Információk az előrejelzési versenyhez
Versenyinformációk
A VERSENYSZABÁLYZATÚj előrejelzés elküldése az előrejelzési versenybe
A legutóbbi forduló eredménye
A verseny összesített állása
A 3 kieső fordulót nem tartalmazó összesített lista
A synop-kódok értelmezéséhez egy kis segítség
Szélirány-meghatározáshoz segítség
Stelvio segítségével megjelenített összesített ranglista
Stelvio segítségével megjelenített örökranglista
Stelvio segítségével megjelenített dicsőséglista
A meteorológiai állomások elhelyezkedése
A meteorológiai állomások beosztása
A zágrábi fordulót lepontoztam, amit azonos ponttal Zivipötty, Misimókus, met4ever, coontac húztak be. Gratulálok nekik! 
Forduló: Link
Összetett: Link
A következő kiíró stelvio lesz. Meteorológiai állomások februári beosztása a napokban fog érkezni. Mivel nagyrészt már csak beosztásos állomások vannak, addig egy kis pihenőt tartunk szerintem.
Választható helyszínek:
Budapest-Újpest [metnet-es észlelő]
Eger [12870]
Felcsút [metnet-es észlelő]
Kékestető [12851]
Pécs-Egyetem [38528]
Siófok [metnet-es észlelő]
Sopron-Kurucdomb [13704]
Szombathely [12812]
Forduló: Link
Összetett: Link
A következő kiíró stelvio lesz. Meteorológiai állomások februári beosztása a napokban fog érkezni. Mivel nagyrészt már csak beosztásos állomások vannak, addig egy kis pihenőt tartunk szerintem.
Választható helyszínek:
Budapest-Újpest [metnet-es észlelő]
Eger [12870]
Felcsút [metnet-es észlelő]
Kékestető [12851]
Pécs-Egyetem [38528]
Siófok [metnet-es észlelő]
Sopron-Kurucdomb [13704]
Szombathely [12812]
Én is alálőttem, pedig tudhatnám, hogy szélcsendes, derült időben kilő a hőmérséklet
Valamelyik oldal 9 maxot is adott mára az előrékben, de én még azzal számoltam, hogy inkább fölélövik, mert nem számolnak a hideg talajjal, stb. Na, ennyit a nagy agyalásaimról…
Na ez is előfordult, papiron volt a tippem, de lemaradtam. Most versenyen kívül;
( -4+8+6 okta-jelen 0 szél gy.dny.csap 0) szorzó 1,0
( -4+8+6 okta-jelen 0 szél gy.dny.csap 0) szorzó 1,0
Elkészült az összefoglaló.
A csíkszeredaihoz képest ez most egy egészen nyugis átlagjavító fordulónak tűnik. 

Ez volt az 1,2-esem:
-14/-1/-11/0 okta/-/gyenge NY-i/0,0
Modellek alapján még 1,0-val sem adtam volna ködöt, sőt ha nem nézek rá az aktuális helyzetre a leadási határidő előtt, akkor nem is változtattam volna... (Meg hát szerencsém is volt, hiszen csak az időpont körüli néhány órában volt köd.)
Én most mikahocknak gratulálok, ő ugyanis már 1,2-essel bevállalta a ködöt.
-14/-1/-11/0 okta/-/gyenge NY-i/0,0
Modellek alapján még 1,0-val sem adtam volna ködöt, sőt ha nem nézek rá az aktuális helyzetre a leadási határidő előtt, akkor nem is változtattam volna... (Meg hát szerencsém is volt, hiszen csak az időpont körüli néhány órában volt köd.)
Én most mikahocknak gratulálok, ő ugyanis már 1,2-essel bevállalta a ködöt.
Köszi a kiesős listát!
Lám, egy 4,8 pontos forduló után is lehet 3 helyet javítani.
.Bezzeg múlt héten a 18 pontom -2 helyet ért!
Lám, egy 4,8 pontos forduló után is lehet 3 helyet javítani.
