Információk az előrejelzési versenyhez
Versenyinformációk
A VERSENYSZABÁLYZATÚj előrejelzés elküldése az előrejelzési versenybe
A legutóbbi forduló eredménye
A verseny összesített állása
A 3 kieső fordulót nem tartalmazó összesített lista
A synop-kódok értelmezéséhez egy kis segítség
Szélirány-meghatározáshoz segítség
Stelvio segítségével megjelenített összesített ranglista
Stelvio segítségével megjelenített örökranglista
Stelvio segítségével megjelenített dicsőséglista
A meteorológiai állomások elhelyezkedése
A meteorológiai állomások beosztása
Mondjuk ahhoz képest, hogy telefonról 15 perc alatt adtam le VEDELÉS közben, örülök, hogy nem adtam hőségnapot
Tomi tesztelte, hogy működik-e. Aztán sikerült többször a teszt.
Egyet értek veled.
Én 2x szóltam a szegedi csoportban.
Második kérésemet meghallották.
Én 2x szóltam a szegedi csoportban.
Második kérésemet meghallották.
Régen minden jobb volt
(De abszolut egyetértek)
Na, akkor kicsit kibabrált sokunkkal a ciklon. Több volt ebben a fordulóban, de soha rosszabbat egy 20,4 pontos kezdésnél
Gratula a nyertesnek és a dobogósoknak, meg a sok jelenidősnek.
Na, akkor kicsit kibabrált sokunkkal a ciklon. Több volt ebben a fordulóban, de soha rosszabbat egy 20,4 pontos kezdésnél
Gratula a nyertesnek és a dobogósoknak, meg a sok jelenidősnek.
Nekem pedig teljesen logikus, ha lemérem akkor felrögzítem. Lemértem, húsz másodperc az egész történet még egy okostelefonon is. Nyilván más lenne a történet. ha szilárd csapadék lenne a mérőben, de erre is vannak technikák ugye, hogy hogyan gyorsítsuk a folyamatot. Ha délig lehet, akkor tök logikus lenne, ha a hójelentés fülön szereplő állomások adatait nem délelőtt 10 órakor húznák rá a térképre, hanem akkor 12 órakor. Régmúlt időkben hajdanán, amikor még ktx alapon küldtük be a táviratokat, ott bizony csapadékméréskor (is) óra 55-ig a létezhető minden adatot (dérkorong, zúzmara-adatok, csapadék mennyiség, hóréteg vastagsága, párolgás stb) be kellett vinni, különben a rendszer késésnek könyvelte el. Azóta a rendszer fellazult, aztán ezt döntse el mindenki, hogy jó-e vagy sem.
Én meg ma azt tudtam meg, hogy max délig kell feltölteni.
Az észlelő nem hibázott, én voltam türelmetlen.
És lájkolom a hozzászólásomat!
Az észlelő nem hibázott, én voltam türelmetlen.
És lájkolom a hozzászólásomat!
Az első forduló győztese fzoltan2002 lett. Gratulálok neki és mindenkinek, aki elégedett volt az első fordulói teljesítményével. 
Forduló: Link
Összetett: Link
A következő kiíró deco05, így szeretnénk kérni egy helyszínt és egy időpontot.
Választható helyszínek:
Bécs (Wien-Hohe Warte) [11035]
Békéscsaba [12992]
Budapest-Újpest [metnet-es észlelő]
Csíkszereda (Miercurea Ciuc) [15170]
Debrecen [12882]
Eger [12870]
Felcsút [metnet-es észlelő]
Kecskemét [12970]
Kékestető [12851]
Lomnici-csúcs (Lomnicky Stít) [11930]
Miskolc-Diósgyőr [12772]
Paks [12950]
Pécs-Egyetem [38528]
Siófok [metnet-es észlelő]
Sopron-Kurucdomb [13704]
Szeged [12982]
Szolnok [12860]
Szombathely [12812]
Zágráb-Maksimir [14240]
Meteorológiai állomások beosztása: Link
Forduló: Link
Összetett: Link
A következő kiíró deco05, így szeretnénk kérni egy helyszínt és egy időpontot.
