Információk az előrejelzési versenyhez
Versenyinformációk
A VERSENYSZABÁLYZATÚj előrejelzés elküldése az előrejelzési versenybe
A legutóbbi forduló eredménye
A verseny összesített állása
A 3 kieső fordulót nem tartalmazó összesített lista
A synop-kódok értelmezéséhez egy kis segítség
Szélirány-meghatározáshoz segítség
Stelvio segítségével megjelenített összesített ranglista
Stelvio segítségével megjelenített örökranglista
Stelvio segítségével megjelenített dicsőséglista
A meteorológiai állomások elhelyezkedése
A meteorológiai állomások beosztása
Én végül még az 1.0-ról is lemaradtam. Nem lehetne még gyorsan egy 0.8-ast legalább?
Az OMSZ-os újpesti állomáson 11,6°C a legalacsonyabb a 10 perces értékek között. (Ezek között mehetett ez alá is)
Jimr állomásán vajh...?
Jimr állomásán vajh...?
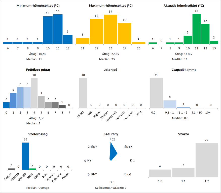
Elkészült az összefoglaló.
A tippek között olyan nagy eltérések nincsenek, talán a csapadék lehet a vízválasztó, illetve a pontos T értékek és a felhőzet hozhat még pluszpontokat. Na meg persze ott van az a pár jelenidős tipp is, ami akár be is jöhet. 

Jajjjj, elfelejtettem, hogy meg akartam fontolni a módosítást. Na, akkor ez megoldódott
Ma 20 óráig egynullás, annak aki esetleg lemaradt az egyegyesről, nekem arról is sikerült
Jobb ma egy tuti 1,1-es, mint tegnap egy bukó 1,2-es, én is ezt az elvet követem.
Ma 20 óráig meg egyegyes, de csak annak, aki nem adott egykettest, mint például én
Nem bántódtunk meg, nem olyan családból származunk 

Hajrá mindenkinek!
Hajrá mindenkinek!
Azért tisztázzunk valamit!
Én véletlen sem akartam megbántani Téged, vagy Imrét!
Lehet türelmetlen voltam ennyi kihagyás után.
Elnézést!
Én véletlen sem akartam megbántani Téged, vagy Imrét!
Lehet türelmetlen voltam ennyi kihagyás után.
Elnézést!
A 2. forduló helyszínéül Budapest-Újpestet választottam, 2024. május 19. (vasárnap) 20 órai (18 UTC) időponttal.
Sok szerencsét mindenkinek!
Sok szerencsét mindenkinek!
Krisztián!
A csapadékmérés egyébként is 06:45-kor történt mert kétes volt, hogy lesz-e mérhető mennyiség vagy sem. A másik dolog meg az, hogy Kornél 15 órája nem volt az oldalon, én pedig most tartok haza Horvátországból és nem az internet világa volt a legfontosabb elnézést...
A csapadékmérés egyébként is 06:45-kor történt mert kétes volt, hogy lesz-e mérhető mennyiség vagy sem. A másik dolog meg az, hogy Kornél 15 órája nem volt az oldalon, én pedig most tartok haza Horvátországból és nem az internet világa volt a legfontosabb elnézést...
Télember és Hidegcsepp nyerte az első fordulót. Gratulálok nekik!
Forduló: Link
Összetett: Link
Pestimet lesz a következő kiíró, szeretnénk kérni egy helyszínt és egy időpontot.
Választható helyszínek:
Bécs (Wien-Hohe Warte) [11035]
Békéscsaba [12992]
Budapest-Pestszentlőrinc [12843]
Budapest-Újpest [metnet-es észlelő]
Csíkszereda (Miercurea Ciuc) [15170]
Eger [12870]
Felcsút [metnet-es észlelő]
Kékestető [12851]
Lomnici-csúcs (Lomnicky Stít) [11930]
Miskolc-Diósgyőr [12772]
Mosonmagyaróvár [12815]
Nagykanizsa [12925]
Paks [12950]
Pécs-Egyetem [38528]
Siófok [metnet-es észlelő]
Sopron-Kurucdomb [13704]
Szeged [12982]
Szombathely [12812]
Zágráb-Maksimir [14240]
Meteorológiai állomások beosztása: Link
Forduló: Link
Összetett: Link
Pestimet lesz a következő kiíró, szeretnénk kérni egy helyszínt és egy időpontot.
