Információk az előrejelzési versenyhez
Versenyinformációk
A VERSENYSZABÁLYZATÚj előrejelzés elküldése az előrejelzési versenybe
A legutóbbi forduló eredménye
A verseny összesített állása
A 3 kieső fordulót nem tartalmazó összesített lista
A synop-kódok értelmezéséhez egy kis segítség
Szélirány-meghatározáshoz segítség
Stelvio segítségével megjelenített összesített ranglista
Stelvio segítségével megjelenített örökranglista
Stelvio segítségével megjelenített dicsőséglista
A meteorológiai állomások elhelyezkedése
A meteorológiai állomások beosztása
Na, hát akkor koronázzunk Siófokon. Ha minden jól alakul Zsoltnak segítek felhelyezni én is a koronát a helyszínen.
Hajrá! Link
Hajrá! Link
Csak megjegyzem; éjjeli dörgés mellett szinte állandóan esett, 29,5 mm.-t öntöttem ki a Hellmann mérőből.
Hivatalosan akkor:
Összfelhőzet: 8 okta
Jelenidő: Nincs
T min: 16,7°C
T akt: 16,8°C
T max: 19.4°C
Szélirány: 25° (északi)
Erőssége: 3,4 m/s (gyenge)
Csapadék: 10 + mm.
A szélnél a hivatalos továbbító adatbázisba is 25° ment be, amit ugye lefelé kerekítenek és így született a 20°-os északi irány.
Pestimet és mikahock a forduló győztesei. Gratulálok nekik! Ebben a szezonban is Siófokon koronázunk, megnézzük Zsoltnak mikor jó az észlelet. Várom visszajelzését privátban.
Forduló: Link
Összetett: Link
Összfelhőzet: 8 okta
Jelenidő: Nincs
T min: 16,7°C
T akt: 16,8°C
T max: 19.4°C
Szélirány: 25° (északi)
Erőssége: 3,4 m/s (gyenge)
Csapadék: 10 + mm.
A szélnél a hivatalos továbbító adatbázisba is 25° ment be, amit ugye lefelé kerekítenek és így született a 20°-os északi irány.
Pestimet és mikahock a forduló győztesei. Gratulálok nekik! Ebben a szezonban is Siófokon koronázunk, megnézzük Zsoltnak mikor jó az észlelet. Várom visszajelzését privátban.
Forduló: Link
Összetett: Link
Az állomáson a Tmax 19,4°C lett.
A csapadék pedig még úgy is meghaladta már a 10 mm-t, hogy a nagyobb mennyiségek kikerülték.
A csapadék pedig még úgy is meghaladta már a 10 mm-t, hogy a nagyobb mennyiségek kikerülték.
Jó lenne, ha a mérések minden WMO által elismert szinoptikus állomáson ugyanakkor lennének, ergo tényleg Szinopszis=együttlátás, "egyidejű látás" lenne. Azért most már talán Tongán vagy a Kajmán-szigeteken sem kézzel írják a táviratokat... A repterek persze megint egy más tészta.
Meteomanz:
AAXX 24051 12982 46/// /0303 10168 20165 30046 40144 58009 555 10098
Itt 30° (északkeleti), ahogy MacBook írta korábban. Valószínűleg az ogimet most is felülírta a korábbi synopot az egész órás adatokkal.
AAXX 24051 12982 46/// /0303 10168 20165 30046 40144 58009 555 10098
Itt 30° (északkeleti), ahogy MacBook írta korábban. Valószínűleg az ogimet most is felülírta a korábbi synopot az egész órás adatokkal.
