Információk az előrejelzési versenyhez
Versenyinformációk
A VERSENYSZABÁLYZATÚj előrejelzés elküldése az előrejelzési versenybe
A legutóbbi forduló eredménye
A verseny összesített állása
A 3 kieső fordulót nem tartalmazó összesített lista
A synop-kódok értelmezéséhez egy kis segítség
Szélirány-meghatározáshoz segítség
Stelvio segítségével megjelenített összesített ranglista
Stelvio segítségével megjelenített örökranglista
Stelvio segítségével megjelenített dicsőséglista
A meteorológiai állomások elhelyezkedése
A meteorológiai állomások beosztása
A 9 órás -14 °C-ot látva "picit" belenyúltam" a tegnapi 1,1-esembe. 
Tmin: -12 °C
Tmax: -1 °C
Felhőfedettség: 0 okta
Jelenidő: nincs szignifikáns jelenség
Hőmérséklet: -8 °C
Szél: szélcsend
Csapadék: 0.0 mm
Az időtényező értéke: 1.1
vs.
Tmin: -18 °C
Tmax: -2 °C
Felhőfedettség: 0 okta
Jelenidő: nincs szignifikáns jelenség
Hőmérséklet: -15 °C
Szél: szélcsend
Csapadék: 0.0 mm
Az időtényező értéke: 1
Tmin: -12 °C
Tmax: -1 °C
Felhőfedettség: 0 okta
Jelenidő: nincs szignifikáns jelenség
Hőmérséklet: -8 °C
Szél: szélcsend
Csapadék: 0.0 mm
Az időtényező értéke: 1.1
vs.
Tmin: -18 °C
Tmax: -2 °C
Felhőfedettség: 0 okta
Jelenidő: nincs szignifikáns jelenség
Hőmérséklet: -15 °C
Szél: szélcsend
Csapadék: 0.0 mm
Az időtényező értéke: 1
Jajjjj, a hullámvasutakat figyelembe sem vettem. Ez nem lehet igaz!
Ne kábítsuk egymást, a tél közepén, 600 méteren, behálózva hullámvasúttal a környéket.
Elég nehéz forduló, akár 3-5 fokos szórással, és mindjárt 0 pont.
Elég nehéz forduló, akár 3-5 fokos szórással, és mindjárt 0 pont.
Hát adtam le egy keményet, este tízig egykettessel még bárki megteheti, könnyed kis forduló, bárki megnyerheti
Ja igen, bocsánat, én néztem el, ezt hittem, ez a 15 pont kieső lett, de valóban nem.
Az hogyan? Egyszer nem tippeltèl és van 11 és 14.4-es fordulód, ha jol látom. A 15 bent maradt.
Köszönjük, lehet is tippelni: Link
1.2-es szorzó csütörtök 22 óráig!
1.2-es szorzó csütörtök 22 óráig!
Gratulálok a nyerteseknek.
Kezdjük a második félidőt egy pihentető fordulóval Csíkszeredán január 21-én vasárnap 21 UTC-kor
Kezdjük a második félidőt egy pihentető fordulóval Csíkszeredán január 21-én vasárnap 21 UTC-kor
MacBook és mikahock duó nyerte a szolnoki fordulót gratulálok nekik és mindenkinek, aki elégedett volt a teljesítményével. 
Forduló: Link
Összetett: Link
A következő kiíró met4ever, így szeretnének kérni egy helyszínt és egy időpontot.
Választható helyszínek:
Budapest-Újpest [metnet-es észlelő]
Csíkszereda (Miercurea Ciuc) [15170]
Eger [12870]
Felcsút [metnet-es észlelő]
Kékestető [12851]
Pécs-Egyetem [38528]
Siófok [metnet-es észlelő]
Sopron-Kurucdomb [13704]
Szombathely [12812]
Zágráb-Maksimir [14240]
Meteorológiai állomások beosztása a fejlécben.
Forduló: Link
Összetett: Link
A következő kiíró met4ever, így szeretnének kérni egy helyszínt és egy időpontot.
Választható helyszínek:
Budapest-Újpest [metnet-es észlelő]
Csíkszereda (Miercurea Ciuc) [15170]
Eger [12870]
Felcsút [metnet-es észlelő]
Kékestető [12851]
Pécs-Egyetem [38528]
Siófok [metnet-es észlelő]
Sopron-Kurucdomb [13704]
Szombathely [12812]
Zágráb-Maksimir [14240]
Meteorológiai állomások beosztása a fejlécben.