Választható helyszínek:
Bécs (Wien-Hohe Warte) [11035]
Békéscsaba [12992]
Budapest-Pestszentlőrinc [12843]
Budapest-Újpest [metnet-es észlelő]
Csíkszereda (Miercurea Ciuc) [15170]
Eger [12870]
Felcsút [metnet-es észlelő]
Kékestető [12851]
Lomnici-csúcs (Lomnicky Stít) [11930]
Miskolc-Diósgyőr [12772]
Mosonmagyaróvár [12815]
Nagykanizsa [12925]
Paks [12950]
Pécs-Egyetem [38528]
Siófok [metnet-es észlelő]
Sopron-Kurucdomb [13704]
Szeged [12982]
Szombathely [12812]
Zágráb-Maksimir [14240]
Meteorológiai állomások beosztása: Link
Épp most akartam én is írni. Novemberben is a Lukács Dániel csapadékmérése volt a mérvadó. (...sajnos) Amúgy Krisz-nek ez nem ünneprontás, hisz ő velünk ellentétben nem várt mérhető csapadékot! 

Nem akarok ünneprontó lenni, de szerintem most sem az fog számítani, hanem a másik mérés, ahol nyom volt...
Tmin: 9
Tmax: 23 (99%)
Felhőzet: 2 okta
Jelenidő: nincs szignifikáns jelenség
Takt: 11
Szél: szélcsend
Csapadék: (eddig) nem volt (de van rá esély reggelig)
Úgy tudom, így állunk jelenleg, Bubu bá'!
Tmax: 23 (99%)
Felhőzet: 2 okta
Jelenidő: nincs szignifikáns jelenség
Takt: 11
Szél: szélcsend
Csapadék: (eddig) nem volt (de van rá esély reggelig)
Úgy tudom, így állunk jelenleg, Bubu bá'!
Köszi az összesítést, reméltem, hogy megint lesznek 
Rögtön sikerült lekésnem az 1,2-est, majdnem az 1,1-est is. De legalább leadtam valamit Madridból
Rögtön sikerült lekésnem az 1,2-est, majdnem az 1,1-est is. De legalább leadtam valamit Madridból
Üdv mindenkinek újra itt a nyári körben!
Elkészült az első forduló összefoglalója. 40 tipp érkezett be, ami az első fordulóhoz képest nem túl sok (korábban 50 körüli létszámmal rajtolt a mezőny), de remélem, minél többen kitartunk a végéig, és aki most belevágott, nem fogja feladni.
Ne felejtsétek, a gyenge vagy esetlegesen kimaradó fordulókra ott a 3 kieső is. 
A fordulót tekintve nagyjából egységesek a tippek, több izgalmat a felhőzet tartogathat, illetve hogy vasárnap éjjel betalál-e egy zápor vagy sem.
A fordulót tekintve nagyjából egységesek a tippek, több izgalmat a felhőzet tartogathat, illetve hogy vasárnap éjjel betalál-e egy zápor vagy sem.

Aztán hogy nem lesz ebből még módosítás, arra azért nem vennék mérget.
Üdv Mindenkinek az új versenykörben! Remélem a most nyári verseny is sok izgalmat és persze jó eredményeket hoz majd. Célom most is a TOP 20, remélem eredményesebb szezonom lesz, mint a télen (21. hely), és persze nem felejtem el a szorzó határidőket, meg úgy általában magukat a fordulókat...!
Hajrá Mindenkinek!
Gyertek, versenyezzünk minél többen! 
/u.i.: Ugye, jól emlékszem, Debrecen volt az egyik olyan helyszín, ahol a csapadékot más helyszínen mérik, mint a többi paramétert?)
