Információk az előrejelzési versenyhez
Versenyinformációk
A VERSENYSZABÁLYZATÚj előrejelzés elküldése az előrejelzési versenybe
A legutóbbi forduló eredménye
A verseny összesített állása
A 3 kieső fordulót nem tartalmazó összesített lista
A synop-kódok értelmezéséhez egy kis segítség
Szélirány-meghatározáshoz segítség
Stelvio segítségével megjelenített összesített ranglista
Stelvio segítségével megjelenített örökranglista
Stelvio segítségével megjelenített dicsőséglista
A meteorológiai állomások elhelyezkedése
A meteorológiai állomások beosztása
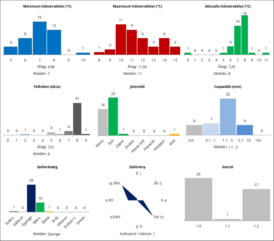
Elkészült az összefoglaló.
Ahogy nézem, főként a hőmérsékletekkel és a felhőzettel lehet pluszban pontokat szerezni azoknak, akik jól tippeltek. 

Rázd fel a Sidolos üveget, és fényesítsd a szélkakast, és a koronát.
Meg ..nézd át az árnyékolót tél m
últával.
Meg ..nézd át az árnyékolót tél m
últával.
Erős a kísértés...
De kedvelem Télembert, így Kékestető lesz, az időpontot még ma megszülöm
Gratulálok mzs-nek, meg minden 15+ pontos versenytársnak! (satya kedvéért a 15 pontosoknak is!
)
Rajtam rendesen kifogott ez a tegnapi légörvény, főleg a csapadék tekintetében. Vérszegény forduló lett ez is, mint a szezonom nagy része. (főleg a második fele)
Rajtam rendesen kifogott ez a tegnapi légörvény, főleg a csapadék tekintetében. Vérszegény forduló lett ez is, mint a szezonom nagy része. (főleg a második fele)
Ha férfi, akkor a második helyszínt választja. 
- - - - - - - -
Végül egy 13,2 pontos 1,2-est módosítottam egy 14 pontos 1,0-sra, megérte.
- - - - - - - -
Végül egy 13,2 pontos 1,2-est módosítottam egy 14 pontos 1,0-sra, megérte.
Ezt legalább megérte módosítanom, mert ahogy elnézem, csapadék nem nagyon lesz.
Nokéremszépen, Tx.: 11.2 °C. (érdekes, mert az éjjeli Tx ennél magasabb volt: 11.9 °C, de ha jól tudom, nem az játszik, hanem a nappali)
Tmax 14 => 11 szintén
Csap.összeg: 0 => 1,1-5 mm
Fog ma itt esni vagy csak 300 km-rel arrébb?
Csap.összeg: 0 => 1,1-5 mm
Üdv a klubban! 
De legalább a Takt-Tmin 1 °C-kal történő emelése és az északi szél délkeletire fordítása bejött. A 14 °C-ról 11-re csökkentett Tmax és a 0,1-1 mm-ről 1,1-5 mm-re emelt csapadékösszeg dönti majd el végül, hogy megérte-e a módosítás.
De legalább a Takt-Tmin 1 °C-kal történő emelése és az északi szél délkeletire fordítása bejött. A 14 °C-ról 11-re csökkentett Tmax és a 0,1-1 mm-ről 1,1-5 mm-re emelt csapadékösszeg dönti majd el végül, hogy megérte-e a módosítás.
Köszi az adatokat.
"De jó" módositás volt az 1,2-es 7 okta + nincs jelenidőről 1,0-s 8 okta + esőre
"De jó" módositás volt az 1,2-es 7 okta + nincs jelenidőről 1,0-s 8 okta + esőre
Sziasztok!
Amit eddig tudunk:
Összfelhőzet: 7 okta
Jelenidő: Nincs
T min: 8,0 °C
T akt: 8,4 °C
Szélirány: 125° (délkeleti)
Erőssége: 1 m/s (gyenge)
Amit eddig tudunk:
Összfelhőzet: 7 okta
Jelenidő: Nincs
T min: 8,0 °C
T akt: 8,4 °C
Szélirány: 125° (délkeleti)
Erőssége: 1 m/s (gyenge)
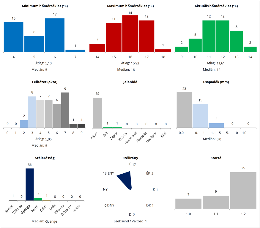
Elkészült az összefoglaló.
Hát, érdekes forduló lesz, az biztos.
Én ritkán szoktam módosítani, de most megtettem, és ahogy elnézem, sokan mások is így tettek, sőt, konkrétan több 1.0-ás tipp van, mint 1.2-es.
A jelenidő mondjuk eléggé lutri, de hát kockázat nélkül nincs nyereség.
A szélirány meg magáért beszél, jól elkülönülnek a korábbi és későbbi tippek. 

