Információk az előrejelzési versenyhez
Versenyinformációk
A VERSENYSZABÁLYZATÚj előrejelzés elküldése az előrejelzési versenybe
A legutóbbi forduló eredménye
A verseny összesített állása
A 3 kieső fordulót nem tartalmazó összesített lista
A synop-kódok értelmezéséhez egy kis segítség
Szélirány-meghatározáshoz segítség
Stelvio segítségével megjelenített összesített ranglista
Stelvio segítségével megjelenített örökranglista
Stelvio segítségével megjelenített dicsőséglista
A meteorológiai állomások elhelyezkedése
A meteorológiai állomások beosztása
Toronymagasan Pestimet húzta be a felcsúti fordulót, gratulálok neki!
Forduló: Link
Összetett: Link
A következő kiíró Tullner_Job, így szeretnénk kérni egy helyszínt és egy időpontot.
Választható helyszínek:
Budapest-Újpest [metnet-es észlelő]
Eger [12870]
Kékestető [12851]
Pécs-Egyetem [38528]
Siófok [metnet-es észlelő]
Szombathely [12812]
Meteorológiai állomások beosztása: Link
Forduló: Link
Összetett: Link
A következő kiíró Tullner_Job, így szeretnénk kérni egy helyszínt és egy időpontot.
Választható helyszínek:
Budapest-Újpest [metnet-es észlelő]
Eger [12870]
Kékestető [12851]
Pécs-Egyetem [38528]
Siófok [metnet-es észlelő]
Szombathely [12812]
Meteorológiai állomások beosztása: Link
Nincs jelentősége a kerekítés miatt, de a 14:10-es és 14:20-as 10,7°C?
Összfelhőzet: 7 okta
Jelenidő: Nincs
T akt: 9,1°C
T min: 6,7°C.
T max: 10,6°C
Szélirány: 315° (északnyugati)
Erőssége: 4 km/h (gyenge)
Csapadék: Eddig nem volt meg nagy valószínűséggel nem is lesz.
Jelenidő: Nincs
T akt: 9,1°C
T min: 6,7°C.
T max: 10,6°C
Szélirány: 315° (északnyugati)
Erőssége: 4 km/h (gyenge)
Csapadék: Eddig nem volt meg nagy valószínűséggel nem is lesz.
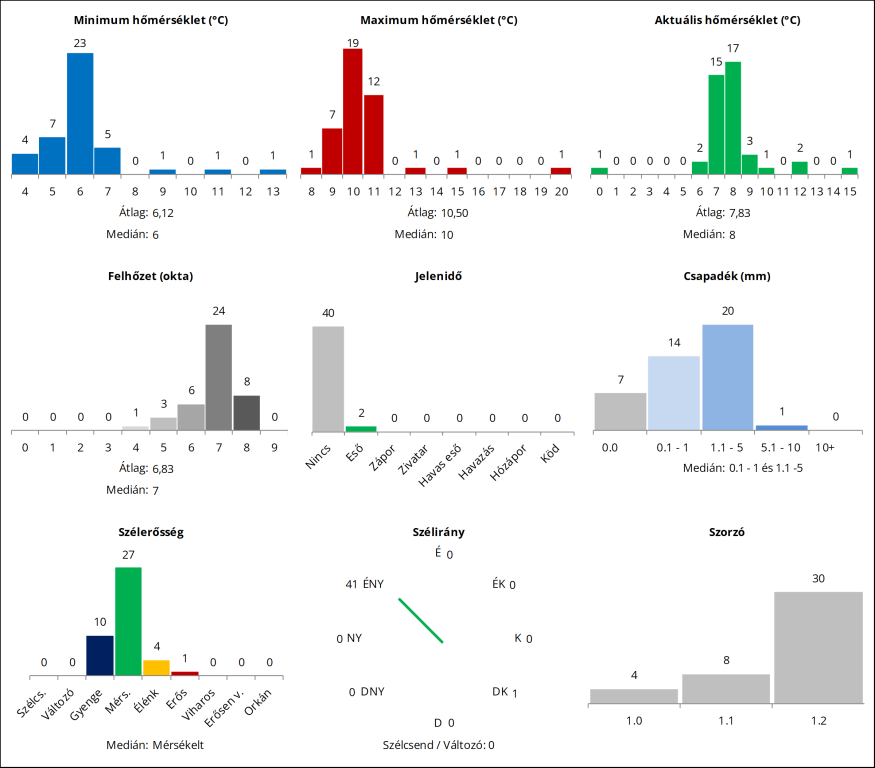
Elkészült az összefoglaló.