Hajrá Mindenkinek!
/u.i.: Ugye, jól emlékszem, Debrecen volt az egyik olyan helyszín, ahol a csapadékot más helyszínen mérik, mint a többi paramétert?)
Végre egyszer lesz értelme az éjszakás szoliban a hajnali 4 órai felkelésnek.
Jó választás, ezt megúsztam.
Azóta már válaszoltam, de ha tudom, akkor vártam volna a válasszal az utolsó fordulóig.
Azóta már válaszoltam, de ha tudom, akkor vártam volna a válasszal az utolsó fordulóig.
Pedig de jó lett volna egy siófoki első forduló.

Legyen Debrecen, május 11., szombat, 5 óra (3 UTC).
Legyen Debrecen, május 11., szombat, 5 óra (3 UTC).
Na, hát akkor, ha ennyire játszhatnék a nép, akkor ugorjunk is neki a nyári versenykörnek.
Télember még nem válaszolt nekem az üzenetemre, de gondolom segít minket az észleléssel, illetve csaknem az első fordulót Siófokon akarjuk kezdeni.
Még a Jákli Imire is várok, de szerintem ott sem lesz akadálya a dolgoknak.
Szóval akkor szeretnénk megkérni Hidegcsepp95 versenytársunkat a téli versenykör dobogósát, hogy jövő hét végére, de az is jó lenne (felkészülés miatt akik mondjuk nem nagyon lépnek be), ha a 13-ai hét elejére legyen kedves kiírni az első forduló helyszínét és időpontját.
Választható helyszínek:
Bécs (Wien-Hohe Warte) [11035]
Békéscsaba [12992]
Budapest-Pestszentlőrinc [12843]
Budapest-Újpest [metnet-es észlelő]
Csíkszereda (Miercurea Ciuc) [15170]
Debrecen [12882]
Eger [12870]
Felcsút [metnet-es észlelő]
Kékestető [12851]
Lomnici-csúcs (Lomnicky Stít) [11930]
Miskolc-Diósgyőr [12772]
Mosonmagyaróvár [12815]
Nagykanizsa [12925]
Paks [12950]
Pécs-Egyetem [38528]
Siófok [metnet-es észlelő]
Sopron-Kurucdomb [13704]
Szeged [12982]
Szombathely [12812]
Zágráb-Maksimir [14240]
Meteorológiai állomások beosztása: Link
Szóval akkor szeretnénk megkérni Hidegcsepp95 versenytársunkat a téli versenykör dobogósát, hogy jövő hét végére, de az is jó lenne (felkészülés miatt akik mondjuk nem nagyon lépnek be), ha a 13-ai hét elejére legyen kedves kiírni az első forduló helyszínét és időpontját.
Választható helyszínek:
Bécs (Wien-Hohe Warte) [11035]
Békéscsaba [12992]
Budapest-Pestszentlőrinc [12843]
Budapest-Újpest [metnet-es észlelő]
Csíkszereda (Miercurea Ciuc) [15170]
Debrecen [12882]
Eger [12870]
Felcsút [metnet-es észlelő]
Kékestető [12851]
Lomnici-csúcs (Lomnicky Stít) [11930]
Miskolc-Diósgyőr [12772]
Mosonmagyaróvár [12815]
Nagykanizsa [12925]
Paks [12950]
Pécs-Egyetem [38528]
Siófok [metnet-es észlelő]
Sopron-Kurucdomb [13704]
Szeged [12982]
Szombathely [12812]
Zágráb-Maksimir [14240]
Meteorológiai állomások beosztása: Link
Május első hete szokott startolni.
Átalakitások, új helyszinek? ( Cégérdányád, vagy a föld másik fele.. Óceánia, Ausztráliától é.ny. és az Antarktisztól is több ezer 2800 mérföldre északra. A semmi ( föld) helyén.
Na ez vicc volt, semmi térerő, nemhogy met. állomás.
