Információk az előrejelzési versenyhez
Versenyinformációk
A VERSENYSZABÁLYZATÚj előrejelzés elküldése az előrejelzési versenybe
A legutóbbi forduló eredménye
A verseny összesített állása
A 3 kieső fordulót nem tartalmazó összesített lista
A synop-kódok értelmezéséhez egy kis segítség
Szélirány-meghatározáshoz segítség
Stelvio segítségével megjelenített összesített ranglista
Stelvio segítségével megjelenített örökranglista
Stelvio segítségével megjelenített dicsőséglista
A meteorológiai állomások elhelyezkedése
A meteorológiai állomások beosztása
Ó, én balga meg megcseréltem a T-ket, így "csak" 7 pont lesz a T-re...már ha nem figyel be az 1 fok.
A METAR távirat végén tendencia jellegű rész áll (Landing forecast). Ezt az előrejelzési részt már nem az észlelő adja ki önállóan, hanem az előrejelző, és az elkövetkező két óra változásait tünteti fel. Ha nem várható változás, akkor a NOSIG kulcsszóval zárul a távirat. Itt pedig gyenge havazást várt az előrejelző a következő 2 órára, vagyis nem a jelenidőre vonatkozik a -SN.
Ott a -SN benne (gyenge havazás, hószállingózás), már csak a TEMPO-t kell megfejteni, hogy mit jelent METAR-ban. TAF-ban szokás megadni, ami egy elórejelezés, de METAR-ban, hmm, utánanézek.
Hát majd kiderül reggel
Nehéz elhinni, hogy nem lesz, legalábbis ez alapján:
Nehéz elhinni, hogy nem lesz, legalábbis ez alapján:

Ogimet és meteomanz is szarakszik nem tudom miért. Itt a 6 UTC-s METAR:
METAR LHKE 080545Z 04008KT 010V070 9999 OVC036 M01/M04 Q1012 TEMPO -SN RMK BLU=
METAR LHKE 080545Z 04008KT 010V070 9999 OVC036 M01/M04 Q1012 TEMPO -SN RMK BLU=
Biztos ez a nincs jelenidö?
Az Ogimeten 06UTC-s synop automata, így nincsenek benne vizuális észlelések. Meteomanzos synopot valamiért nem tudok kisajtolni, míg a METÈSZ-én nem észleltek, csak egy 24 óras csapadékot ill. csapadékfajtát.
Igy nyílvánosan hozzáférhetö vizuális észlelést nem találok. Valaki?
A radar alapján tényleg necces volt a jelenidö azzal a csapadéktömböcskével...
Az Ogimeten 06UTC-s synop automata, így nincsenek benne vizuális észlelések. Meteomanzos synopot valamiért nem tudok kisajtolni, míg a METÈSZ-én nem észleltek, csak egy 24 óras csapadékot ill. csapadékfajtát.
Igy nyílvánosan hozzáférhetö vizuális észlelést nem találok. Valaki?
A radar alapján tényleg necces volt a jelenidö azzal a csapadéktömböcskével...
Lehet hát, úgy látom beficcant egy 0°C, a 0,3 mm csapadékot megszavaztam 
Jól láttam, -0,4 °C
Jól láttam, -0,4 °C
Én is csak azzal nyugtatom magam, hogy az a cella eleve szerencsésen jött a város felé, az, hogy abból pont akkor havazzon, csak hab lett volna a tortán.
Akkor lehet is pontozni
Akkor lehet is pontozni
Azért az északkeleti szél igazán segíthetett volna pár hópihét "előretolni" az észlelésre. Igaz az állomás keleten van, így lehet, hogy inkább a városra fújta azokat. Bezzeg, ha északi szél lett volna...
A lehető legrosszabb kombináció, majdnem telitalálatos 1.2-es tippet dobtam el.... ez a méreg, nem a ciánkáli.