A hőmérsékleteknél van pár kilógó tipp, illetve egy felcserélt Tmin Tmax is, amit a diagramon megcseréltem (legalábbis próbáltam kitalálni, mire gondolt a költő
). Ezt leszámítva nem tűnik egy bonyolult fordulónak, talán egyedül a csapadékmennyiség, amiből ugyanannyi tipp érkezett 1 mm-es vagy az alatti és 1 mm fölötti értékekre.
Az egy darab délkeleti szél mellett pedig az összes északnyugati, így a széliránynál üres diagram helyett egy külön vonalat be kellett illesztenem. 

A soproni fordulót azonos pontszámmal Hidegcsepp95, Phileas, scs_95 és én nyertük. Gratulálok mindenkinek! 
Forduló: Link
Összetett: Link
Blizzard lesz a következő kiíró, így szeretnénk kérni egy helyszínt és egy időpontot.
Választható helyszínek:
Budapest-Újpest [metnet-es észlelő]
Eger [12870]
Felcsút [metnet-es észlelő]
Kékestető [12851]
Pécs-Egyetem [38528]
Siófok [metnet-es észlelő]
Szombathely [12812]
Meteorológiai állomások beosztása: Link
Forduló: Link
Összetett: Link
Blizzard lesz a következő kiíró, így szeretnénk kérni egy helyszínt és egy időpontot.
Választható helyszínek:
Budapest-Újpest [metnet-es észlelő]
Eger [12870]
Felcsút [metnet-es észlelő]
Kékestető [12851]
Pécs-Egyetem [38528]
Siófok [metnet-es észlelő]
Szombathely [12812]
Meteorológiai állomások beosztása: Link
Ahogy végignéztem a napi adatokat, főként az előző éjjelit, látszik a hőmérséklet nagy ingadozása, hogy merről fújt a szél. Nagyon labilis az észlelés ilyenkor.
Link
Link
Csak most látom a dolgot, mi van az adatokkal. Egyetértek veled. Mint már nem gyakorló matematikus azt gondolom, hogy a hőmérséklet, mint függvény folytonos. Sokszor kértük a soproniakat direktben és készséggel adták az adatokat, javasolom a megkeresésüket most is, mi történt.
Érdekességképpen végignéztem a 10 percenkénti adatokat és 9,0°C ezekben a legalacsonyabb érték 6:40 előtt, pl. 6:20-kor, 5:00-kor, stb. Ha a rendszerbe 8,9°C került minimumnak, akkor legalább az megállapítható, hogy nem a 10 percenkénti adatok minimumát vették, hanem valami mást, a 10 percenkénti mérésektől sűrűbb méréseket alapul véve. Anno erre volt egy külön minimum hőmérő, most nem tudom miből veszik, de az mindenesetre elég komikus, hogy:
6:30-kor 9,3°C volt, 6:40-kor 8,5°C, s a minimum 8,9°C lett, pedig 6:30 és 6:40 között 9,3-ről 8,5-re csökkenve a hőmérsékletnek nyílvánvalóan pl. a 8,6°C-on is át kellett haladnia.
Lehet, hogy a teljes 6:30 - 6:40-es időszakot kihagyták a számításból és korábban tényleg csak 8,9°C-ig ment le a T 19 óra óta?
Ez így nagyon gáz...
