Információk az előrejelzési versenyhez
Versenyinformációk
A VERSENYSZABÁLYZATÚj előrejelzés elküldése az előrejelzési versenybe
A legutóbbi forduló eredménye
A verseny összesített állása
A 3 kieső fordulót nem tartalmazó összesített lista
A synop-kódok értelmezéséhez egy kis segítség
Szélirány-meghatározáshoz segítség
Stelvio segítségével megjelenített összesített ranglista
Stelvio segítségével megjelenített örökranglista
Stelvio segítségével megjelenített dicsőséglista
A meteorológiai állomások elhelyezkedése
A meteorológiai állomások beosztása
És a kiesős is friss és ropogós.
Hibákat kérem az öltözőbe küldeni, nagyon siettem.
Hibákat kérem az öltözőbe küldeni, nagyon siettem.
Pedig már újságoltam az Asszonynak, hogy megint az a kurva tized!
Zamg-on 16 órakor ( bár nem tudom ott mikor észlelték, 40-50-00) a maxi? is megszületett, kerekített 34°C (33,5)
Vajon mennyin múlott, hogy az akt. is annyi legyen?
Vajon mennyin múlott, hogy az akt. is annyi legyen?
Köszi az adatokat!
Hófúvás, neked pedig a kiesős listát!
Morci leszek, ha holnap reggelig nem lesz csapadék! Előre szólok...!
Morci leszek, ha holnap reggelig nem lesz csapadék! Előre szólok...!
Jó ebédhez szól a lista.
Kiesett a kiesős számítás előkészületéből egy 9. forduló utáni lista, amit nem tartok titokban, a fenti linken találjátok. Elég hihetetlen mozgások vannak benne a MetNet-es listához képest, talán nagyon nem számoltam el! (bár úgy lenne!)
Kiesett a kiesős számítás előkészületéből egy 9. forduló utáni lista, amit nem tartok titokban, a fenti linken találjátok. Elég hihetetlen mozgások vannak benne a MetNet-es listához képest, talán nagyon nem számoltam el! (bár úgy lenne!)
Hohe warte; óránként frissül. Legalább is gépen. Katincs rá késöbb is, és az aktuális helyzetet mutassa, (UTC) a legfelső sorban.
Link
Link
El is készült az összefoglaló.
Link
Vizipóknak valahogy becsúszott egy üresen maradt tippsor, úgyhogy azt nem vettem figyelembe. Túl sok izgalom erre a fordulóra sem néz ki, talán a felhőzetnél van valamennyi eltérés, illetve a gyenge/mérsékelt szél között van majdnem ugyanannyi tipp, két táborra szakadva.
Vizipóknak valahogy becsúszott egy üresen maradt tippsor, úgyhogy azt nem vettem figyelembe. Túl sok izgalom erre a fordulóra sem néz ki, talán a felhőzetnél van valamennyi eltérés, illetve a gyenge/mérsékelt szél között van majdnem ugyanannyi tipp, két táborra szakadva.

Hát, nekem olyan kiegyensúlyozottan ócska szezonom volt idáig (leszámítva a legutolsó fordulót), hogy rajtam ez sem sokat segít, sőt...
De persze attól még várom.
Bécs után szándékozom szembesíteni a mezőnyt a kiesős listával.
Van aki alig várja, van aki nem annyira
Van aki alig várja, van aki nem annyira
05UTC és 21UTC között minden órában van észlelés Bécs Hohe Warte állomáson, + általában 00UTC-kor is.
Szabályzat szerint csak a fő- és mellékterminusok időpontjai választhatók Bécs esetén (mintha csak akkor lenne észlelés?), vagy ez azóta frissült?
Gratulálok a győzteseknek!
Nekem most először lett normálisabb pontszámom (>16 pont) a szezonban. Épp itt volt már az ideje!
Nekem most először lett normálisabb pontszámom (>16 pont) a szezonban. Épp itt volt már az ideje!
Gratulálok a triónak. A következő forduló már félidő, gyorsan megy az idő.
Mivel csapadék sem lesz és a napi maximum is beállt 32,6 fokkal, így a fordulót lepontoztam, amit Hidegcsepp, Télember, szabóka trió nyerte. Gratulálok nekik!
Forduló: Link
Összetett: Link
A félidei forduló kiírását mzs-től várjuk.
Választható helyszínek:
Bécs (Wien-Hohe Warte) [11035]
Békéscsaba [12992]
Budapest-Újpest [metnet-es észlelő]
Felcsút [metnet-es észlelő]
Kecskemét [12970]
Miskolc-Diósgyőr [12772]
Paks [12950]
Pécs-Egyetem [38528]
Siófok [metnet-es észlelő]
Szeged [12982]
Szolnok [12860]
Meteorológiai állomások beosztása: Link
Forduló: Link
Összetett: Link
A félidei forduló kiírását mzs-től várjuk.
Választható helyszínek:
Bécs (Wien-Hohe Warte) [11035]
Békéscsaba [12992]
Budapest-Újpest [metnet-es észlelő]
Felcsút [metnet-es észlelő]
Kecskemét [12970]
Miskolc-Diósgyőr [12772]
Paks [12950]
Pécs-Egyetem [38528]
Siófok [metnet-es észlelő]
Szeged [12982]
Szolnok [12860]
Meteorológiai állomások beosztása: Link
Összfelhőzet: 1 okta
Jelenidő: Nincs
Szélirány: 64° (északkeleti)
Erőssége: 1,9 m/s
T akt: 31,1°C
T min: 17,3˘C.
Eddig ezeket tudjuk. A T max eddig 32,2°C.
Jelenidő: Nincs
Szélirány: 64° (északkeleti)
Erőssége: 1,9 m/s
T akt: 31,1°C
T min: 17,3˘C.
Eddig ezeket tudjuk. A T max eddig 32,2°C.
Ugyanez volt a dilemmám, s mivel nem tudtam dönteni, a 30/32 páros született 
13:51 31,1°C, 1 okta (METÉSZ)
gyenge keleti szél (Metnetes adatokból)
13:51 31,1°C, 1 okta (METÉSZ)
gyenge keleti szél (Metnetes adatokból)
Először 31/32 °C-os akt/max párost adtam, kár volt átírnom 30/31 °C-ra.
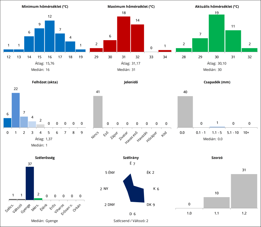
Kissé megkésve, de így a forduló időpontjára sikerült elkészítenem az összefoglalót.
Link
Az eddigiek után ez most egy igazi nyugodt, átlagjavító forduló lett. Persze így a zavarosban sem lehet nagyon halászni, inkább az apróságokkal lehet itt-ott pontokat elcsípni még pluszban.
Az eddigiek után ez most egy igazi nyugodt, átlagjavító forduló lett. Persze így a zavarosban sem lehet nagyon halászni, inkább az apróságokkal lehet itt-ott pontokat elcsípni még pluszban.

13:20 kerekített 32°C. Ha jól látom, csak 2 ilyen tipp született a Takt-ra. Bár addig még 33 is lehet
1 órával a verseny időpontja előtt 30,9°C volt, s 1 okta Cu. Tegnap ilyenkor torpant meg a hőmérséklet emelkedés 30,0°C-nál, de volt 3-4 okta cirrus...