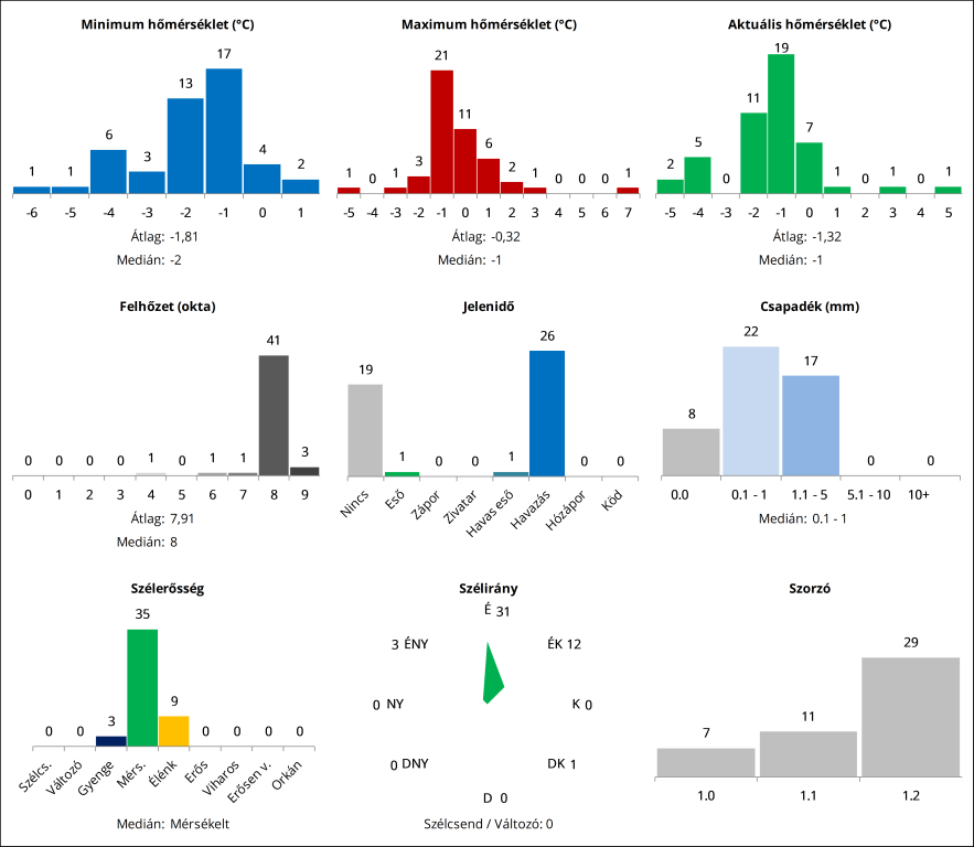
Összfelhőzet: 8 okta
Jelenidő: Nincs
Szélirány: 40° (északkeleti)
Erőssége: 4 m/s (mérsékelt)
T akt: -0,6°C
T min: -0,6°C
Jelenidő: Nincs
Szélirány: 40° (északkeleti)
Erőssége: 4 m/s (mérsékelt)
T akt: -0,6°C
T min: -0,6°C
Elkészült az összefoglaló.
met4ever nagyjából összefoglalta, mire lehet számítani, vagyis könnyen lehet, hogy a három hőmérsékleti érték azonos lesz, illetve én is abban bízom, hogy valami ikont éppenhogy csak érdemlő szállingózás összejön reggel 7-re. 


Az első tippem nekem is 1hangú volt, aztán megis odaböktem egy nullát, remélem nem nagy lesz
Mint várható volt, az aktuális forduló fő kérdése, hogy hétfő reggel 7-kor ki tud-e préselni magából az országközepi konvergencia legalább pár hópelyhet, amit az észlelő is észrevesz, illetve hogy kedd reggel 7-ig mennyit tud majd ebből az esetleges konvergenciás havazásból a csapadékmérő mérni az északias szélben. Egyik sem triviális, így nincs semmi lejátszva. A hőmérséklet menete érdekes lesz. Várhatóan a hétfő 06 UTC-s észlelésnél áll be a minimum, ami a versenyben számít, majd a csapadéktól is függően esély lehet arra is, hogy napközben a hidegadvekcióban nem emelkedik érdemlegesen erről már, s így akár előállhat, hogy kerekítve a Tmin, Takt és Tmax azonos érték lesz. Ezt a verziót többen megtettük, -2, -1, 0 illetve +1°C-os értékkel. Én a 0 és a -1 fok között vaciláltam, végül a -1 mellett döntöttem. Pár tizedes emelkedés is már azt eredményezheti, hogy másik értékre kerekítődik a hőmérséklet, így ez is eléggé bizonytalan kimenetelű. Nagyon izgalmas fordulónak néz ki, reményeim szerint a
főszereplésével.....