# SYNOPS de 12982, Szeged (Hungary) | 46-15-21N | 020-05-26E | 81 m
202309240600 AAXX 24061 12982 16/// /0402 10173 20170 30059 40157 55000 60082
333 20167 55038 70143 555 10098=
202309240500 AAXX 24051 12982 27941 /0203 10169 20166 30051 40149 57012 710// 333 60005 90710 91106 91005==
Elvileg ezek alapján:
Tmin: 16,7C
Takt: 16,9C
Szél: 20Fok(É-i) és 3m/s, azaz gyenge
A felhőre itt nincs adat, de említettétek a borult-at
Az időjárás 10-es kód, azaz párásság
202309240600 AAXX 24061 12982 16/// /0402 10173 20170 30059 40157 55000 60082
333 20167 55038 70143 555 10098=
202309240500 AAXX 24051 12982 27941 /0203 10169 20166 30051 40149 57012 710// 333 60005 90710 91106 91005==
Elvileg ezek alapján:
Tmin: 16,7C
Takt: 16,9C
Szél: 20Fok(É-i) és 3m/s, azaz gyenge
A felhőre itt nincs adat, de említettétek a borult-at
Az időjárás 10-es kód, azaz párásság
Ha már nem esik, a következő csapadéksáv előtt felszakadozhatna kicsit, különben még 20 fok alatt maradunk.
Aztán a labilizálódó levegőben délután-este zivatar is jöhetne. Ha nem találna be, akkor még ott az éjszaka, s hajnal a 10+ mm eléréséhez
Aztán a labilizálódó levegőben délután-este zivatar is jöhetne. Ha nem találna be, akkor még ott az éjszaka, s hajnal a 10+ mm eléréséhez
Észlelés Szeged Rókusi városrészen: 6.40-kor.
7 okta felhő, gyenge északias szél. T. min: nálam 16,9, akt.: 17 fok.
Csapadék 6.50ig (tegnapra számítva) 18,1 mm. Hajnali 3 felé esett intenzíven.
Kicsit kelet felé van egy kis derültebb szakasz, St.-Ns. alacsony felhőzet, St.foszlányok kelet felől mozognak.
7 okta felhő, gyenge északias szél. T. min: nálam 16,9, akt.: 17 fok.
Csapadék 6.50ig (tegnapra számítva) 18,1 mm. Hajnali 3 felé esett intenzíven.
Kicsit kelet felé van egy kis derültebb szakasz, St.-Ns. alacsony felhőzet, St.foszlányok kelet felől mozognak.
Elkészült az összefoglaló.
Link
Izgalmas fordulónak nézünk elébe, ráadásul itt van a hajrá is, és ahogy met4ever is említette, még bármi is lehet a dobogós helyezések sorsa.
Talán a jelenidő tűnik a leginkább vízválasztónak, hogy lesz-e vagy sem, de persze máshol is vannak különbségek, főleg a Tmaxnál.
A Pestimet féle 19 fokos maximum egyébként szerintem simán be is jöhet (egész napos teljes borultság gyakori csapadékkal), legalábbis erre nagyobb esélyt látok, mint az én 25 fokos maximum tippemre. 

Izgalmas fordulónak nézünk elébe, ráadásul itt van a hajrá is, és ahogy met4ever is említette, még bármi is lehet a dobogós helyezések sorsa.

Előző fordulokban tettem jelenidőt, most nem... a jelen idő
legyen velem.
Vagyis éppen semmi.
legyen velem.
Csókolom a versenyben lapátolo résztvevőknek kezeit!
A helyzet itt; 8okta beborulás 17 órakor, Ns. + Ac összemosódó felhőzete,északon vastagabb szürkés, délen fehéres.
Alapjáraton neki kezdett cseperegni, egy felhő-felhő dörgés is elsült.
A szél alapból déli irányú mint a felhő mozgás. Lassan mozog a T. hömi sáv, kelet felé. most 20,2 a max :29,6 volt.
Reggel 6 után jövök.
A helyzet itt; 8okta beborulás 17 órakor, Ns. + Ac összemosódó felhőzete,északon vastagabb szürkés, délen fehéres.
Alapjáraton neki kezdett cseperegni, egy felhő-felhő dörgés is elsült.
A szél alapból déli irányú mint a felhő mozgás. Lassan mozog a T. hömi sáv, kelet felé. most 20,2 a max :29,6 volt.
Reggel 6 után jövök.
Az is érdekes, hogy mióta én tippelek (2007 tele), sosem volt a Szeged az utolsó két fordulóban, sőt háromban sem.
Változtatnom kellett volna, ahogy nézem nagyon nem lesz jó a tippsorom...