Kizárt, hogy ilyen tetemes mennyiséget összeszenvedjen! Ez a gizda ciklon 1 hét alatt sem facsarná ki magából!
Ahogy meglesz este 7 után a maximum, úgy akkor 8-ig lepontozzuk.
Ha ma este meglenne a pontozás, akkor tudnék még ma kiesőst számolni, ha nem, akkor hétvégén legkorábban.
Összfelhőzet: 6 okta
Jelenidő: Nincs
T min: -2,3°C
T akt: 1,9°C
Szélirány: 200° (déli)
Erőssége: 4 m/s (mérsékelt)
A maximum-hőmérséklet valószínűleg 4°C lesz.
Jelenidő: Nincs
T min: -2,3°C
T akt: 1,9°C
Szélirány: 200° (déli)
Erőssége: 4 m/s (mérsékelt)
A maximum-hőmérséklet valószínűleg 4°C lesz.
És akkor még nem is beszéltünk a CAVOK-ról. 
Majdnem elfelejtettem a fordulót, de ahogy nézem, nem sokat vesztettem volna azzal sem, ha kihagyom, így is, úgy is kieső lesz valószínűleg.
Majdnem elfelejtettem a fordulót, de ahogy nézem, nem sokat vesztettem volna azzal sem, ha kihagyom, így is, úgy is kieső lesz valószínűleg.
Bocsánat a hülye ötletért, de távolabbra nem mehetünk? Egy más Európai ország, Alpokba, vagy egy tengerpart? Netán egy észak finn állomás (télen érdekes lehet..)
Azért a katonai repülőtereket is szépen beszippantotta a táviratok adattovábbítási problémája. Nem kerülnek fel normálisan sehová a SYNOP észlelések az észlelő által megfigyelt adatok (gondolok itt a felhőzetre, jelenidőre). Múltkor Kecskemét esetében az volt a mázlink, hogy OVC ment be a METAR táviratba, ami egyértelműsítette, hogy az égbolt teljesen borult, de ha mondjuk BKN ment volna be, már nem tudtuk volna, hogy az összfelhőzet mennyisége most öt, hat vagy hét okta, mert ugye a METAR-ban tök máshogyan mennek a dolgok. Most a BKN-nel tudok jönni, ugyanis ugye az erősen felhős égbolt, ami normális földfelszíni meteorológiai állomásokon hat, hét okta, míg repülőtereken más a történet METAR esetében, ott már az öt okta is erősen felhős.
Most a szolnoki esetben pedig szerencsére van ismeretségem, így ki fog derülni a pontos okta szám, esetlegesen jelenidő ha lesz, de hosszabb távon ez a rendszer így tarthatatlan lesz, így 2024-ben. Ennek hatására Kornéllal arra jutottunk, hogy a 2024. évi nyári versenykörtől kezdve nagy valószínűséggel ki fogjuk venni Kecskemét, Szolnok városok katonai repülőtereit. Építő jellegű hozzászólásukat szívesen várunk a dolgokkal kapcsolatban, ki melyik állomásokat tenné be pluszban a nyári körtől kezdve. Van nekünk egy Mosonmagyaróvárunk, ami nem játszik (még) a versenyben illetve egy Budapest-Pestszentlőrinc is. Én utóbbit nem igazán szeretném betenni, ugyanis van egy háztáji észlelőnk Jákli Imre személyében Újpestről. Úgyhogy az én eszmefutásomban még egy állomásra szükség lesz, illetve ha ti is így gondoljátok, akkor várjuk az esetleges helyszínötleteket. Ha pedig máshogy, akkor nyugodtan ragadjatok "tintát" és hallgatjuk az okfejtéseket.
