Információk az előrejelzési versenyhez
Versenyinformációk
A VERSENYSZABÁLYZATÚj előrejelzés elküldése az előrejelzési versenybe
A legutóbbi forduló eredménye
A verseny összesített állása
A 3 kieső fordulót nem tartalmazó összesített lista
A synop-kódok értelmezéséhez egy kis segítség
Szélirány-meghatározáshoz segítség
Stelvio segítségével megjelenített összesített ranglista
Stelvio segítségével megjelenített örökranglista
Stelvio segítségével megjelenített dicsőséglista
A meteorológiai állomások elhelyezkedése
A meteorológiai állomások beosztása
Figyelmes észlelő előnyben 
Gratula a nyerteseknek. Szélcsend meg sem fordult a fejemben.
Gratula a nyerteseknek. Szélcsend meg sem fordult a fejemben.
Északra lenn a horizonton volt illetve még most is van lenn egy kevés Ac.
A szélcsend az rendben van, az 1 oktát nem értem
A jakuzzi fölött alakult ki?
Na hát akkor haladjunk szépen sorban. A felcsúti fordulót Télember, herbary, stelvio, deco05 nyerte. Gratulálok nekik!
Forduló: Link
Összetett: Link
mikahock lesz a következő kiíró, így szeretnénk kérni egy helyszínt és egy időpontot.
Választható helyszínek:
Békéscsaba [12992]
Budapest-Újpest [metnet-es észlelő]
Kecskemét [12970]
Pécs-Egyetem [38528]
Siófok [metnet-es észlelő]
Szeged [12982]
Állomások beosztása: Link
Forduló: Link
Összetett: Link
mikahock lesz a következő kiíró, így szeretnénk kérni egy helyszínt és egy időpontot.
Választható helyszínek:
Békéscsaba [12992]
Budapest-Újpest [metnet-es észlelő]
Kecskemét [12970]
Pécs-Egyetem [38528]
Siófok [metnet-es észlelő]
Szeged [12982]
Állomások beosztása: Link
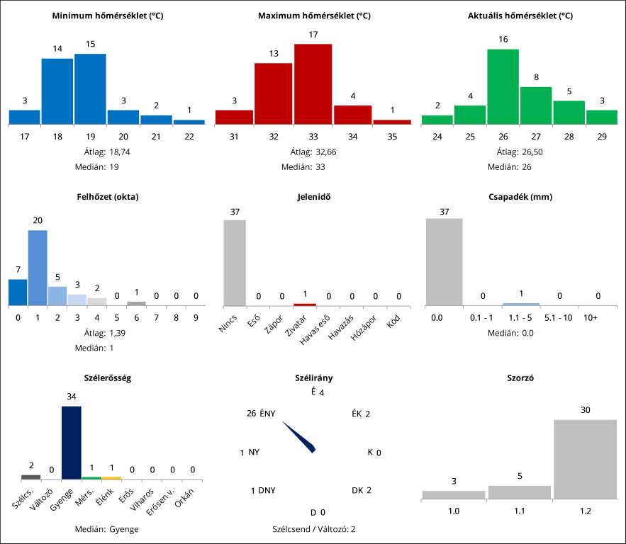
Összfelhőzet: 1 okta
Jelenidő: Nincs
T min: 17,6°C
T max: 34,9°C
T akt: 27,9°C
Szélirány/szélsebesség: szélcsend.
Csapadék: Nem volt.
Úgyhogy pontozok.
Jelenidő: Nincs
T min: 17,6°C
T max: 34,9°C
T akt: 27,9°C
Szélirány/szélsebesség: szélcsend.
Csapadék: Nem volt.
Úgyhogy pontozok.
Keresik.
Olyan szélcsend van mint a ház. Mielőtt még jön valaki, hogy belterület, neki/nekik mondom, hogy külterületen is szélcsend van. Na mindjárt jön az észlelet.