Átalakitások, új helyszinek? ( Cégérdányád, vagy a föld másik fele.. Óceánia, Ausztráliától é.ny. és az Antarktisztól is több ezer 2800 mérföldre északra. A semmi ( föld) helyén.
Na ez vicc volt, semmi térerő, nemhogy met. állomás.
Elismerésem a dobogósoknak és persze Hidegcseppnek! Meg aki elégedett a saját eredményével, nekik is. Én végül nem kerültem be a 20-ba, de sok év kihagyás után én is elégedett vagyok eme helyezéssel.
Köszönjük a Szervezőknek, csodadiagramm Szerkesztőknek a fáradtságot!!
Köszönjük a Szervezőknek, csodadiagramm Szerkesztőknek a fáradtságot!!
Csatlakozom a gratulálók népes táborához, Hidegcseppnek, a dobogósoknak és az első 20-ban végzetteknek is gratulálok! 
Hosszú idő után végre én is végigjátszottam egy teljes szezont (egy kihagyással), és nagyjából elégedett is vagyok a helyezésemmel, bár az utolsó pár forduló sikerülhetett volna kicsit jobban.
Hosszú idő után végre én is végigjátszottam egy teljes szezont (egy kihagyással), és nagyjából elégedett is vagyok a helyezésemmel, bár az utolsó pár forduló sikerülhetett volna kicsit jobban.
Én is gratulálok Hidegcseppnek a fantasztikus teljesítményéhez és az újabb bajnoki győzelméhez! Az pedig megtisztelő számomra, hogy a leendő bajnokot fuvarozhattam a februári MetNet találkozóra.
És minden dobogósnak és TOP játékosnak gratulálok! 
Ami a saját teljesítményemet illeti, arra már nem vagyok ilyen büszke, elég hullámzó volt és sajnos a völgyek gyakrabban jöttek, mint a hegyek. Egy fordulógyőzelem azért becsúszott Békéscsabán, aminek a sztorijához hozzátartozik, hogy az 1,2-es szorzó leadásának határideje előtt nem tudtam telefonról tippelni, így rohantam haza (szó szerint futottam), hogy még határidő előtt asztali gépről leadhassam az 1,2-es szorzós nyerő tippemet.
A elért 21. helyem miatt picit bosszús vagyok, most is a TOP 20 lett volna az alapelvárásom, de hát például nem kellett volna ugye Szombathelyről teljesen lemaradnom, ami alapvetően egy átlagjavító forduló volt a mezőnynek... Na, mindegy, valakinek 21.-nek is kell lennie, most bevállaltam e hálátlan szerepet!
Ami a saját teljesítményemet illeti, arra már nem vagyok ilyen büszke, elég hullámzó volt és sajnos a völgyek gyakrabban jöttek, mint a hegyek. Egy fordulógyőzelem azért becsúszott Békéscsabán, aminek a sztorijához hozzátartozik, hogy az 1,2-es szorzó leadásának határideje előtt nem tudtam telefonról tippelni, így rohantam haza (szó szerint futottam), hogy még határidő előtt asztali gépről leadhassam az 1,2-es szorzós nyerő tippemet.
A elért 21. helyem miatt picit bosszús vagyok, most is a TOP 20 lett volna az alapelvárásom, de hát például nem kellett volna ugye Szombathelyről teljesen lemaradnom, ami alapvetően egy átlagjavító forduló volt a mezőnynek... Na, mindegy, valakinek 21.-nek is kell lennie, most bevállaltam e hálátlan szerepet!
Gratulálok én is, kolléga, elég komolyat mész
Na de nem bánom, remélem nemcsak nekem, de a többieknek is motiváló ez a teljesítmény, legalább van kit legyűrni 
A saját teljesítményemmel amúgy több mint elégedett vagyok, jó rég voltam top10-ben szerintem
A saját teljesítményemmel amúgy több mint elégedett vagyok, jó rég voltam top10-ben szerintem
Köszönöm a gratulációkat, én is szeretnék mindenkinek gratulálni, aki elégedett a teljesítményével.
