Információk az előrejelzési versenyhez
Versenyinformációk
A VERSENYSZABÁLYZATÚj előrejelzés elküldése az előrejelzési versenybe
A legutóbbi forduló eredménye
A verseny összesített állása
A 3 kieső fordulót nem tartalmazó összesített lista
A synop-kódok értelmezéséhez egy kis segítség
Szélirány-meghatározáshoz segítség
Stelvio segítségével megjelenített összesített ranglista
Stelvio segítségével megjelenített örökranglista
Stelvio segítségével megjelenített dicsőséglista
A meteorológiai állomások elhelyezkedése
A meteorológiai állomások beosztása
El is készült az összefoglaló.
Link
Nem lesz egy piskóta forduló, persze ilyenkor lehet nagyot kaszálni, vagy éppen fordítva, az egyik kiesős pontot összehozni.
Nem lesz egy piskóta forduló, persze ilyenkor lehet nagyot kaszálni, vagy éppen fordítva, az egyik kiesős pontot összehozni.

1,2-es lekésve. 1,1-es leadva, majd fél perccel a végső leadási határidő előtt módosítva: eső jelenidő kivéve, Takt 2 fokkal feljebb, Tmax 1 fokkal feljebb, s 8 oktáról 6-ra. Mert olvastam, hogy 1,0-ssal is lehet nyerni 
Ma 12 UTC-kor amugy 31,9°C volt mérsékelt déli szélben.
Ma 12 UTC-kor amugy 31,9°C volt mérsékelt déli szélben.
Én meg péntek 14 órára emlékeztem, mint 1,2-es.
No, nem baj, 1,1-es szorzóval nyerek.
No, nem baj, 1,1-es szorzóval nyerek.
Én is leadtam, de szerintem hamarosan pápá egykettes, jöhet az egyegyes
Parádés az időpont-választás, de a sima nyerőt már le is adtam, ne siessetek, jobb egy biztos 1.0-s, mint a lutri 1.2-es
Még szűk másfél óra az egykettesből, hát kacifántos lesz, az biztos, de aki nem mer, az nem is nyer
Hát, én ha így haladok, maradok a "boxutcában". Idén egyszerűen nem pörgök valahogy ebben a versenyben. Általában nincs katasztrófálisan rossz fordulóm vagy csak nagyon kevés, de valahogy nem jönnek az erős fordulók sem. Egyetlen 18 pontos fordulóm van, mellé még egy 16,8-as, azzal még elégedett vagyok, 15,6-ra már hümmögök, de elfogadom, az alatt viszont már morgok magamra, meg az időjárásra (néha az észlelőre is...
)
Márpedig az eddigi 12 fordulóból mindössze 3 volt 15 pont feletti nálam...
Amúgy gratula a győztes duónak!
Márpedig az eddigi 12 fordulóból mindössze 3 volt 15 pont feletti nálam...
Amúgy gratula a győztes duónak!
Gratula a 15,6-os mezőnynek, és megtisztelés emme középmezőnyben lenni.
Célom a 20. hely, a safety car előtt pár méterre a rajtnál.
Célom a 20. hely, a safety car előtt pár méterre a rajtnál.
Még az aktuális eredmény és a komment özön előtt szeretném megadni a 13. forduló idejét.
Legyen Csobánka névnapján, Szolnokon augusztus 6. 12 UTC
Legyen Csobánka névnapján, Szolnokon augusztus 6. 12 UTC
18 UTC
6 okta, 23°C, gyenge déli szél, jelenidő nincs
Az előző 2 órában fújó északnyugati szél jól leamortizálódott délire.
6 okta, 23°C, gyenge déli szél, jelenidő nincs
Az előző 2 órában fújó északnyugati szél jól leamortizálódott délire.
Elkészült az összefoglaló.
Link
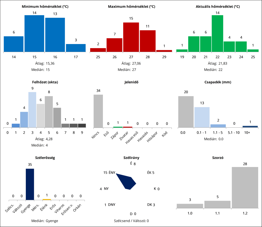
Van egy felcserélt Tmin és Tmax érték, azt a diagramon visszacserélve írtam bele, még ha pontot nem is fog érni. Túl sok izgalom egyébként nem mutatkozik ebben a fordulóban (nekem pl. sikerült minden tippnél a móduszt, vagyis a leggyakrabban előforduló értéket leadnom
), talán a felhőzet, illetve a csapadék lehet a döntő, hogy betalál-e valami kis zápor vagy esetleg zivatar a nap folyamán. 
A MetNet automata állomásoknál nézve eddig 17,8 fokig csökkent a hőmérséklet, kérdés, mennyit megy még lejjebb hajnalig.
Van egy felcserélt Tmin és Tmax érték, azt a diagramon visszacserélve írtam bele, még ha pontot nem is fog érni. Túl sok izgalom egyébként nem mutatkozik ebben a fordulóban (nekem pl. sikerült minden tippnél a móduszt, vagyis a leggyakrabban előforduló értéket leadnom
A MetNet automata állomásoknál nézve eddig 17,8 fokig csökkent a hőmérséklet, kérdés, mennyit megy még lejjebb hajnalig.