Hát a jelenlegi helyezésemre gondoltam, az előre lépéshez kapcsolódó esélyeimet illetően
Augusztus 20 jól bekavart, a Liszt Ferire adtam le a tippet
Modjjuk már mind1, leadhattam volna Kamcsatkára is
Modjjuk már mind1, leadhattam volna Kamcsatkára is
11:20-kor 30,8 fok. Jól felszaladt... Ráadásul 23,3 fokos Td mellett az nagyon "fincsa" hőérzettel társulhat.
Ott egye meg a fene...
Misimókussal ketten adtunk 17-et, nagyon bíztam benne
Misimókussal ketten adtunk 17-et, nagyon bíztam benne
El is készült az összefoglaló.
Link
Túl sok izgalom nem néz ki, eléggé átlagjavító fordulónak tűnik ez, persze aztán ki tudja.
Túl sok izgalom nem néz ki, eléggé átlagjavító fordulónak tűnik ez, persze aztán ki tudja.

Tegnap olvastam és like-oltam, hogy aztán elfelejtsem leadni. Túl hamar jött a figyelmeztetés
Hogy megtörjem a csendet, ma este nyolcig egykettes, aki hallja, adja át, hogy adja le
Azért Imi, és a központi Met hu közt lehet majd lavírozni, Éppen a kérdéses időpontban. 
Szerintem nem, sőt majd látni a Pest felé lopakodó zivi frontok utvonalát., Ha lesznek.
Nagyon fajjer időt adnak az előrék.
Nagyon fajjer időt adnak az előrék.
Pihenünk egy hetet változatosabb idöszakra várva, vagy bevállaljuk az augusztusi másodnyarat egy trükkös állomásra?
Köszi! Szolnokon emlékeim szerint - ezt megelőzően - még nem nyertem fordulót, de általában feküdni szokott ez a helyszín. 
Na ugye, hogy nem is baj néha lekésni az 1,2-est?
Hú, pedig de mérges voltam magamra, mikor csütörtök délután rádöbbentem, hogy már megint kicsúsztam az időből.
Na ugye, hogy nem is baj néha lekésni az 1,2-est?
Gratula a gyözelemhez!
Sikerült csak 1,5 ponttal lerontanom az elörejelzésemet a módosítással, mert csak az 1,1-es szorzót vesztettem el. Ha 1,2-es lett volna, nagyobb lett volna a veszteség, így nem is olyan nagy baj, hogy lekéstem az 1,2-est
Sikerült csak 1,5 ponttal lerontanom az elörejelzésemet a módosítással, mert csak az 1,1-es szorzót vesztettem el. Ha 1,2-es lett volna, nagyobb lett volna a veszteség, így nem is olyan nagy baj, hogy lekéstem az 1,2-est
Köszönjük!
Első hét versenyző között hat pont különbség!
Öldöklő csata folyik!
Ja nem, kiélezett JÁTÉK!
Első hét versenyző között hat pont különbség!
Öldöklő csata folyik!
Ja nem, kiélezett JÁTÉK!
Mi a csuda? 
2 napig nem jártam az oldalon, nagyon az időjárást sem követtem (legalábbis a Dunától keletre nem) ez most nagyon meglepett.
2 napig nem jártam az oldalon, nagyon az időjárást sem követtem (legalábbis a Dunától keletre nem) ez most nagyon meglepett.
