Információk az előrejelzési versenyhez
Versenyinformációk
A VERSENYSZABÁLYZATÚj előrejelzés elküldése az előrejelzési versenybe
A legutóbbi forduló eredménye
A verseny összesített állása
A 3 kieső fordulót nem tartalmazó összesített lista
A synop-kódok értelmezéséhez egy kis segítség
Szélirány-meghatározáshoz segítség
Stelvio segítségével megjelenített összesített ranglista
Stelvio segítségével megjelenített örökranglista
Stelvio segítségével megjelenített dicsőséglista
A meteorológiai állomások elhelyezkedése
A meteorológiai állomások beosztása
9 órás észlelésben aztán kerekített -1, ami már persze nem számít. Azóta már kerekített +1 fok behúzva, remélem a legalább +1,5 sem lesz nagy akadály.
Na ezt sem gondoltam volna, hogy 1 ember fog csak 0 fokot adni ilyen szélben, én is inkább a mínusz 1-en gondolkodtam, de bedőltem én is az előréknek.
Bubu meg használta az eszét, és megérzését.
Én már neki drukkolok
Bubu meg használta az eszét, és megérzését.
Én már neki drukkolok
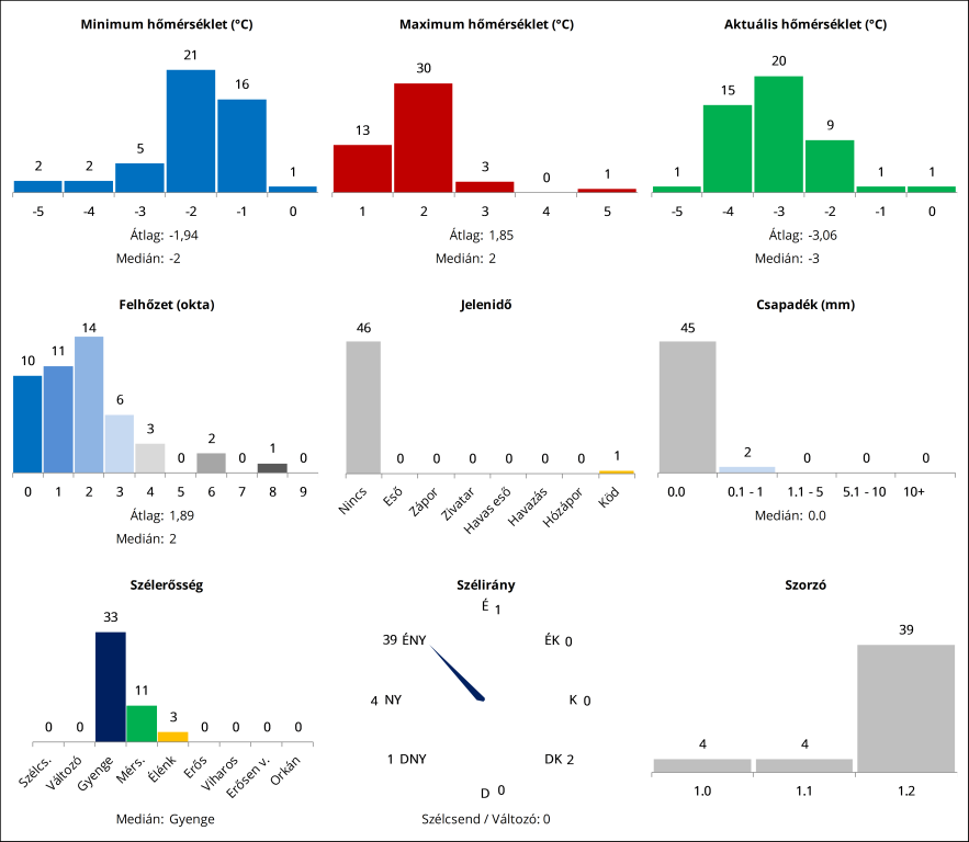
Elkészült az összefoglaló.
Nem tűnik ez egy bonyolult fordulónak, főként a felhőzet és a három hőmérsékleti érték pontos eltalálásával lehet plusz pontokra szert tenni. 

Én a legutóbbi győztes tippsort kb így adtam le. Telefonról valamiért nem tudtam mínusz jelet adni a hőmérséklethez, így aztán rohantam haza (szó szerint futottam), hogy még határidő előtt rendes gépen le tudjam adni a tippemet 1,2-es szorzóval. Végül sikerült is leadni 49 másodperccel a határidő előtt... fordulót nyertem vele Békéscsabán.