Választható helyszínek:
Bécs (Wien-Hohe Warte) [11035]
Békéscsaba [12992]
Budapest-Újpest [metnet-es észlelő]
Csíkszereda (Miercurea Ciuc) [15170]
Debrecen [12882]
Eger [12870]
Felcsút [metnet-es észlelő]
Kecskemét [12970]
Kékestető [12851]
Lomnici-csúcs (Lomnicky Stít) [11930]
Miskolc-Diósgyőr [12772]
Paks [12950]
Pécs-Egyetem [38528]
Siófok [metnet-es észlelő]
Sopron-Kurucdomb [13704]
Szeged [12982]
Szolnok [12860]
Szombathely [12812]
Zágráb-Maksimir [14240]
Meteorológiai állomások beosztása: Link
Most kerülhetett fel a csapadék-adat, mert én is azt vadásztam. Az meg már másodlagos, hogy egy főállomásról 11 óra előtt egy kicsivel kerül fel egy csapadék-adat, miközben mérni meg 06:45-kor kell...
AAXX 12061 12925 16/// /1701 11009 21010 39943 40120 52006 60002 333 21010 70047
24 órás csap. 4,7 mm meteomanz-os synop szerint.
24 órás csap. 4,7 mm meteomanz-os synop szerint.
"A csapadékmennyiség mérésénél a 2018. nyári versenykörtől kezdődően az OMSZ, valamint MetNet állomások esetében egész évben a helyi idő szerinti 06:45-06:45 közötti időintervallumot vesszük figyelembe, azaz a versenynap 06:45-től a versenynap utáni nap 06:45-ig számít a lehulló csapadék mennyisége.
A külhoni állomások esetében továbbra is 06 UTC-től másnap 06 UTC-ig számít a csapadékmennyiség."
5,4 millimétert mért eddig reggel óta az automata. Reggel kiderül majd a kézi is.
A külhoni állomások esetében továbbra is 06 UTC-től másnap 06 UTC-ig számít a csapadékmennyiség."
5,4 millimétert mért eddig reggel óta az automata. Reggel kiderül majd a kézi is.
Met.hu-n órás csapadékból 4,9mm-t lehet összeszámolni
nagyon sávhatáron lesz!
Nincs is már olyan messze az a napsütés! Link
Kérdés, hogy ilyen alacsony napállás mellett marad e annyi erő benne, hogy bemelegedjen
Kérdés, hogy ilyen alacsony napállás mellett marad e annyi erő benne, hogy bemelegedjen
Lehet ezzel szerencsénk is lesz, nem sokat adnék egy 9 fokos Tmax-nak jelenleg.
Gondoltam, majd dél körül Ny-Dny-assá válik a szél, és "tódul" majd be a meleg. Már nem vagyok benne biztos. Lehet meg is áll majd 8 foknál
1323 új hsz,rég jártam erre és úgy látom az első fordulóról le is csúsztam 
A továbbiakban beszállok én is a téli körre
A továbbiakban beszállok én is a téli körre
Erre mondanám, hogy "Hát igyunk pajtások, johó!", de száraz novembert tartok. 

Hajrá!
Hajrá!
Jó újra látni a diagrammokat 
2 órával kezdés elött: 8,8/8,2°C, borult, gyenge déli szél
2 órával kezdés elött: 8,8/8,2°C, borult, gyenge déli szél
Átlag... Nem is tudom miért azt írtam. Köszi, hogy írtad, móduszra gondoltam én is!
Én szerintem 10-12 éve nem vettem részt, most végre sikerült nem lemaradnom a kezdésről, hála Imi met társalgós promojának.
Igyekszem ezt végigtolni!
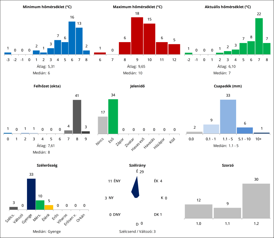
Nekem meg sikerült mindenhol a módusz (vagyis az adott diagramon a legtöbbször előforduló érték) tippjét leadni.
Mondjuk kezdésnek ez az 50 viszonylag szokványos, sajnos sokan le szoktak morzsolódni az első pár forduló alatt.
