Információk az előrejelzési versenyhez
Versenyinformációk
A VERSENYSZABÁLYZATÚj előrejelzés elküldése az előrejelzési versenybe
A legutóbbi forduló eredménye
A verseny összesített állása
A 3 kieső fordulót nem tartalmazó összesített lista
A synop-kódok értelmezéséhez egy kis segítség
Szélirány-meghatározáshoz segítség
Stelvio segítségével megjelenített összesített ranglista
Stelvio segítségével megjelenített örökranglista
Stelvio segítségével megjelenített dicsőséglista
A meteorológiai állomások elhelyezkedése
A meteorológiai állomások beosztása
A szél a parti OMSZ-os állomás, a többi adat Télember állomásáról.
Majd lebegek, mint Mohamed koporsója ég és föld között (bár tudtommal a Korán erről nem tesz említést).
Egy pontos észlelés ennyit mindenképpen megér.
Egy pontos észlelés ennyit mindenképpen megér.
Legközelebbre kicsit magasabbra kell építeni a jakuzzi-tetőt, hogy közelebb legyen Kékestetőhöz, ahol köztudottan 5 okta, akkor ahhoz már közelebb állna a 6, mint a 7.
Itt a helyszínen pedig még a 8 oktán is elgondolkodtam.
Aztán jött a jakuzzi-tető (emlékszek satya?
) és lett belőle 7.
Aztán jött a jakuzzi-tető (emlékszek satya?
A műholdkép alapján elment volna az még 6 októnak is, K-ÉK felé még inkább csak homok volt akkor. 

Csúnya Takt alábecslés, de legalább a felhőzet mennyiség bejött 
Szerk: most nézem, a parti 10:40-es Takt épp jó lett volna (19.2 °C)
Szerk2
: De 10:50-kor már 21.5 °C volt ott is déli széllel, szép.
Szerk: most nézem, a parti 10:40-es Takt épp jó lett volna (19.2 °C)
Szerk2
Én úgy, hogy 8 oktát adtam
.
Na persze….
Maradjunk annyiban, hogy kockáztattam inkább, mert csak eszement tippel ugorhatok be a 20-ba…
Mondjuk tó felöli széllel is számolhattam volna, ha kemény csávó lettem volna igazából…
Na persze….
Maradjunk annyiban, hogy kockáztattam inkább, mert csak eszement tippel ugorhatok be a 20-ba…
Mondjuk tó felöli széllel is számolhattam volna, ha kemény csávó lettem volna igazából…
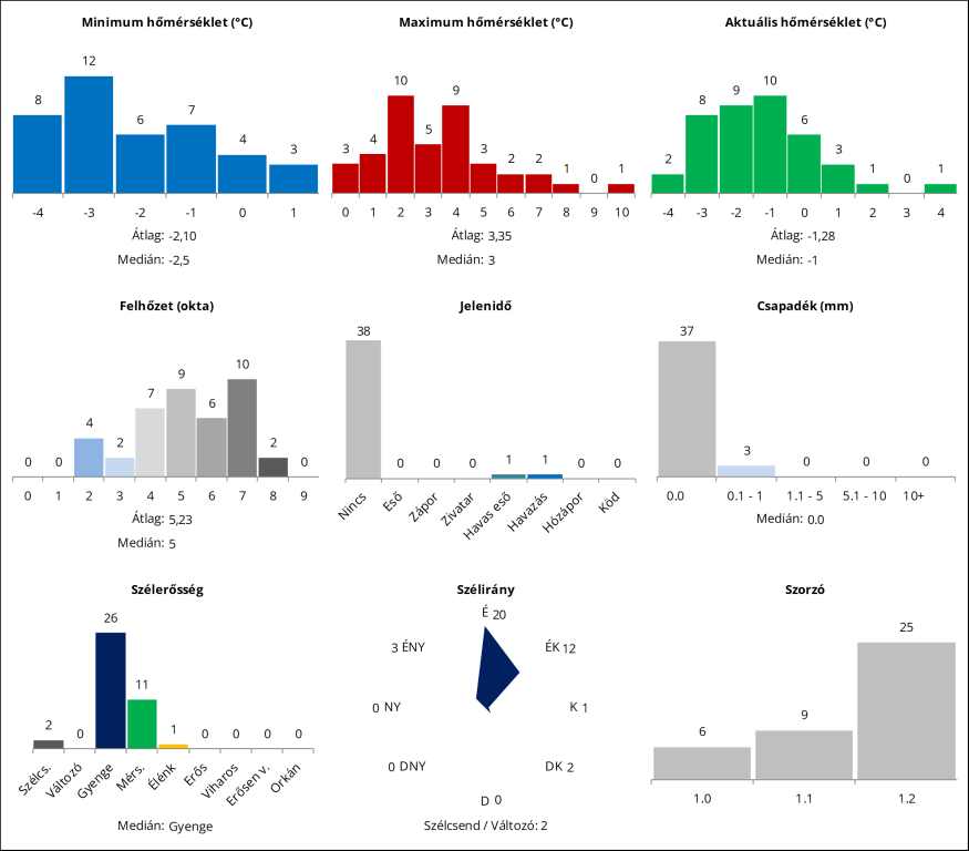
El is készült az utolsó forduló összefoglalója.
