Információk az előrejelzési versenyhez
Versenyinformációk
A VERSENYSZABÁLYZATÚj előrejelzés elküldése az előrejelzési versenybe
A legutóbbi forduló eredménye
A verseny összesített állása
A 3 kieső fordulót nem tartalmazó összesített lista
A synop-kódok értelmezéséhez egy kis segítség
Szélirány-meghatározáshoz segítség
Stelvio segítségével megjelenített összesített ranglista
Stelvio segítségével megjelenített örökranglista
Stelvio segítségével megjelenített dicsőséglista
A meteorológiai állomások elhelyezkedése
A meteorológiai állomások beosztása
Van 11:30-as synop is, ott egyezik az általad írt 180°/7 m/s. Viszont a met.hu-n is Szombathelynél az órás átlagszélnél 189°/7,9 m/s szerepel, ami szinte biztos, hogy az egész órás adat.
Az ogimeten a 12 UTC-s adatra a 11:30-ra datált adatok tartoznak. Hogy miért? Ne kérdezd, mert nem tudom rá a választ. Az összes többi állomásnál is így működik egyébként.
Szabóka nyerte a szombathelyi fordulót. Gratulálok neki! 
Forduló: Link
Összetett: Link
Misimókus lesz a következő kiíró. Viszont a márciusi beosztás valamikor a következő két-három napban fog elkészülni, így türelmeteket kérjük. Szóval most egy kis pihi következik.
Választható helyszínek majd ezek lesznek egyébként:
Budapest-Újpest [metnet-es észlelő]
Kékestető [12851]
Pécs-Egyetem [38528]
Siófok [metnet-es észlelő]
Forduló: Link
Összetett: Link
Misimókus lesz a következő kiíró. Viszont a márciusi beosztás valamikor a következő két-három napban fog elkészülni, így türelmeteket kérjük. Szóval most egy kis pihi következik.
Választható helyszínek majd ezek lesznek egyébként:
Budapest-Újpest [metnet-es észlelő]
Kékestető [12851]
Pécs-Egyetem [38528]
Siófok [metnet-es észlelő]
Pötty! miért hergeled a versönyzőket? Már megint az a tizedelés. Ettől fogy el a türelmem a versenykörök folytatása mellett.
Meg az a T.min.? Ki keltette ki ezt, amikor a társ órákban 2,1-2,4 volt. Karancs lapulevél felett? Dér Miska beleszólt?
Meg az a T.min.? Ki keltette ki ezt, amikor a társ órákban 2,1-2,4 volt. Karancs lapulevél felett? Dér Miska beleszólt?
13,6 is ott van a tízpercesek közt.
Amúgy a Tmin jó kis bukta lett.
Amúgy a Tmin jó kis bukta lett.
Összfelhőzet: 7 okta
Jelenidő: Nincs
T min: 0,3°C
T akt: 13,1°C
Szélirány: 181° (déli)
Erőssége: 7,3 m/s (mérsékelt)
Jelenidő: Nincs
T min: 0,3°C
T akt: 13,1°C
Szélirány: 181° (déli)
Erőssége: 7,3 m/s (mérsékelt)
Ahhoz azért még az időjárásnak is lesz egy-két szava, pl. rögtön ez:
Tmin 0,3 °C.
Egyébként gondolkodtam a változtatáson, a felhőzetre már keveslem a 3 oktát, inkább 6-ot adtam volna, illetve talán a Tak-ot és a Tmax-ot is lejjebb vittem volna 1-1 °C-kal, de végül nem léptem meg, összességében a szorzó még hátha többet hoz.
Tmin 0,3 °C.
Egyébként gondolkodtam a változtatáson, a felhőzetre már keveslem a 3 oktát, inkább 6-ot adtam volna, illetve talán a Tak-ot és a Tmax-ot is lejjebb vittem volna 1-1 °C-kal, de végül nem léptem meg, összességében a szorzó még hátha többet hoz.
