintem északi és erős (esetleg viharos a parton).
Szerk.: észlelési naplóban is rögzítve.
Robognak csakhogy a Balatonhoz közeledve a szél elfogyasztja őket reggelire. Webkamerán csak a horizonton látszanak. (itt már csaknem borult)
Én a helyedben nem aggódnék, itt is sok a felhő és gyorsan robognak, egyenest Siófok felé
Ja most látom, sőt Bakonyvár is négyest adott. Valamit tudtatok! Akkor sül a bukta
(A Bakony-alja erősen felhős)
Bocsi én ebben nem tudok (nem is akarok
) segíteni, hisz 4 oktát adtam