Van egy "körbecserélt" hőmérsékletes tipp, ezt a diagramban úgy jelenítettem meg, ahogyan logikailag adja magát. Emellett látom, hogy az óraátállítás miatti szorzók még nem lettek átírva azoknál az eseteknél, amelyek érintettek, így az nem helyesen szerepel, hanem aszerint, ahogyan jelenleg látszódik. 

Köszönöm!
Két nyári körös győzelmem volt eddig (2021 és 2023), a téliek közül ez lesz az első. Azért nagy megkönnyebbülés volt, amikor délelőtt láttam, hogy Pestimet egy oktányi felhőzet különbséggel ugyanazt a tippet adta le.
Bár 4,8 pont különbség van a kiesős lista szerint, de simán el tudtam volna képzelni, hogy Pestimet lead egy tippsort több kisebb eltéréssel, ami aztán ha bejön, akkor egy nagy hajrával a végére leelőz.
Főleg, hogy a frissebb futások pont apróságokon változtattak összevissza (sőt, kis eséllyel még a Zivi féle szupercellás verzió is összejöhet, bár azzal úgy vagyok, hogyha lesz is, az tuti nem Siófokon, hanem Rádócon fog realizálódni
). A legutóbbi nyári körben amúgy nem sokon múlt, hogy a hajrázás megvalósuljon, emlékszem, akkor napközben kb. tíz percenként néztem izgalmamban, hogyan alakul a hőmérséklet, mert ha feljebb ment volna, akkor megszívtam volna.
Még bejöhet, csak lehetőleg ne 11-kor és a szupercella csapadéka ne érintse a mérő környékét
Köszi! Épp kérdezni akartam 
Holnapra Satya 25 fokos Tmax-a a legmagasabb.
Holnapra Satya 25 fokos Tmax-a a legmagasabb.
Érdekesség: az összetettben első 4 helyen állók egymás után adtuk le a tippeket. Hidegcsepp95 és Pestimet tippje között csak egyetlen okta különbség van, így az ebből adódó, a szorzóval 1,2 pont már nem elég az előny behozására. Így prekoronázási gratulációm Hidegcseppnek, hanyadik összetett győzelem is lesz?
Gondolom bekevert az óraállítás, mivel a vasárnapi 11 óra most még csak 10 (és úgy jön ki a 24-48-72 órás időelőny).
Nekem mondjuk mindegy, mert elfelejtettem az 1,2-es szorzót.
Nekem mondjuk mindegy, mert elfelejtettem az 1,2-es szorzót.
A fejlesztők felé jelezve a probléma, a ma 10 és 11 óra között leadott tippek szorzója át lesz írva 1.2-re, holnap ugyanígy 1.1-re, viszont! Előfordulhat, hogy a leadási határidő így szombat 11 óráról 10 órára módosul, erre tekintettel ne az utolsó órában adjátok le a tippeket, kérlek mert lehet, hogy nem fogjátok tudni akkor már leadni!
További infókkal jövünk, amint tudunk.
További infókkal jövünk, amint tudunk.
Nekem fél kilenckor még egykettest igazolt vissza, ezek szerint akkor a hiba ezután keletkezett.
Bár még nincs 11 óra, már csak 1.1es szorzót mutat a rendszer
A javaslatom az, hogy aki akarja, 10:59:59-ig adja le a tippjét, megpróbáljuk utólag felülírni a 10 és 11 óra között leadott tippek szorzóját. Aki viszont nem akar minden áron változtatni, lehet, hogy nem érdemes most...
Elnézést mindenkitől a kellemetlenségért.
szerk: honza, megelőztél. Valószínűleg az óraátállítás zavarja meg...
Elnézést mindenkitől a kellemetlenségért.
szerk: honza, megelőztél. Valószínűleg az óraátállítás zavarja meg...
Én meg elvagyok a 25. hely környékén. De reális, mert ugye Tamás is mondja; az előrejelzések csak kb. 7 napig biztosak, utána sok az eltérés.
Hajrá nyári kör! Tán meglesz a 42 fok is.
Hajrá nyári kör! Tán meglesz a 42 fok is.
Na, akkor az egy szép szülinapi ajándék lenne, ha bekerülnék a 20-ba
Hát én is reménykedtem az 5-ben, azt is adtam, de hát nem a Lajosunk volt a fő megfigyelő ma.
Összfelhőzet: 7 okta
Jelenidő: Nincs
T akt: -3,8°C
T min: -4,1°C
Szélirány: 9° (északi)
Erőssége: 4 m/s (mérsékelt)
Jelenidő: Nincs
T akt: -3,8°C
T min: -4,1°C
Szélirány: 9° (északi)
Erőssége: 4 m/s (mérsékelt)
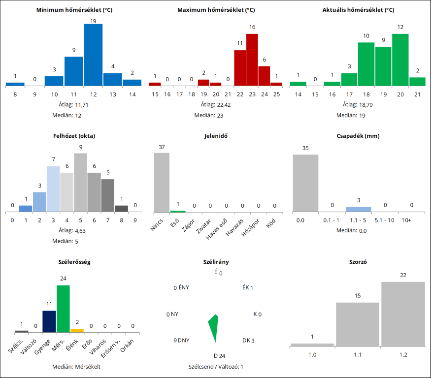
Elkészült az összefoglaló.
Ahogy nézem, főként a hőmérsékletekkel és a felhőzettel lehet pluszban pontokat szerezni azoknak, akik jól tippeltek. 