Nem volt időm már átírni a tippemet, nagyon merész az egykettesem, de hátha
Az aktuális (kiesős) TOP6 tippjeit elnézve nem lefutott, hogy ki indulhat elsőként a nyárzáró fordulóra. Pestimet mindenesetre egy hüvösebb, merész tippel száll harcba 

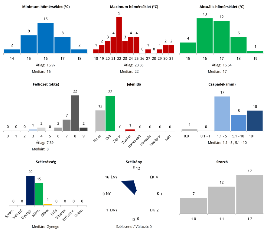
Jó kis izgalmas forduló lesz így a vége előtt. Nagyon szórnak a tippek. Tmax 19 és 31 fok, a csapadék 0 és 10+ mm, a felhőzet 3 és 9 okta között, hogy csak a 3 legkiemelkedőbb paramétert említsem. A jelenidő teheti fel a pontot a fordulóra....
Nehéz dió lesz Szeged, nyugat-kelet választóvize. Azér reggel 7 kicsit még felkelős idő. Tettem egy átlagolót, a kétnagy észlelő bázis közepébe, a csapit aranyáron mérik, tehát nem nagyon lesz, front előtti szelek csak a porba vetett szántó földek felett vet forgószelet, tehát bármely irányú lehet.
Magam is pedig a 20 fok körüli félborult vasárnapot adják.
Napi bónusz talány? - a csapadék, és 3+5 pont a jelenidősöknek.
Magam is pedig a 20 fok körüli félborult vasárnapot adják.
Napi bónusz talány? - a csapadék, és 3+5 pont a jelenidősöknek.
Köszönjük!
Leadtam (és megnéztem
), de érzésem szerint jobban jártam volna, ha ez a forduló marad ki a múlt heti helyett.
Leadtam (és megnéztem
Látom, Szeged az észlelő helyszín.
Vagyunk sokan, helyi észlelők, meg próbálok kimenni a hátsó udvarra 6.50 felé észlelni. Én kb . 3,8 km-re vagyok az állomástól é.keletre..
Viszont nem nagyon dekázok a szél nálam 4 irányú, a T.aktokra reggel + 0,6 van délben egáll szokott lenni..
Vagyunk sokan, helyi észlelők, meg próbálok kimenni a hátsó udvarra 6.50 felé észlelni. Én kb . 3,8 km-re vagyok az állomástól é.keletre..
Viszont nem nagyon dekázok a szél nálam 4 irányú, a T.aktokra reggel + 0,6 van délben egáll szokott lenni..
A meteomanz-on soha nem változik. Az ogimet meg nem tudok miért szarakodik hónapok óta...
Kíváncsiságból, ha nem látjuk az “első” és a “második” synopot, hanem csak a másodikat és nem tudjuk, hogy az felülírt egy korábbit, akkor kiderül valamiből, hogy melyik a “valós”?
Rendesek vagytok, köszönöm!
Én se tudom, hogy mi történt, de nincs is jelentősége. Az a tipp, ami nincs -októl függetlenül-, az nem játszik.
Összekapom magam az utolsó két fordulóban. Reszkessetek!
Én se tudom, hogy mi történt, de nincs is jelentősége. Az a tipp, ami nincs -októl függetlenül-, az nem játszik.
Összekapom magam az utolsó két fordulóban. Reszkessetek!
Őszintén fogalmam sincs, hogy mi történt, de Tomival megnézettük az adatbázisban, és nincs nyoma a leadásnak sajnos. Ha lett volna, kitaláltunk volna valamit természetesen, de így hogy se visszaigazoló, se adatbázisban semmi nyoma, így gyakorlatilag tehetetlenek vagyunk
Nyoma nincs, de hogy nem bolondultam meg, arra bizonyíték a 72517 hozzászólásom.
Akkor adtam le és válaszoltam dabronynak. Már múlt időben....
Akkor adtam le és válaszoltam dabronynak. Már múlt időben....
Ez a link nem jó, de a kiírás vasárnap reggel 7-re rendben van. Hajrá mindenki!
Gratulálok minden 22,8 pontos versenyzőnek (akár megkapta érte a pontot, akár nem)! 
A magas minimum miatt még morogtam magamban (hú, micsoda alliteráció lett
) egy keveset, de a többi paraméter azért elég jó lett.