Bubu: nem a pontokról van szó, hanem a következetességről, amit jó lenne tartani, amennyire még lehet. Az hagyján, hogy 06 UTC-ig volt 8,5°C (sőt ez alatt is), de még 05:40 UTC-ig is és ennek tudatában 8,9°C a szinoptikus minimum a rendszerben, ami egyértelműen hibás.
6:30-kor 9,3°C volt, 6:40-kor 8,5°C, s a minimum 8,9°C lett, pedig 6:30 és 6:40 között 9,3-ről 8,5-re csökkenve a hőmérsékletnek nyílvánvalóan pl. a 8,6°C-on is át kellett haladnia.
Lehet, hogy a teljes 6:30 - 6:40-es időszakot kihagyták a számításból és korábban tényleg csak 8,9°C-ig ment le a T 19 óra óta?
Ez így nagyon gáz...
Bubu: nem a pontokról van szó, hanem a következetességről, amit jó lenne tartani, amennyire még lehet. Az hagyján, hogy 06 UTC-ig volt 8,5°C (sőt ez alatt is), de még 05:40 UTC-ig is és ennek tudatában 8,9°C a szinoptikus minimum a rendszerben, ami egyértelműen hibás.
Tudom, nagyon előrelátó versenyző vagy, tiszteletem az első tíz közöttiekben.
De én már sok kefét lerágtam az miatt, hogy "páros T. tizedét felfelé, a páratlannál meg lefelé kerekítünk. Meg a sok óra 40, 45, 50, és egész órai észlelések.
Legyen már a 0,5 tized mindig egész, és felfelé. Merről fujt a szél? utolsó óra súlyozott átlaga...
A jelenidő az a varázslat a színpodon. Olyan amilyennek látja azt a helyszíni észlelő. Pont.
A digi térképek meg ugyis késésben vannak.

De én már sok kefét lerágtam az miatt, hogy "páros T. tizedét felfelé, a páratlannál meg lefelé kerekítünk. Meg a sok óra 40, 45, 50, és egész órai észlelések.
Legyen már a 0,5 tized mindig egész, és felfelé. Merről fujt a szél? utolsó óra súlyozott átlaga...
A jelenidő az a varázslat a színpodon. Olyan amilyennek látja azt a helyszíni észlelő. Pont.
A digi térképek meg ugyis késésben vannak.
Szerintem jobb lenne azidőszaki, 2-3 órás jelentések átlagát nézni, és nem lenne ez a tized vacilálás.
Engedjük már be a 9 fokot, tudom te 0-at kapnál T.minre.

Meg a foxi-maxinál is az utolsó 2-3 órát figyelnénk, emme "nincs kódja" féle helyszíneknél.
Én törölném a nyári fordulóba, legyen helyette Mm.óvár, vagy Kőszeg.
Engedjük már be a 9 fokot, tudom te 0-at kapnál T.minre.
Meg a foxi-maxinál is az utolsó 2-3 órát figyelnénk, emme "nincs kódja" féle helyszíneknél.
Én törölném a nyári fordulóba, legyen helyette Mm.óvár, vagy Kőszeg.
Összelhőzet: 5 okta
Jelenidő: Nincs
T akt: 11,0°C
T min: 8,9°C
Szélirány: 310° (északnyugati)
Erőssége: 5 m/s (mérsékelt)
Jelenidő: Nincs
T akt: 11,0°C
T min: 8,9°C
Szélirány: 310° (északnyugati)
Erőssége: 5 m/s (mérsékelt)
Igen, egy rendes szinop táviratban biztos, hogy így megy a dolog (pl. az előzőleg említett példám mellett itt a lomnici fordulóban is az este 7 órás érték lett a napi Tmax). Viszont közben antibulvárnál utánakérdeztem, és megnézte, a rendszerben tényleg 8,9 °C szerepel minimumként, bár azt ő sem értette, hogy miért, mikor a 6:40-es adat 8,5 °C volt. Mondjuk amennyi keverés megy már itt Magyarországon az adatokkal (meg világszinten is a szinopokkal, hiszen van olyan oldal, ahol már az egész órás értékek kerülnek a táviratokba, de van olyan, ahol még mindig az óra 40-esek), én sajnos semmin nem lepődök meg. De az tuti, hogy a 8,5 °C lenne a jogos.