Jó, persze akkor már csak végig kellett pötyögni, meg kattintgatni, nem akkor álmodtam meg a tippsort.
Jó, persze akkor már csak végig kellett pötyögni, meg kattintgatni, nem akkor álmodtam meg a tippsort.
Na ja, te gondolom majd olyan 20:58 körül ránézel a modellekre
Ejj de jó lett volna a hétre egy péntek környéki forduló. Sok fincsi dolog van hozzá a modelleken. Amolyan bármi lehet szitu. Kár érte.
Köszönöm a gratulációkat! És én is gratulálok minden elégedettnek! Ez most tényleg egész jól összejött! 
Csak kiengedett az a "kézifék", ami az elején 15 pont körül beragadt...
Csak kiengedett az a "kézifék", ami az elején 15 pont körül beragadt...
Gratula az elégedetteknek!
Ebből látszik, mennyire kemény a mezőny, hogy egy jelenidő buktával (részemről legalább is) hátul végeztem, ha picit előbb jön a havazás, akkor meg az élen végeztem volna. Azért régen jobban szórt az mezőny (magamat is beleértve persze
)
Ebből látszik, mennyire kemény a mezőny, hogy egy jelenidő buktával (részemről legalább is) hátul végeztem, ha picit előbb jön a havazás, akkor meg az élen végeztem volna. Azért régen jobban szórt az mezőny (magamat is beleértve persze
Egyetértek, sose voltam még állomás választó, vagy talán sok évvel ezelőtt egyszer
Egy 16,8 pontos 1,2-est cseréltem le egy 16 pontos 1,0-ra, kár azért a negyed óráért a jelenidőnél...
Gratulálok Periconak! Nekem most egy második hely lett, de ha a szorzó nélküli összpontszámot nézzük, akkor én nyertem
Perico lett a békéscsabai forduló győztese gratulálok neki. 
Forduló: Link
Összetett: Link
A következő kiíró MacBook lesz. Viszont, ha beosztásos állomásra kerülne a sor, akkor decemberi beosztásom csak a héten lesz valamikor.
Választható helyszínek majd:
Bécs (Wien-Hohe Warte) [11035]
Budapest-Újpest [metnet-es észlelő]
Csíkszereda (Miercurea Ciuc) [15170]
Eger [12870]
Felcsút [metnet-es észlelő]
Kecskemét [12970]
Kékestető [12851]
Lomnici-csúcs (Lomnicky Stít) [11930]
Miskolc-Diósgyőr [12772]
Paks [12950]
Pécs-Egyetem [38528]
Siófok [metnet-es észlelő]
Sopron-Kurucdomb [13704]
Szeged [12982]
Szolnok [12860]
Szombathely [12812]
Zágráb-Maksimir [14240]
Forduló: Link
Összetett: Link
A következő kiíró MacBook lesz. Viszont, ha beosztásos állomásra kerülne a sor, akkor decemberi beosztásom csak a héten lesz valamikor.
Választható helyszínek majd:
Bécs (Wien-Hohe Warte) [11035]
Budapest-Újpest [metnet-es észlelő]
Csíkszereda (Miercurea Ciuc) [15170]
Eger [12870]
Felcsút [metnet-es észlelő]
Kecskemét [12970]
Kékestető [12851]
Lomnici-csúcs (Lomnicky Stít) [11930]
Miskolc-Diósgyőr [12772]
Paks [12950]
Pécs-Egyetem [38528]
Siófok [metnet-es észlelő]
Sopron-Kurucdomb [13704]
Szeged [12982]
Szolnok [12860]
Szombathely [12812]
Zágráb-Maksimir [14240]
Nyugati szélről változtattam északnyugatira és 4 fokos Tmax-ról 3 fokosra, kitűnő. Már csak jelenidőt kellett volna betenni 
Na de akkor hajrá az előírt helyen kézzel is mérhető csapadék!
Na de akkor hajrá az előírt helyen kézzel is mérhető csapadék!
Szélirány: 270° (nyugati)
Erőssége: 3 m/s (gyenge)
Maximum-hőmérséklet: 3,5°C.
Erőssége: 3 m/s (gyenge)
Maximum-hőmérséklet: 3,5°C.
Nálam 6 okta jelenleg és nincs jelenidő. Várjuk a MET-ÉSZ észlelést.
Megelőzve a problémákat: 15:50 és 16:10 közötti első észlelés számít a verseny szempontjából.
Megelőzve a problémákat: 15:50 és 16:10 közötti első észlelés számít a verseny szempontjából.
Ez egy akkora jelenidő lesz mint a huzat, egyenest Csabának megy 

Nem lennék szomorú, de szerintem meglesz a jelenidő
Közben kisütött a nap.
Közben kisütött a nap.
Egy tekintélyes tömb érkezik a Tisza-tó felől, a jelenidősök kezdhetik a bizakodást
Ft.: Békéscsaba
Ft.: Békéscsaba
Elkészült az összefoglaló.
Ahogy nézem, ebben a fordulóban a jelenidő, illetve a csapadékmennyiség lehet a döntő. Gondolkoztam én is a módosításon, de aztán úgy voltam vele, hogy bent hagyom az 1.2-es tippemet, bízva abban, hogy nem lesz se jelenidő, se nyomnál több csapadék. 

Én még 1,1-gyel változtattam meg sok vacillálás után az 1,2-es 0 mm-t 0,1 - 1 mm-re, bááár a nyugalmazott Pista (?) bácsi esete eléggé nyomasztott, de végül meggyőztem magam, mivel T-ket is kicsit megigazítottam, ill. az elrontott szélirányt is... Aztán most 1,0-s határidő előtt elfelejtettem, hogy még vacillálni akartam a jelenidőről is
Sokáig vacilláltam, végül az utolsó pillanatban lecseréltem a csapadékmentes verziót egy hózáporosra, hát nagyon kíváncsi leszek.
Sokat nem változtak ugyan a kilátások, de egy két dolgon azért változtattam