Felejtsük el ezt a szörnyű fordulót, 4 embernek nem lett kieső ez a forduló.
Kiesős lista fent virít.
Kiesős lista fent virít.
Ennyire nehéz fordulót azért nem akartam...
Nem jár plusz 3 pont a legalacsonyabb átlagú forduló kitalálásáért?
Pestimetnek gratulálok. Nem tudom miröl módositott 1.0-val, de bátor lépés volt, én nem mertem meglépni.
Lehet, hogy ez még sokat jelent majd a végén, különösen ha még lesznek alacsony pontszámú fordulók, ahol a korábbi kiesö pontok sokat számithatnak.
Nem jár plusz 3 pont a legalacsonyabb átlagú forduló kitalálásáért?
Pestimetnek gratulálok. Nem tudom miröl módositott 1.0-val, de bátor lépés volt, én nem mertem meglépni.
Lehet, hogy ez még sokat jelent majd a végén, különösen ha még lesznek alacsony pontszámú fordulók, ahol a korábbi kiesö pontok sokat számithatnak.
Hát ez kegyetlen forduló volt. 
Pestimetnek gratulálok, jól ráérzett erre a módosításra.
Ritka forduló az, ahol a felhőzetre senki nem kap pontot 
Gratula a győztesnek, szép 1.0-s tipp volt
Gratula a győztesnek, szép 1.0-s tipp volt
fordulót lepontoztam, amit Pestimet húzott be. Gratulálok neki! 
Honzát szeretném megkérni, hogy gyorsan felejtsük el ezt a csíkszeredai fordulót és jelölje ki a tizenkettedik forduló helyszínét és időpontját.
Választható helyszínek:
Budapest-Újpest [metnet-es észlelő]
Eger [12870]
Felcsút [metnet-es észlelő]
Kékestető [12851]
Pécs-Egyetem [38528]
Siófok [metnet-es észlelő]
Sopron-Kurucdomb [13704]
Szombathely [12812]
Zágráb-Maksimir [14240]
Meteorológiai állomások beosztása: Link
Honzát szeretném megkérni, hogy gyorsan felejtsük el ezt a csíkszeredai fordulót és jelölje ki a tizenkettedik forduló helyszínét és időpontját.
Választható helyszínek:
Budapest-Újpest [metnet-es észlelő]
Eger [12870]
Felcsút [metnet-es észlelő]
Kékestető [12851]
Pécs-Egyetem [38528]
Siófok [metnet-es észlelő]
Sopron-Kurucdomb [13704]
Szombathely [12812]
Zágráb-Maksimir [14240]
Meteorológiai állomások beosztása: Link
Gyerekek, most nézem, milyen böszme egy forduló lesz ez, hihetetlen
Ezentúl kérem a versenyben mind a 20 helyszínnek Csíkszeredát
Ezentúl kérem a versenyben mind a 20 helyszínnek Csíkszeredát
Háát, legalább a Takt és a szélcsend telibe... A többi nekem is kuka, főleg, ha még esetleg összeszitál/szemcsés hózik 0,1 mm-t reggelig. 
A Tmax egyébként -3,6 °C lett, így 1 pontot azért arra is kapok.
A Tmax egyébként -3,6 °C lett, így 1 pontot azért arra is kapok.
21 UTC: -14,7 fok, 9 okta, köd, szélcsend.
Megérte a módosítás 1.2-ről, de így is kieső.
Ha jól látom Pestimet behúzza ezt a fordulót, előre is gratulálok.
Megérte a módosítás 1.2-ről, de így is kieső.
Ha jól látom Pestimet behúzza ezt a fordulót, előre is gratulálok.
De én úgy értem, többször legyen egy téli sorozat alatt.
Igen, volt már “átlagos” forduló is kevés érdekességgel itt, talán akkor pont rizikóztam alacsony Tmin- nel, akkor persze nem jött be emlékeim szerint.
