Információk az előrejelzési versenyhez
Versenyinformációk
A VERSENYSZABÁLYZATÚj előrejelzés elküldése az előrejelzési versenybe
A legutóbbi forduló eredménye
A verseny összesített állása
A 3 kieső fordulót nem tartalmazó összesített lista
A synop-kódok értelmezéséhez egy kis segítség
Szélirány-meghatározáshoz segítség
Stelvio segítségével megjelenített összesített ranglista
Stelvio segítségével megjelenített örökranglista
Stelvio segítségével megjelenített dicsőséglista
A meteorológiai állomások elhelyezkedése
A meteorológiai állomások beosztása
Maradt a nyomnyi csapadék (sajnos), így a fordulót met4ever nyerte előttem és mzs előtt, gratulálok!
Forduló: Link
Összetett: Link
Misimókus lesz a következő kiíró, így szeretnénk kérni egy helyszínt és egy időpontot.
Választható helyszínek:
Kecskemét [12970]
Pécs-Egyetem [38528]
Siófok [metnet-es észlelő]
Szeged [12982]
Állomások beosztása a fejlécben.
Forduló: Link
Összetett: Link
Misimókus lesz a következő kiíró, így szeretnénk kérni egy helyszínt és egy időpontot.
Választható helyszínek:
Kecskemét [12970]
Pécs-Egyetem [38528]
Siófok [metnet-es észlelő]
Szeged [12982]
Állomások beosztása a fejlécben.
Összfelhőzet: 7 okta
Jelenidő: Nincs (14).
T akt: 23,1°C
T min: 16,2°C
Szélirány: 325° (északnyugati)
Erőssége: 1,7 m/s (gyenge)
Jelenidő: Nincs (14).
T akt: 23,1°C
T min: 16,2°C
Szélirány: 325° (északnyugati)
Erőssége: 1,7 m/s (gyenge)
Elkészült az összefoglaló.
Link
Van egy 0 fokos Takt érték, az nem szerepel a diagramon, és az átlagba/mediánba sincsen beleszámítva.
Érdekes forduló lesz, én még a módosításon is gondolkoztam, de aztán inkább bent hagytam az 1.2-est. Ahogy nézem, sokan mások is inkább így döntöttek.
Van egy 0 fokos Takt érték, az nem szerepel a diagramon, és az átlagba/mediánba sincsen beleszámítva.
Érdekes forduló lesz, én még a módosításon is gondolkoztam, de aztán inkább bent hagytam az 1.2-est. Ahogy nézem, sokan mások is inkább így döntöttek.

Kornél bátyó, tök egyszerű forduló lesz ez is, simán megnyered, mint a múltkor
Gratula a győztes négyesnek, különösen Kornél bátyónak, csak egy ponttal maradtunk el elég sokan, hát majd legközelebb
Szeptemberi beosztást még nem látok a telón, de amennyiben az észlelőnek jó, legyen 3.-a vasárnap 12HLT Újpest
Pontoztam. Négyes holtversenyben Pestimet, herbary, matyi06 és jómagam végeztünk az élen. Köszi a szülinapi ajándékot 
Forduló: Link
Összetett: Link
Blizzard lesz a következő kiíró, így szeretnénk kérni egy helyszínt és egy időpontot.
Választható helyszínek:
Budapest-Újpest [metnet-es észlelő]
Kecskemét [12970]
Pécs-Egyetem [38528]
Siófok [metnet-es észlelő]
Szeged [12982]
Állomások beosztása a fejlécben.
Forduló: Link
Összetett: Link
Blizzard lesz a következő kiíró, így szeretnénk kérni egy helyszínt és egy időpontot.
Választható helyszínek:
Budapest-Újpest [metnet-es észlelő]
Kecskemét [12970]
Pécs-Egyetem [38528]
Siófok [metnet-es észlelő]
Szeged [12982]
Állomások beosztása a fejlécben.