Most a szolnoki esetben pedig szerencsére van ismeretségem, így ki fog derülni a pontos okta szám, esetlegesen jelenidő ha lesz, de hosszabb távon ez a rendszer így tarthatatlan lesz, így 2024-ben. Ennek hatására Kornéllal arra jutottunk, hogy a 2024. évi nyári versenykörtől kezdve nagy valószínűséggel ki fogjuk venni Kecskemét, Szolnok városok katonai repülőtereit. Építő jellegű hozzászólásukat szívesen várunk a dolgokkal kapcsolatban, ki melyik állomásokat tenné be pluszban a nyári körtől kezdve. Van nekünk egy Mosonmagyaróvárunk, ami nem játszik (még) a versenyben illetve egy Budapest-Pestszentlőrinc is. Én utóbbit nem igazán szeretném betenni, ugyanis van egy háztáji észlelőnk Jákli Imre személyében Újpestről. Úgyhogy az én eszmefutásomban még egy állomásra szükség lesz, illetve ha ti is így gondoljátok, akkor várjuk az esetleges helyszínötleteket. Ha pedig máshogy, akkor nyugodtan ragadjatok "tintát" és hallgatjuk az okfejtéseket.
Elkészült az összefoglaló.
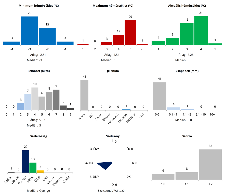
Ahogy nézem, ebben a fordulóban a felhőzet és a szél lesz a döntő, illetve mind a három hőmérsékleti értéknél is két nagyobb tömb van. 

Basszus, pont végignéztem az előréket, hátha olyan történt, ami...
Hát történt, lejárt az idő
De asszem nem is módosítottam volna.
Hát történt, lejárt az idő
De asszem nem is módosítottam volna.
Épp meg akartam nézni, hogy mi a helyzet még a végső határidő előtt, de annak már lőttek, akkor nézem a tippeket
Isteni sugallatra most jutott eszembe, gyors leadtam egy nyerő 1.2-est
Rendben, ha időm és erőm adja, fogom szállítani.
A kiesős lista a fenti ismert linken elérhető. Az esetleges hibákat itt kérem jelezzétek.
A kiesős lista a fenti ismert linken elérhető. Az esetleges hibákat itt kérem jelezzétek.
Kérdésem a szervezőkhöz: lesz a verseny közben a rendszer által generált kiesős lista, vagy csináljam, mint eddig?
Hinnye, jelenidővel nyertem(tünk) volna egy fordulót, de a dobogósoknak is jár a gratuláció
Ejszaka is volt egy csapadéktömb, ami érintette az állomást, ez már hosszabban.
Gratulálok a dobogósoknak. Végül a mért csapadék csak megmentette a fordulómat...
Gratulálok a dobogósoknak. Végül a mért csapadék csak megmentette a fordulómat...
Így kell egy 20,4 pontos 1.2-es tippet 16 pontos 1.0-ra cserélni
A 0,2 mm mentett meg, már amennyire...
Gratula a győzőnek!
Gratula a győzőnek!
Csak találtak 0,2 millimétert a mérőben...
scs_95 a forduló győztese gratulálok neki!
Forduló: Link
Összetett: Link
A tizedik forduló következik. jocika8627-től szeretnénk kérni egy helyszínt és egy időpontot.
Választható helyszínek:
Budapest-Újpest [metnet-es észlelő]
Csíkszereda (Miercurea Ciuc) [15170]
Eger [12870]
Felcsút [metnet-es észlelő]
Kékestető [12851]
Pécs-Egyetem [38528]
Siófok [metnet-es észlelő]
Sopron-Kurucdomb [13704]
Szolnok [12860]
Szombathely [12812]
Zágráb-Maksimir [14240]
Meteorológiai állomások beosztása: Link
scs_95 a forduló győztese gratulálok neki!
Forduló: Link
Összetett: Link
A tizedik forduló következik. jocika8627-től szeretnénk kérni egy helyszínt és egy időpontot.
Választható helyszínek:
Budapest-Újpest [metnet-es észlelő]
Csíkszereda (Miercurea Ciuc) [15170]
Eger [12870]
Felcsút [metnet-es észlelő]
Kékestető [12851]
Pécs-Egyetem [38528]
Siófok [metnet-es észlelő]
Sopron-Kurucdomb [13704]
Szolnok [12860]
Szombathely [12812]
Zágráb-Maksimir [14240]
Meteorológiai állomások beosztása: Link
Mérnek kézzel és jelentenek a MET-ÉSZ-re, de kaotikus az adat beérkezésének menete. Max várunk holnap estig, aztán ha nem akkor pontozunk, majd kiírjuk a kövi fordulót. Aztán, ha mégis lesz csapadék, akkor természetesen újra pontozzuk.