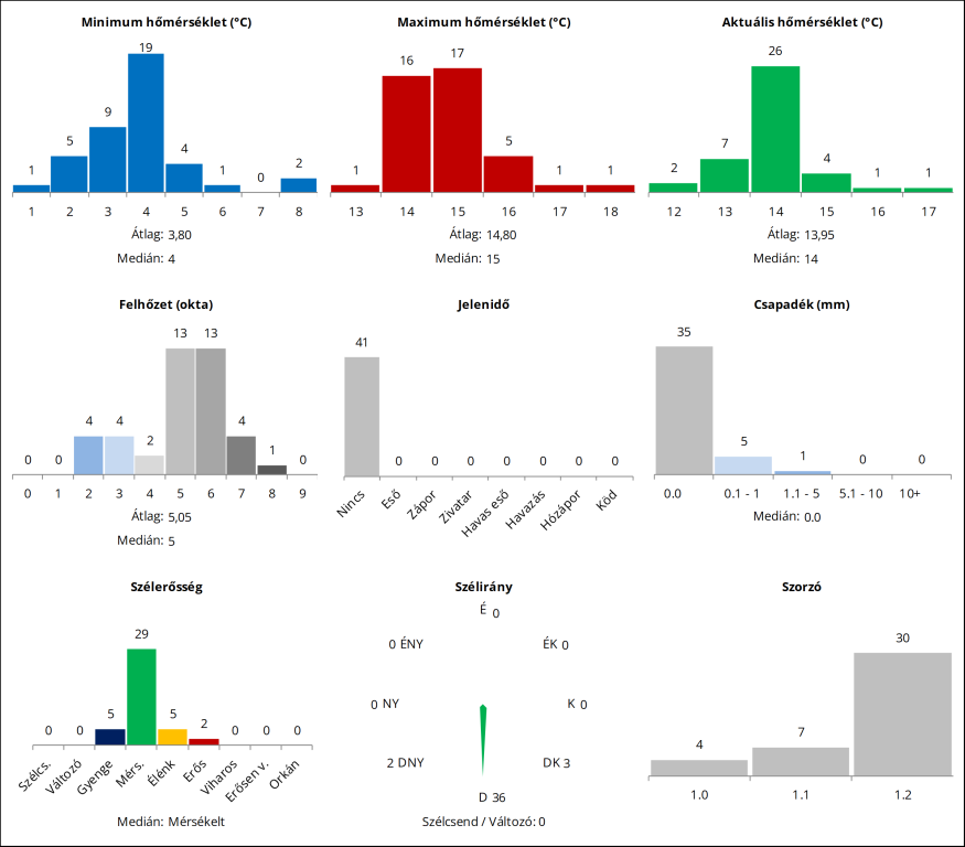
Elkészült az összefoglaló.
Átlagjavító fordulónak tűnik ez a szombathelyi, a tippek is egész egységesek. 

Hoppá, úgy néz ki, nem adtam le tippet... 
Most jött el az idő, hogy a beállításoknál értesítőt kérjek a versenyről is!
Most jött el az idő, hogy a beállításoknál értesítőt kérjek a versenyről is!
Mert tudják, hogy nem kávézom. Bár, mondhattam volna, hogy akkortól igen
Tegnap nem felejtettem el, 12:58-kor eszembe jutott, de mivel egy megbeszélésen voltam, esélytelen volt....
Nem tippeltem és feljöttem a harmadik helyre. Jó ez, már csak meg kell tartani a maradék négy fordulóban.
Gratulálok Hidegcseppnek!
Épp vele elmélkedtem róla Metnet találkozóra menet, hogy az a 0/1 fokos Tmin/Takt párosom "kicsit" alacsony lesz és hogy hogy sikerült ilyen mélyre vinnem.
De legalább a 3 fokosok is ugyanúgy szívtak.
Épp vele elmélkedtem róla Metnet találkozóra menet, hogy az a 0/1 fokos Tmin/Takt párosom "kicsit" alacsony lesz és hogy hogy sikerült ilyen mélyre vinnem.
Nem sokon múlt, de az én 1,0-som sem (még pont nem lett kieső). 