Végül módosítottam én is, több szempontból sem tűnt tarthatónak az eredeti tipp, aztán majd meglátjuk.
A "Bazsamentes MetNet"-ért háromszor annyit szedünk majd tőle vissza!
Pécs romokban, de szerencsére az eredményem nem annyira (bár az 5 oktának jobban örültem volna).
17 UTC-s adatok:
Összfelhőzet: 3 okta
Jelenidő: Nincs
T min: 5,5°C
T max: 15,8°C
T akt: 11,1°C
Szélirány: 360° (északi)
Erőssége: 2 m/s (gyenge)
Csapadék: automata alapján 0,2 mm esett.
Összfelhőzet: 3 okta
Jelenidő: Nincs
T min: 5,5°C
T max: 15,8°C
T akt: 11,1°C
Szélirány: 360° (északi)
Erőssége: 2 m/s (gyenge)
Csapadék: automata alapján 0,2 mm esett.
Vajon szétszedi (lecsapolja) azt az észak felől közeledő záporsávot a Mecsek?
Remélem igen!
Remélem igen!

Elkészült az összefoglaló.
Van egy felcserélt Tmin és Tmax érték, ezt a statisztikában megcseréltem.
Főleg a felhőzet, a csapadék és a szélirány, ahol nagyobb eltérések vannak, de a friss futásokat nézve a jelenidő sem zárható ki, amit csak ketten adtak. 

Na hát szépen lemaradtam a szorzókról, de mindjárt rittyentek egy olyan egynullást, hogy toronymagasan nyerem a fordulót
Közeleg az 1,2-es határidő! 18 óráig még leadható a nyerő tippsor ilyen szorzóval! 
Csaxólok'...
Csaxólok'...
Ha lehet, akkor látogassunk el Pécsre. Az időpont pedig legyen 2024. március 5. (kedd) 18:00.
Ha rövid lenne a határidő, akkor szívesen választok egy jövő hétvégi időpontot. Köszönöm!
Ha rövid lenne a határidő, akkor szívesen választok egy jövő hétvégi időpontot. Köszönöm!
Beosztás elkészült, Misimókust szeretnénk megkérni, hogy jelölje ki a következő forduló helyszínét és időpontját.
Választható helyszínek majd ezek lesznek egyébként:
Budapest-Újpest [metnet-es észlelő]
Kékestető [12851]
Pécs-Egyetem [38528]
Siófok [metnet-es észlelő]
Meteorológiai állomások beosztása: Link
Választható helyszínek majd ezek lesznek egyébként:
Budapest-Újpest [metnet-es észlelő]
Kékestető [12851]
Pécs-Egyetem [38528]
Siófok [metnet-es észlelő]
Meteorológiai állomások beosztása: Link
Egy kis közvetítés a Metnet VAR szobájából... 
Örülök, hogy készítitek a játékot. Eddig is és ezután is lesznek kétértelmű eredmények, de ez benne van a játékban.
Szerintem is maradjatok itt következetesen az óra 30-40 közötti érzékelésekkel.
Ha pedig váltotok, akkor ugyanez a következetesség maradjon. Ennyi.
Örülök, hogy készítitek a játékot. Eddig is és ezután is lesznek kétértelmű eredmények, de ez benne van a játékban.
Szerintem is maradjatok itt következetesen az óra 30-40 közötti érzékelésekkel.
Ha pedig váltotok, akkor ugyanez a következetesség maradjon. Ennyi.