Kár érte, mert azt hittem a totális medián tippek fullosak lesznek 
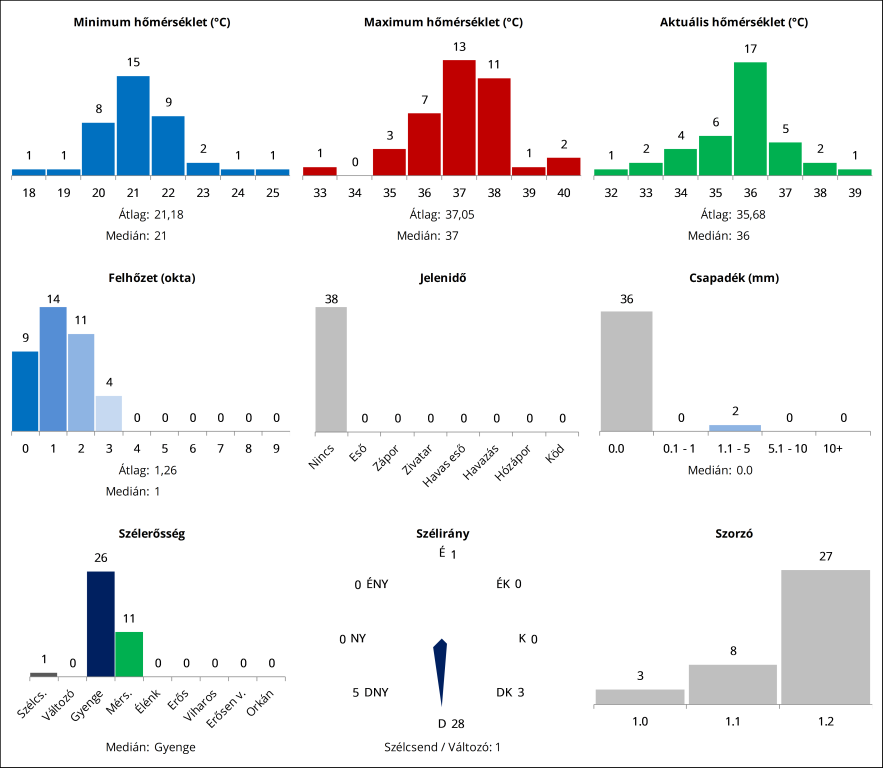
36 foknál tartunk. A 37 simának látszik, elég is lesz.
36 foknál tartunk. A 37 simának látszik, elég is lesz.
Elkészült az összefoglaló.
Link
Túl sok izgalom most se néz ki, megint az apróságokkal lehet néhány plusz pontot begyűjteni, leginkább a hőmérsékletnél.
Túl sok izgalom most se néz ki, megint az apróságokkal lehet néhány plusz pontot begyűjteni, leginkább a hőmérsékletnél.

Na, máris van egy "baklövésem". Úgy látom, sikerült északi szelet nyomnom a tippleadásnál déli helyett... 
Jól indul... Ezért kell (kéne...) mindig megnézni a visszaigazoló üzenetet, ugye... !!!
Nem kicsit lóg ki a széltippem, még csak közelében sincs más szélirány, az összes tipp - a szélcsenden kívül - délies irányú...
Nem kicsit lóg ki a széltippem, még csak közelében sincs más szélirány, az összes tipp - a szélcsenden kívül - délies irányú...
Hát az tény és való, hogy mellettem semmi nem megy el. Legyen az virga vagy akármi.
Figyelmes észlelő előnyben 
Gratula a nyerteseknek. Szélcsend meg sem fordult a fejemben.
Gratula a nyerteseknek. Szélcsend meg sem fordult a fejemben.
Északra lenn a horizonton volt illetve még most is van lenn egy kevés Ac.
A szélcsend az rendben van, az 1 oktát nem értem
A jakuzzi fölött alakult ki?
Na hát akkor haladjunk szépen sorban. A felcsúti fordulót Télember, herbary, stelvio, deco05 nyerte. Gratulálok nekik!
Forduló: Link
Összetett: Link
mikahock lesz a következő kiíró, így szeretnénk kérni egy helyszínt és egy időpontot.
Választható helyszínek:
Békéscsaba [12992]
Budapest-Újpest [metnet-es észlelő]
Kecskemét [12970]
Pécs-Egyetem [38528]
Siófok [metnet-es észlelő]
Szeged [12982]
Állomások beosztása: Link
Forduló: Link
Összetett: Link
mikahock lesz a következő kiíró, így szeretnénk kérni egy helyszínt és egy időpontot.
Választható helyszínek:
Békéscsaba [12992]
Budapest-Újpest [metnet-es észlelő]
Kecskemét [12970]
Pécs-Egyetem [38528]
Siófok [metnet-es észlelő]
Szeged [12982]
Állomások beosztása: Link
Összfelhőzet: 1 okta
Jelenidő: Nincs
T min: 17,6°C
T max: 34,9°C
T akt: 27,9°C
Szélirány/szélsebesség: szélcsend.
Csapadék: Nem volt.
Úgyhogy pontozok.
Jelenidő: Nincs
T min: 17,6°C
T max: 34,9°C
T akt: 27,9°C
Szélirány/szélsebesség: szélcsend.
Csapadék: Nem volt.
Úgyhogy pontozok.
Keresik.
Olyan szélcsend van mint a ház. Mielőtt még jön valaki, hogy belterület, neki/nekik mondom, hogy külterületen is szélcsend van. Na mindjárt jön az észlelet.
Hát a jelenlegi helyezésemre gondoltam, az előre lépéshez kapcsolódó esélyeimet illetően
Augusztus 20 jól bekavart, a Liszt Ferire adtam le a tippet
Modjjuk már mind1, leadhattam volna Kamcsatkára is
Modjjuk már mind1, leadhattam volna Kamcsatkára is
11:20-kor 30,8 fok. Jól felszaladt... Ráadásul 23,3 fokos Td mellett az nagyon "fincsa" hőérzettel társulhat.
Ott egye meg a fene...
Misimókussal ketten adtunk 17-et, nagyon bíztam benne
Misimókussal ketten adtunk 17-et, nagyon bíztam benne