Gratula Hidegcseppnek és a dobogósoknak.
Gratula Hidegcseppnek és a dobogósoknak.
Gratulálok a győztesnek és az elégedetteknek.
A sétagaloppnak kinéző forduló után jöjjön egy vágta, Szombathelyen 2024. február 26-án 12 UTC-kor.
A sétagaloppnak kinéző forduló után jöjjön egy vágta, Szombathelyen 2024. február 26-án 12 UTC-kor.
11,2 °C lett végül.
Csapadék nem volt, elvileg nem is lesz. Mehet a pontozás, aztán jöhet a kukás, hogy vigye innen ezt a hulladék fordulót.
Csapadék nem volt, elvileg nem is lesz. Mehet a pontozás, aztán jöhet a kukás, hogy vigye innen ezt a hulladék fordulót.
Igen, tulajdonképpen nem is baj, mert a nagyon kis pontszámú kieső fordulónak van előnye is, persze ahhoz azért nem mindegy, milyen a többi forduló, az én esetemben nem biztos, hogy nagy baj ez most.
Az 1.0-s módosítással sikerült lenulláznom a majdnem tökéletes, 5 pontos Tmin/Takt-ot. Ha a módosítás többi része bejön, az 5 pontot jelenthet, így összességében 0 pontot hozna + az 1,2-es szorzó elvesztését. Nagyszerű módosítás volt
Lesznek így ezzel néhányan, én csak azért nem, mert már sikerült alulmúlni ezt a fordulót, de aki nem kiesőt produkál, az már elégedett lehet.
Kár, pedig én most nagyon számoltam egy szélcsenddel, de így is meglesz az eddigi legkisebb pontszámom.
05z -kor majdnem beállt a szélcsend, 2,2km/ó.! A Sajó völgye kicsit messzebb volt.
Link
Link
Lettek is meglepetések. 
Tmin: 5,8 °C
Takt: 6,3 °C
Szél: gyenge délkeleti.
Felhőzet: 7 okta.
Jelenidő nem volt.
Tmin: 5,8 °C
Takt: 6,3 °C
Szél: gyenge délkeleti.
Felhőzet: 7 okta.
Jelenidő nem volt.
Elkészült az összefoglaló.
Nem tűnik egy bonyolult fordulónak, bár azért meglepetések is lehetnek. Vannak jelenidős tippek is, illetve a csapadék lehet még vízválasztó, hogy leesik-e mérhető mennyiség. 

Na ja, nagyon kevés volt ez az idő, le is maradtam, de mindegy is, ez csak egy játék
Volt valami 48 óra a kiírástól számítva, vagy az csak egy film volt?
Vagy rosszul emléxem
Vagy rosszul emléxem
Hasítok most eléggé.
Hidegcseppet terveztem letaszítani a dobogó első fokáról, de hát az már nemigen fog menni.
Egy harmadik helyre még azért jók lehetünk, de, ha így is marad a verseny végéig már elégedett vagyok. Hát azért te is benne vagy a TOP 10-ben.
És igazad van a frissített kiesős lista alapján.
De van holtverseny a 20. és 35. helyen is! Átlag feletti forduló volt.
De van holtverseny a 20. és 35. helyen is! Átlag feletti forduló volt.
A 14,4 pontos 1,2-esemet sikerült 18 pontos 1,0-sra cserélni, jó, hogy megléptem.
Az 1,1 - 5 mm => 0 mm-es csapadékösszeg módosítás volt a fő motiváció.
En is gratulálok Pestimetnek, jó korai hajrá
A 3 kiesös összetettben Hidepcseppel épp holtverseny lesz, ha jól számolom.
14 forduló után mekkora ennek az esélye? Es lőn...
Az 1,1 - 5 mm => 0 mm-es csapadékösszeg módosítás volt a fő motiváció.
En is gratulálok Pestimetnek, jó korai hajrá
A 3 kiesös összetettben Hidepcseppel épp holtverseny lesz, ha jól számolom.
14 forduló után mekkora ennek az esélye? Es lőn...