Most azt mondanám biztos, de sose lehessen tudni
Majd hétfőn kiderül, egyre gondoltunk a szerzővel,...vagy kettőre
Majd hétfőn kiderül, egyre gondoltunk a szerzővel,...vagy kettőre
A helyszín biztos? Van ott pár állomás, s a csapadékot kézzel nehogy Józsi bácsi mérje a közeli Kiskundorozsmán
Én hagyom az 1.2-es tippemet.
Teljes a homály, egyedül a helyszínben vagyok biztos
Teljes a homály, egyedül a helyszínben vagyok biztos
6:59:39
A hőmérsékleten szukszulkodtam kicsit.
Hajrá közútkezelők, piros vagy sárga a zászló?
A hőmérsékleten szukszulkodtam kicsit.
Hajrá közútkezelők, piros vagy sárga a zászló?
A következő forduló lehetne január 8-án hétfőn 6 UTC-s időponttal, Kecskeméten. Mindenkinek sok sikert kívánok!
A bécsi fordulót Pöttyös nyerte, gratulálok neki és mindenkinek, aki elégedett volt a fordulói teljesítményével. 
Forduló: Link
Összetett: Link
A következő kiíró herbary lesz, így szeretnénk kérni egy helyszínt és egy időpontot.
Választható helyszínek:
Budapest-Újpest [metnet-es észlelő]
Csíkszereda (Miercurea Ciuc) [15170]
Eger [12870]
Felcsút [metnet-es észlelő]
Kecskemét [12970]
Kékestető [12851]
Pécs-Egyetem [38528]
Siófok [metnet-es észlelő]
Sopron-Kurucdomb [13704]
Szolnok [12860]
Szombathely [12812]
Zágráb-Maksimir [14240]
Meteorológiai állomások beosztása: Link
Forduló: Link
Összetett: Link
A következő kiíró herbary lesz, így szeretnénk kérni egy helyszínt és egy időpontot.
Választható helyszínek:
Budapest-Újpest [metnet-es észlelő]
Csíkszereda (Miercurea Ciuc) [15170]
Eger [12870]
Felcsút [metnet-es észlelő]
Kecskemét [12970]
Kékestető [12851]
Pécs-Egyetem [38528]
Siófok [metnet-es észlelő]
Sopron-Kurucdomb [13704]
Szolnok [12860]
Szombathely [12812]
Zágráb-Maksimir [14240]
Meteorológiai állomások beosztása: Link
Megnyugtató megoldásként 0,1 - 1 mm-t javaslok 
Szerintem az 5,1 - 10 mm-es kategória lesz ez, amit senki sem adott. Meg egy kieső forduló nekem.
Késő este amúgy majdnem a kerekített +6 fok is meglett a front előtt.
Szerintem az 5,1 - 10 mm-es kategória lesz ez, amit senki sem adott. Meg egy kieső forduló nekem.
Késő este amúgy majdnem a kerekített +6 fok is meglett a front előtt.
Ahog nézem a szinpoba nem került be a 24 órás pontos összeg, csak a 12 órás kerekített 5 mm, viszont az automata 5,4 mm-t mért 7-ig (azért látszik, hogy nem csak nálunk szép az élet). Ilyenkor mi az eljárás? 

Szuper!
Ez a kör kuka.
Boldog új évet kívánok minden versenytársamnak! <3
Ez a kör kuka.
Boldog új évet kívánok minden versenytársamnak! <3
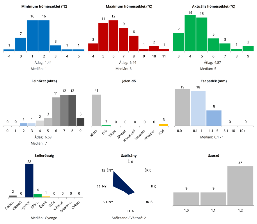
3,9 °C lett a Tmax.
Lassan megérkezik a csapadék, amit így az utolsó pillanatban elég szépen megdobtak a modellek, még akár az 5 mm feletti mennyiség is összejöhet.
Lassan megérkezik a csapadék, amit így az utolsó pillanatban elég szépen megdobtak a modellek, még akár az 5 mm feletti mennyiség is összejöhet.
15 UTC: 3,5 fok, 8 okta, nincs jelenidő, gyenge északi szél (340/1).
Nagy valószínűséggel 4 fok lesz a maximum.
Nagy valószínűséggel 4 fok lesz a maximum.
Elkészült az összefoglaló.
A nincs jelenidőt és a gyenge szélerősséget leszámítva mindenhol inkább 2-3 érték között oszlanak el a gyakoribb tippek, szóval itt az apróságokért is lehet izgulni. 