pzs, BKrisz, hófúvás, honza azonos pontszámmal az első négy befutó. A csapadéknak pedig nincs mit utána nézni, ha egy-egy csepp ér talajt, akkor is "nagyon gyenge" intenzitás megy be, ezáltal simán lehetett ebben az időjárási helyzetben, hogy még egy tizedet sem érte el a napi csapadékösszeg,
Forduló: Link
Összetett: Link
deco05 lesz a következő kiíró, így szeretnénk kérni egy helyszínt és egy időpontot.
A félidei forduló kiírását mzs-től várjuk.
Választható helyszínek:
Békéscsaba [12992]
Budapest-Újpest [metnet-es észlelő]
Felcsút [metnet-es észlelő]
Kecskemét [12970]
Miskolc-Diósgyőr [12772]
Pécs-Egyetem [38528]
Siófok [metnet-es észlelő]
Szeged [12982]
Szolnok [12860]
Állomások beosztása: Link
Forduló: Link
Összetett: Link
deco05 lesz a következő kiíró, így szeretnénk kérni egy helyszínt és egy időpontot.
A félidei forduló kiírását mzs-től várjuk.
Választható helyszínek:
Békéscsaba [12992]
Budapest-Újpest [metnet-es észlelő]
Felcsút [metnet-es észlelő]
Kecskemét [12970]
Miskolc-Diósgyőr [12772]
Pécs-Egyetem [38528]
Siófok [metnet-es észlelő]
Szeged [12982]
Szolnok [12860]
Állomások beosztása: Link
Délnyugati, 220°-os.
Tmin 15 (15,3)
Tmax 28 (28,4)
Takt 21 (20,8 )
Felh 8 okta
Szél gyenge (2 m/s) délnyugati (220°)
Szign nem volt
Csap nyom
Tmin 15 (15,3)
Tmax 28 (28,4)
Takt 21 (20,8 )
Felh 8 okta
Szél gyenge (2 m/s) délnyugati (220°)
Szign nem volt
Csap nyom
Legalább nyomnak mindenképp kellett lennie csapadék jelenidő észlelés után. Ez aztán sajnos gyakran nem kerül be a synopba manapság.
Szerk: Metész-ben ott is a nyom a 24 órás csapadékra ma reggel 6:45-kor.
Szerk: Metész-ben ott is a nyom a 24 órás csapadékra ma reggel 6:45-kor.
Gondolom dögüllő pötyorgés volt végig...
Én leginkább a saját hőmérséklet tippsoromon vagyok kiakadva, hogy tudtam ilyen magas Tmin-Takt párost adni. Látszik, hogy mikor leadtam még kánikula volt. Ez a forduló sem lesz egy sikersztori...
Én leginkább a saját hőmérséklet tippsoromon vagyok kiakadva, hogy tudtam ilyen magas Tmin-Takt párost adni. Látszik, hogy mikor leadtam még kánikula volt. Ez a forduló sem lesz egy sikersztori...
Ezt már nem hiszem el!
Egerben 100 kilométeres körzetben sehol nem esett, éppen csak az állomásnál, most pedig 10 percen múlott a jelenidő.
20:51-kor az észlelő nem észlelt csapadékot, a radar igen, a magasban.... 
8 okta, 20,8°C
Tmax 28,4°C
És 20:40-ig nem lérte el a csapadék a 0,1 mm-t az automata szerint, miközben délnyugatra nem messze 1-2 mm ill. felette is hullott. Na, akkor itt az ideje kimenni a friss levegőre
8 okta, 20,8°C
Tmax 28,4°C
És 20:40-ig nem lérte el a csapadék a 0,1 mm-t az automata szerint, miközben délnyugatra nem messze 1-2 mm ill. felette is hullott. Na, akkor itt az ideje kimenni a friss levegőre
Épp írni akartam, hogy vajh lesz-e összefoglaló a jelenidő előtt még?
Így a forduló időpontjához közeledve elkészült az összefoglaló.
Link
A tízpercesek szerint 28,3 fok volt a teteje, kérdés, hogy az intervallumok között ment-e még feljebb néhány tizedet, vagy sem. Nyugat felől pedig már közeledik a csapadékzóna, úgyhogy lehet miért izgulni.
A tízpercesek szerint 28,3 fok volt a teteje, kérdés, hogy az intervallumok között ment-e még feljebb néhány tizedet, vagy sem. Nyugat felől pedig már közeledik a csapadékzóna, úgyhogy lehet miért izgulni.

Boldog Névnapot az Emíliáknak!
Lányom ugyanis szólt, hogy: apu még 24 perced van az 1,2-ig!
Lányom ugyanis szólt, hogy: apu még 24 perced van az 1,2-ig!
Nyuli, nehogy abba hagyjad a nyári kört.
Tudom nehéz megemészteni a kevés pontokat, de lesz ez jobb is.
Trentó is durrantott egy körben, neked is lehet még.
Tudom nehéz megemészteni a kevés pontokat, de lesz ez jobb is.
Trentó is durrantott egy körben, neked is lehet még.
Én inkább neked akartam kedvezni (nemtrópusi éjszaka, nem túl meleg nappal, felhős délután), meg is lett az eredménye.