Szerintem a Tmin/Tmax időszakokra vannak definiálva és nem időpontokra, így az időszak végén lévő időpont mindkét határos időszakba beleszámít, amit határol. Ha pl. folyamatosan csökken a T, akkor a 06 UTC-s érték lesz a szinoptikus minimum (18-06UTC) és a szinoptikus maximum (06-18UTC) is. Nincs olyan, hogy a 06 UTC-s érték csak az egyikbe számítana bele.
Ugyanígy az éjszakai/nappali Tmin-nél.
Ugyanígy az éjszakai/nappali Tmin-nél.
Pedig én több olyan helyzetre is emlékszem, amikor reggel csökkent a hőmérséklet, és a 6 UTC-s adat lett a minimum a szinop táviratban (szerintem eleve nem is lehet olyan, hogy a Tmin magasabb, mint a 6 UTC-s adat). Egy szemléletes példa, ami elsőre beugrott: Link
06:40-es adattól már hivatalosan nappali minimumnak számolódik, szóval így. Délben kijön a napijelentés, szerintem ott Sopronként a Kurucdomb szerepel és remélhetőleg meg fog erősíteni ebben.
Ebből legalább a 6:40-es 8,5-nek játszania kellene még mindenképpen, de már az is 8 °C a kerekítés miatt.
(Sokat vacilláltam, hogy 8 vagy 7 °C-ot adjak-e, az első megérzésem a 8 volt, de többször is átírtam oda-vissza, végül a 7 mellett döntöttem, kár volt.)
(Sokat vacilláltam, hogy 8 vagy 7 °C-ot adjak-e, az első megérzésem a 8 volt, de többször is átírtam oda-vissza, végül a 7 mellett döntöttem, kár volt.)
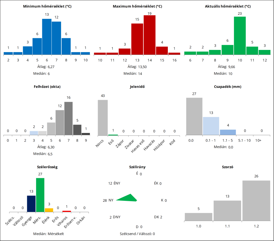
Elkészült az összefoglaló.
Végre egy igazi tavaszi forduló, kár, hogy még csak február eleje van. 


1,5x-nál még volna értelme kockáztatni a lájtos helyzetekben, de ilyenkor felesleges görcsölni rajta, nem ad annyi pluszt. 1,0 bőven jó tud lenni...
Egy megbeszélés miatt nem tudtam ránézni, hogy módosítsak-e. Most megnézem, hogy kellett volna-e
Én már dobtam az 1,2-esemet, aztán lehet, hogy holnap a maradék szorzót is
Hát, jól benne vagyunk most már, az biztos
Én is nézegetem, mit csináltam szarul, meg persze akkor nem voltam bátor, és most sem, hogy változtassak
, most már csak azért sem.
Amikor kitaláltam az időpontot és a helyszínt, még én is egyszerűbbnek gondoltam
Érdekes fordulónak ígérkezik ez is. Nehezen döntöttem, de 09:59:21-kor rászántam magam, hogy elküldjem.
En is emiatt nem mertem meglépni a 0 oktát. Ráadásul gyengébb, bizonytalan irányú, szélcsend felé hajló szelet gondoltam és bepróbálkoztam egy északkeleti iránnyal, ami nagyon nem jött be. Gratulálok a gyöztestársaknak!
Köszönjük szépen! 
Végre egy olyan forduló ahol nem voltak váratlan meglepetések. Már ránk fért főleg Csíkszereda után.
Én is gratulálok a többieknek!
Végre egy olyan forduló ahol nem voltak váratlan meglepetések. Már ránk fért főleg Csíkszereda után.
Én is gratulálok a többieknek!
Ejj, hogy nem voltam elég bátor ahhoz, hogy meglépjem a 0 oktát (mondom valami kis távoli gomoly vagy fátyolfoszlány biztos elcseszi majd...). Na sebaj, gratulálok én is a többi győztesnek!