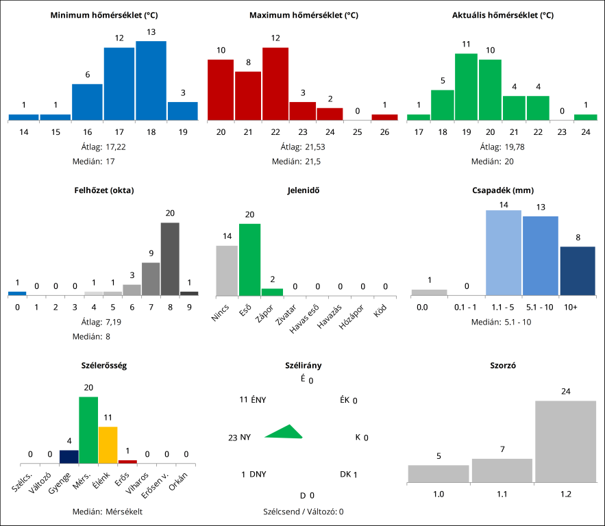
A 11:40 UTC-s synopban a 8 okta, 12:00 UTC-sben 7. Metész-re nem került fel észlelés.
Szerk: ez a synop sűrűség is fura. Ogimeten van 11:00, 11:10, 11:40 és 12:00 UTC-re is.
Szerk: ez a synop sűrűség is fura. Ogimeten van 11:00, 11:10, 11:40 és 12:00 UTC-re is.
A 8 okta most látom 13:40-kor volt. Furcsa, hogy egyszerre 2 időpont jelenik meg fordított idő-sorrendben.
12 UTC Ogimet
12860 11580 72604 10187 20150 39914 40018 52012 60021 70286 878//
333 82820 87625 555 10079 55093 /7436=
7 okta
mérs. nyugati szél (260°, 4 m/s)
18,7°C
2 mm eddig
Nincs jelenidő
12860 11580 72604 10187 20150 39914 40018 52012 60021 70286 878//
333 82820 87625 555 10079 55093 /7436=
7 okta
mérs. nyugati szél (260°, 4 m/s)
18,7°C
2 mm eddig
Nincs jelenidő
El is készült az összefoglaló.
Link
Nem lesz egy piskóta forduló, persze ilyenkor lehet nagyot kaszálni, vagy éppen fordítva, az egyik kiesős pontot összehozni.
Nem lesz egy piskóta forduló, persze ilyenkor lehet nagyot kaszálni, vagy éppen fordítva, az egyik kiesős pontot összehozni.

1,2-es lekésve. 1,1-es leadva, majd fél perccel a végső leadási határidő előtt módosítva: eső jelenidő kivéve, Takt 2 fokkal feljebb, Tmax 1 fokkal feljebb, s 8 oktáról 6-ra. Mert olvastam, hogy 1,0-ssal is lehet nyerni 
Ma 12 UTC-kor amugy 31,9°C volt mérsékelt déli szélben.
Ma 12 UTC-kor amugy 31,9°C volt mérsékelt déli szélben.
Én meg péntek 14 órára emlékeztem, mint 1,2-es.
No, nem baj, 1,1-es szorzóval nyerek.
No, nem baj, 1,1-es szorzóval nyerek.
Én is leadtam, de szerintem hamarosan pápá egykettes, jöhet az egyegyes
Parádés az időpont-választás, de a sima nyerőt már le is adtam, ne siessetek, jobb egy biztos 1.0-s, mint a lutri 1.2-es
Még szűk másfél óra az egykettesből, hát kacifántos lesz, az biztos, de aki nem mer, az nem is nyer
Hát, én ha így haladok, maradok a "boxutcában". Idén egyszerűen nem pörgök valahogy ebben a versenyben. Általában nincs katasztrófálisan rossz fordulóm vagy csak nagyon kevés, de valahogy nem jönnek az erős fordulók sem. Egyetlen 18 pontos fordulóm van, mellé még egy 16,8-as, azzal még elégedett vagyok, 15,6-ra már hümmögök, de elfogadom, az alatt viszont már morgok magamra, meg az időjárásra (néha az észlelőre is...
)
Márpedig az eddigi 12 fordulóból mindössze 3 volt 15 pont feletti nálam...
Amúgy gratula a győztes duónak!
Márpedig az eddigi 12 fordulóból mindössze 3 volt 15 pont feletti nálam...
Amúgy gratula a győztes duónak!