Innen is üzenem mindenkinek, hogy egy-egy rosszabbul sikerült forduló ne szegje a kedveteket, 20 forduló alatt bármi megtörténhet.
Na meg ott van a 3 kiesős tipp is, szóval a legrosszabb fordulók a legvégén amúgy sem lesznek figyelembe véve.
Hajrá mindenkinek!
Szuper, egy Tmax 1 fokos eltérésen kívül mindenben a tippek átlagát adtam.
Ezzel csak egy gond van, az 1.0-ás szorzó ...
Írtátok, hogy fel kellene valahogy dobni a versenyt, hogy visszacsábuljanak az emberek. Azt hittem lesz vagy 10-20 versenyző, de ez az 50+ nagyon jó!
Persze ne a 10-15 évvel ezelőtti fénykorhoz (100-120) viszonyítsunk
Írtátok, hogy fel kellene valahogy dobni a versenyt, hogy visszacsábuljanak az emberek. Azt hittem lesz vagy 10-20 versenyző, de ez az 50+ nagyon jó!
Persze ne a 10-15 évvel ezelőtti fénykorhoz (100-120) viszonyítsunk
Üdv mindenkinek újra itt!
Elkészült a téli kör első összefoglalója. Összesen 51 tipp érkezett be, remélem, hogy minél többen kitartunk majd a végéig. 

Elég sok jelenidő van, én persze nem adtam, mindegy, ha bejön, elég sok jó eredmény lehet már rögtön az első fordulóban
Akarsz beszélni az ellentétről, ami mérgezi a viszonyunkat? 

Jó látni ezt a sok nevet, hajrá mindenkinek! Az első körök esetleges kudarca ne tántorítson el senkit, minden új fordulóban ott az esély a győzelemre
Jó látni ezt a sok nevet, hajrá mindenkinek! Az első körök esetleges kudarca ne tántorítson el senkit, minden új fordulóban ott az esély a győzelemre
51 tipp, maradjon is így végig
Bár nem vagyok túl joban coontaccal
, most neki szurkolok
Ahogy nézem, még páran ugyanazt a tippet adták le.
Sok havas jelenidőt a téli versenyre
Bár nem vagyok túl joban coontaccal
Ahogy nézem, még páran ugyanazt a tippet adták le.
Sok havas jelenidőt a téli versenyre
Már el is felejtettem milyen érzés ez a modellnézegetés, agyalás, és "na most mi a ... legyen?!" felsóhajtás...
Normál esetben abba esne, de itt a versenyben a versenyforduló napja, azaz most NOVEMBER 11. a kulcs. Minden paramétert a versenynapra adunk meg és a csapadék intervalluma most így valóban kívül esik a konkrét versenyidőponttól, vagyis akár az általad felvázolt eset is megtörténhet.
Tmin: 11.10. 18 UTC - 11.11. 06 UTC-ig
Tmax: 11.11. 06 UTC - 11.11. 18 UTC-ig
Csapi: 11.11. 06 UTC- 11.12. 06 UTC-ig
Minden más: 11.11. 03 UTC.
Meg most a szorzó is 1.1. (sajna már nekem is...
)
Hajrá Mindenkinek! Gyertek minél többen!
Tmax: 11.11. 06 UTC - 11.11. 18 UTC-ig
Csapi: 11.11. 06 UTC- 11.12. 06 UTC-ig
Minden más: 11.11. 03 UTC.
Meg most a szorzó is 1.1. (sajna már nekem is...
Hajrá Mindenkinek! Gyertek minél többen!
Évek óta nem játszottam, a tudásom is megkopott... De most rápróbalok!
Mégha az időpont miatt jól bele is keveredtem, hogy most akkor mi melyik napra szól... Tmin/max, csapadék stb
Mégha az időpont miatt jól bele is keveredtem, hogy most akkor mi melyik napra szól... Tmin/max, csapadék stb
Megnyugtatlak, én is 1,6-ossal indítottam, csak az idő közeledtével elfelejtettem frissíteni. Úgy gondoltam, majd szerdán ráér, de a ravasz időpont miatt szerdán már reggel is késő volt