Hátradőlni azért ebben a körben sem lehetett, szoros volt a mezőny, minden egyes tippsort alaposan végig kellett gondolnom.
Pestimetet külön kiemelném, aki a tavaly nyári körhöz hasonlóan végig a nyomomban volt, sőt, holtverseny is adódott, amikor azt hittem, hogy a jobb kiesős pontszám miatt le is fog előzni a végére.
Emellett még met4evert emelném ki, aki szintén majdnem végig ott volt a dobogón, és bár volt, amikor visszaesett pár pozíciót, de a végére ismét megszerezte a dobogós helyezést.
Köszönöm a szervezőknek a szervezést, az észlelőknek az észlelést, Télembernek a koronázást, hófúvásnak pedig a kiesős listát.
Remélem, minél többen találkozunk ugyanitt a nyári körben!
Akkor hivatalosan is gratulálok Hidegcseppnek az immáron 3. összetett győzelméhez, megfejelve egy utolsó fordulóbeli győzelemmel. 3 felett ha jól sejtem, csak Szabóka áll 5 összetett első hellyel, ami már a leglegleg kategória.
Örülők, hogy a keménymag most is végigjátszotta a versenyt, s remélem egy izgalmas nyári körnek nézünk elébe.
Örülők, hogy a keménymag most is végigjátszotta a versenyt, s remélem egy izgalmas nyári körnek nézünk elébe.
No hát akkor a 2023/2024 évi téli szezon utolsó fordulóját lezártam. a fordulót Hidegcsepp nyerte, gratulálok neki! 
Forduló: Link
Összetett: Link
És akkor így áll fel az első húsz helyezett:
1. Hidegcsepp95
2. Pestimet
3. met4ever
4. szabóka
5. Imi1995
6. MacBook
7. hófúvás
8. Zivipötty
9. coontac
10. honza
11. jocika8627
12. BKrisz
13. scs_95
14. Misimókus
15. herbary
16. stelvio
17. Blizzard
18. zseegee
19. Fecc
20. Tullner_Job
Gratulálok mindenkinek, aki elégedett a szezonbelii teljesítményével és végig kitartott a "csatában"
A nyári kört egy hónap múlva kezdjük, addig jó pihenést mindenkinek!
Köszönjük hófúvásnak a naprakész kiesős listát, Hidegcseppnek pedig az összefoglalókat a fordulókról.
Hagyományoknak megfelelően a nyári körben is az első húsz helyezett fog választani helyszínt és időpontot. Valószínűleg sajnos Kecskemétet, Szolnokot kukáznunk kell, mert nyilvánosan a megfigyelési adatokat nem lehet sehol sem elérni. Kornéllal megbeszéljük mit teszünk be helyettük, aztán majd érkezünk az infókkal.
Forduló: Link
Összetett: Link
És akkor így áll fel az első húsz helyezett:
1. Hidegcsepp95
2. Pestimet
3. met4ever
4. szabóka
5. Imi1995
6. MacBook
7. hófúvás
8. Zivipötty
9. coontac
10. honza
11. jocika8627
12. BKrisz
13. scs_95
14. Misimókus
15. herbary
16. stelvio
17. Blizzard
18. zseegee
19. Fecc
20. Tullner_Job
Gratulálok mindenkinek, aki elégedett a szezonbelii teljesítményével és végig kitartott a "csatában"
Köszönjük hófúvásnak a naprakész kiesős listát, Hidegcseppnek pedig az összefoglalókat a fordulókról.
Hagyományoknak megfelelően a nyári körben is az első húsz helyezett fog választani helyszínt és időpontot. Valószínűleg sajnos Kecskemétet, Szolnokot kukáznunk kell, mert nyilvánosan a megfigyelési adatokat nem lehet sehol sem elérni. Kornéllal megbeszéljük mit teszünk be helyettük, aztán majd érkezünk az infókkal.
Köszönjük az adatokat, amint a szorzós problémákat sikerül eszközölni, pontozni fogunk, kis türelmet kérünk mindenkitől.