Igen, volt már “átlagos” forduló is kevés érdekességgel itt, talán akkor pont rizikóztam alacsony Tmin- nel, akkor persze nem jött be emlékeim szerint.
Dabronynak drukkolok. Tmin telibe, Tmax valószínűleg -5°C, így telibe, s a -14 fokos Takt-ja is lehet még telitalálat 1,2-vel. 17 UTC-kor -11,4°C volt. Én meg hajtok a 0 pontos T-k felé
Egy ideje már van szerintem télen-nyáron, de az időzítés nem mindegy, simán bele lehet futni ott is egy "átlagos" hőmérsékleti helyzetbe - reggel néhány fokos mínusszal, napközben plusszal - télen is.
Mit gondoltunk mi ezekkel a hőmérsékletekkel... Persze az 1.2-es után nem néztem térképeket, de amikor nálunk is simán megvoltak a -10, -14 fokok, nem tudom, mi másra számíthattunk…..
Ha javasolhatom még egyszer, legyen már többször ez a helyszín legalább télen!!
Ha javasolhatom még egyszer, legyen már többször ez a helyszín legalább télen!!
Ahogy most kinéz, a Tmax-ra nem fognak sokan pontot kapni. Remélem, estére visszaáll a zárd köd is, ha már bukta, legyen kövér.
Ezt a helyszínt szerepeltessük már többször legalább télen, gondolom sokan örülnének
Zúzmarás ködöt észlelnek néhány órája, 00 UTCkor -16,5 fok volt, azóta kissé emelkedett a hőmérséklet. Mivel csak órás adatok vannak, így akár 1-2 fokkal hidegebb is lehet a minimum ennél.
3 UTC: -14,0 fok, gyenge nyugati szél, köd.
3 UTC: -14,0 fok, gyenge nyugati szél, köd.
Még az is kérdés, hogy ez az észak felől közeledő felhősáv bele tud-e szólni a minimum hőmérséklet alakulásába...

Közben megtorpant a hőmérséklet csökkenés. 23 UTC-kor "csak" -16.0/-17.8 fok épp szélcsendnél. Mókásan mutat a modellek -5 és -10 fok közötti hőm.előrejelzése 2 órára 

Én az 1,2-es -14/-10-es Tmin/Takt párost engedtem el, mert bár mindkettő magasnak tűnt, nagyon bizonytalan volt, hogy mennyire kellene csökkenteni. Így simán előfordulhatott volna, hogy a csökkentés ellenére is lenullázom ezeket, s egyben az 1,2-es szorzót is elvesztem. Ráadásul akkor már a szélcsendemet és a nem lesz jelenidőmet is át kellett volna gondolni, amelyek szintén bizonytalanok. Így végül maradt minden inkább 