A magas minimum miatt még morogtam magamban (hú, micsoda alliteráció lett
Basszus, ezért akkor tényleg kár. 
A visszaigazolásos üzeneteket én mindig meg szoktam tartani, nem csak átnézni, bár ilyen velem még nem fordult elő (csak olyan, hogy egyszer még valamelyik 1-2 évvel ezelőtti körben felcseréltem a Tmaxot és Taktot a kapkodás miatt).
Köszönöm! Gratulálok Hidegcsepp95-nek és honzának a nyeréshez, de az egész mezőnyt dícséret illeti a magas pontszámokért.
A kiesős lista frissítve.
A kiesős lista frissítve.
Nem tudom srácok az ogimeten miért írja felül az első kiadott SYNOP-ot, de az első a lényeg, ami 150° vagyis délkeleti. A fordulót Hidegcsepp95, hófúvás és hoznza trió nyerte. Gratulálok nekik!
Forduló: Link
Összetett: Link
A következő kiíró Tullner_Job lesz, így szeretnénk kérni egy helyszínt és egy időpontot.
Választható helyszínek:
Siófok [metnet-es észlelő]
Szeged [12982]
Állomások beosztása: Link
Forduló: Link
Összetett: Link
A következő kiíró Tullner_Job lesz, így szeretnénk kérni egy helyszínt és egy időpontot.
Választható helyszínek:
Siófok [metnet-es észlelő]
Szeged [12982]
Állomások beosztása: Link
Hogy mivel játszunk, az jo kérdés.
Leginkább a Metész-es észleléssel, mert ott jelenik meg a jelenidő észlelés, ami a synopba sajnos nem mindig kerül már be. A szelet meg a synopból szoktuk venni, ami szerintem 50-es alapesetben. Van, amikor azonban felülíródik a 00-ással, mint most is.
Ráadásul most Metész-es észlelés sem volt.
Leginkább a Metész-es észleléssel, mert ott jelenik meg a jelenidő észlelés, ami a synopba sajnos nem mindig kerül már be. A szelet meg a synopból szoktuk venni, ami szerintem 50-es alapesetben. Van, amikor azonban felülíródik a 00-ással, mint most is.
Ráadásul most Metész-es észlelés sem volt.
Kapizsgálom
Akkor az egész-órás adattal játszunk. Én újabban azt gondoltam, hogy a jó régi 40-es adatok helyett az 50-es számít mostanság. Mindegy, csak konzekvens legyen.
Matematikailag igen. Az kavar be, hogy a szélirányt 10°-ra kerekítve szokás megadni, így szerepel a synopbnan is, s ez alapján soroljuk be az irányt is (lásd verseny szabályzat: 150° még délkeleti, 160° már déli.)
A 16:50-es hőmérsékletet tartalmazó synopban 150°, míg a 17:00-s hőmérsékletet tartalmazó frissítésban 160° szerepel 10°-os kerekítésként, miközben a 10 perces adatoknál mindkettőnél 155° fok jelent meg. Valószínűleg a 155° is csak egy kerekítés, s 16:50-kor 155° alatt, 17:00-kor pedig 155° felett lehetett az érték, ami magyarázná az eltérő 10°-os kerekítést...
A 16:50-es hőmérsékletet tartalmazó synopban 150°, míg a 17:00-s hőmérsékletet tartalmazó frissítésban 160° szerepel 10°-os kerekítésként, miközben a 10 perces adatoknál mindkettőnél 155° fok jelent meg. Valószínűleg a 155° is csak egy kerekítés, s 16:50-kor 155° alatt, 17:00-kor pedig 155° felett lehetett az érték, ami magyarázná az eltérő 10°-os kerekítést...
Az 50-es adat játszik? A 155 fok matematikailag DK-i, nem? (157.5 fok a határ matematikailag).
Igen, a szél meg a 16:40-esnek tűnik az első synopban. Szép kis kavarodás...
Akkor a hőmérséklet 27,6°C volt, arról nem láttam synopot
Azóta meg már egyértelműen délkeleti lett a szél
Akkor a hőmérséklet 27,6°C volt, arról nem láttam synopot
Azóta meg már egyértelműen délkeleti lett a szél