A harmatpont hófelszín felett jelentősen tud csökkenni éjszaka a légnedvességnek a hófelszínre történő kifagyása miatt, így felhőtlen/derült égnél, ennyire gyenge légmozgásnál ki tudja, hogy -20 fokon innen vagy túl kötünk ki reggelig. 19 UTC-kor -13 foknál már volt nyílt köd, de aztán simán megszűnt a harmatpont további csökkenésével. Ha már nem változtattam és -16 fok is megvolt, akkor hajrá a -20 alatti tartomány, ritkán jön elő a versenyben
A harmatpont hófelszín felett jelentősen tud csökkenni éjszaka a légnedvességnek a hófelszínre történő kifagyása miatt, így felhőtlen/derült égnél, ennyire gyenge légmozgásnál ki tudja, hogy -20 fokon innen vagy túl kötünk ki reggelig. 19 UTC-kor -13 foknál már volt nyílt köd, de aztán simán megszűnt a harmatpont további csökkenésével. Ha már nem változtattam és -16 fok is megvolt, akkor hajrá a -20 alatti tartomány, ritkán jön elő a versenyben
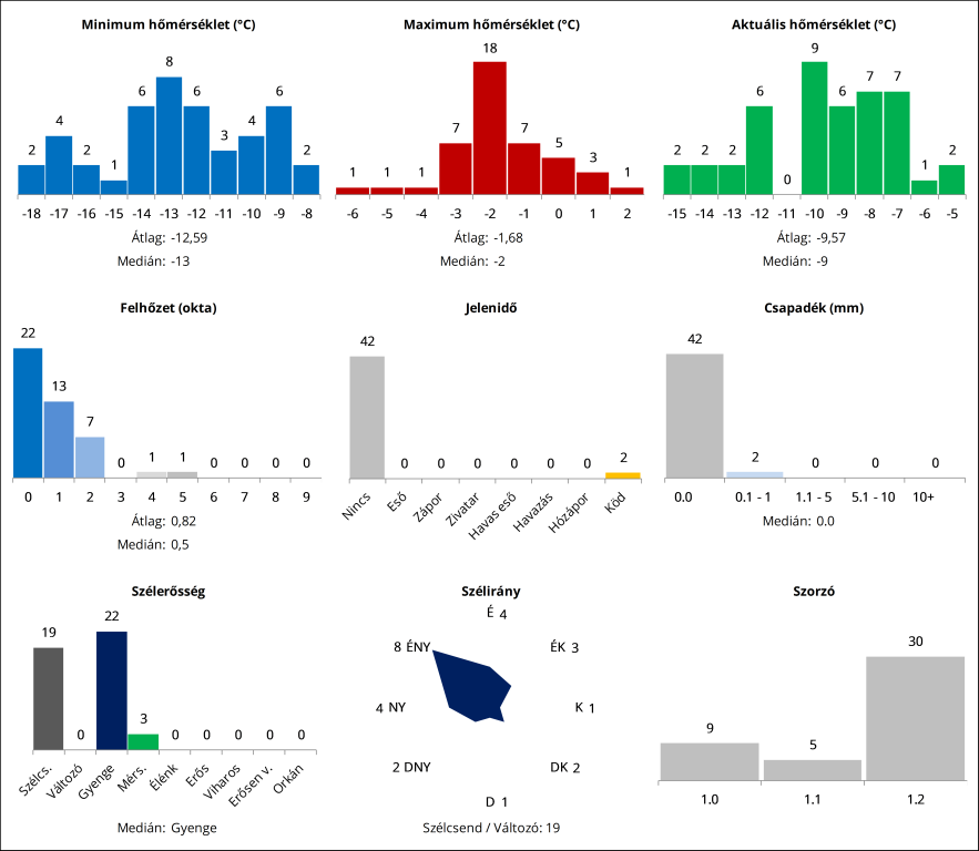
Elkészült az összefoglaló.
Hát, érdekes forduló lesz, az biztos.
Van mindenféle hőmérséklet (de a Taktnál nincsen -11 fok, viszont mellette van 6 és 9 darab a -12 és -10 értékekből
), rengeteg szélcsend, az egyéb szeles irányokból pedig szintén van minden irányú összevissza.
Na meg persze ott van az utolsó pillanatos módosítás, amivel látom, páran éltek is.
Én is erősen gondolkoztam rajta, de aztán végül úgy döntöttem, hogy elengedem a minimumot, és inkább abban bizakodom, hogy majd a többinél kompenzál a szorzó, főleg a jelenidő, felhőzet, csapadék trióval, meg hátha bejön az a szélcsend is. Szerencsésebb esetben a -12 fokos Taktom is hozhat akár 2-3 pontot, a minimummal meg úgy voltam, hogy még pár órára előre is előfordulhat, hogy mellélövök, szóval inkább nem variáltam. 

Ennyi szélcsend tippet nem is tudom, mikor láttam utoljára. (ha egyáltalán...)
Magam is erősen elgondolkoztam rajta, de végül nem mertem bevállalni.
Lehet, hogy nekem sem ártott volna egy "T korrekció" egynullában...
Lehet, hogy nekem sem ártott volna egy "T korrekció" egynullában...

