Információk az előrejelzési versenyhez
Versenyinformációk
A VERSENYSZABÁLYZATÚj előrejelzés elküldése az előrejelzési versenybe
A legutóbbi forduló eredménye
A verseny összesített állása
A 3 kieső fordulót nem tartalmazó összesített lista
A synop-kódok értelmezéséhez egy kis segítség
Szélirány-meghatározáshoz segítség
Stelvio segítségével megjelenített összesített ranglista
Stelvio segítségével megjelenített örökranglista
Stelvio segítségével megjelenített dicsőséglista
A meteorológiai állomások elhelyezkedése
A meteorológiai állomások beosztása
18:00-ról 19:00-re: 33,8°C => 29,8°C
A korábbi naplementét és a száraz levegőt jobban bele kellett volna kalkuiálni...
A korábbi naplementét és a száraz levegőt jobban bele kellett volna kalkuiálni...
Nagyon úgy tűnik, 36 fok is lesz a Tmax.
A 10 percesek közt 35,8 volt a teteje, 17:20-kor pedig már csak 34,7 volt.
Ami jobban aggaszt, az a sok fátyolfelhő, ami szinte egész nap 7 okta volt. Bár még este 8-ig ez is csökkenhet.
Ami jobban aggaszt, az a sok fátyolfelhő, ami szinte egész nap 7 okta volt. Bár még este 8-ig ez is csökkenhet.
Elkészült az összefoglaló.
Elég laza fordulónak tűnik, lehet megint átlagot javítani. 

Szervusztok!
Arra gondoltam, hogy a következő forduló lehetne augusztus 25-én vasárnap 18 UTC-kor, Békéscsabán.
Mindenkinek sok sikert kívánok!
Arra gondoltam, hogy a következő forduló lehetne augusztus 25-én vasárnap 18 UTC-kor, Békéscsabán.
Mindenkinek sok sikert kívánok!
Na, megnyertem az 5 forint, 50 filléres nyalókát a sarki árústól! Nagyon szép kakasosnyalóka, és édes..
Ennyi.
Ennyi.
A fordulót lepontoztam, amit Pestimet nyert, gratulálok!
Forduló: Link
Összetett: Link
Herbary lesz a következő kiíró, így szeretnénk kérni egy helyszínt és egy időpontot.
Választható helyszínek:
Békéscsaba [12992]
Budapest-Pestszentlőrinc [12843]
Felcsút [metnet-es észlelő]
Miskolc-Diósgyőr [12772]
Paks [12950]
Siófok [metnet-es észlelő]
Meteorológiai állomások beosztása: Link
Forduló: Link
Összetett: Link
Herbary lesz a következő kiíró, így szeretnénk kérni egy helyszínt és egy időpontot.
Választható helyszínek:
Békéscsaba [12992]
Budapest-Pestszentlőrinc [12843]
Felcsút [metnet-es észlelő]
Miskolc-Diósgyőr [12772]
Paks [12950]
Siófok [metnet-es észlelő]
Meteorológiai állomások beosztása: Link
Jónak latszik. Ha delelott lenne pontozás, tudnék kiesőst számolni. Később bizonytalan.
Ejj, az az 1 tized a maximumnál...
Amúgy megint magam ellen beszélek, de a szél nem déli? A 15:40-es adat 170°, a 15:50-es 190° volt, csak 16:00-kor lett 240°.
Szerk: Ja látom nem, Imi úgy írta múltkor, hogy a szélnél egyelőre az egészes érték számít.
Amúgy megint magam ellen beszélek, de a szél nem déli? A 15:40-es adat 170°, a 15:50-es 190° volt, csak 16:00-kor lett 240°.
Szerk: Ja látom nem, Imi úgy írta múltkor, hogy a szélnél egyelőre az egészes érték számít.
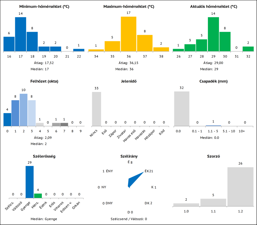
Ha minden igaz:
Tmin: 17,2
Tmax: 35,4
Takt: 34,7
Felhőzet: 2 okta
Szél: gyenge DNy
Csapadék: várhatóan zéró
Tmin: 17,2
Tmax: 35,4
Takt: 34,7
Felhőzet: 2 okta
Szél: gyenge DNy
Csapadék: várhatóan zéró
Hát ezt tudni kellett volna nekem. Kanizsa valamiért olyan bükki töbörben van domborzatilag de hogy most is a békák tanyája.?
Úgy látom, sikerült éppen "mezőnyátlag-tippsort" leadnom.
Mondjuk ez kb. azt jelenti, hogy jelentős előre-, vagy visszalépésem nem lesz az összetettben, mert sok, az enyémhez hasonló pontszám várható a fordulóban.
Elkészült az összefoglaló.
Ahogyan met4ever is már említette, a felhőzet és a szélirány eltalálása hozhat plusz pontokat, minden másnál nagyjából egységesek a tippek. 

Tényleg jól belecsaptál a lecsóba az 1,1 mm felett teljesítö 36 fokos záporral 
A felhözet és a szélirány eltalálása sokat hozhat a fordulóban. A mai szélirány teljesen határozatlan, kb mint egy megforgatott szerencsekerék
A felhözet és a szélirány eltalálása sokat hozhat a fordulóban. A mai szélirány teljesen határozatlan, kb mint egy megforgatott szerencsekerék
Biztos voltam benne, hogy ezt játszom el én is, mert mindig mást kellett csinálnom leadás helyett, de aztán megkönyörült rajtam a tiktakkos óra
Ja 14 UTC és nem 14 óra a határidö, akkor még sincs veszve minden
Ugy felejtettem el, hogy ezt olvastam. Korábban nem felejtettem el, de akkor még nem adtam le semmit
Az igazán bátrak/bevállalósak pedig kivárnak az 1,2 végéig....és elfelejtik.
A bátrak/elövigyázatosak már dobhatnak is egy 1,2-esnek számitó 1,6-ost
Köszi, lehet is tippelni: Link
A kiesős listát köszönjük hófúvásnak!
(Agyhalál az egész meteorológiai adatszolgáltatás, adatközlés, HVBAF!)
A kiesős listát köszönjük hófúvásnak!
(Agyhalál az egész meteorológiai adatszolgáltatás, adatközlés, HVBAF!)
Kérek jelzést, hogy akkor a most 13 fokkal számolt alapján már számolhatok?
Végre valaki rálát a tényleges szinop. minimumra 
Persze én is magam ellen kutattam, de fontosabb, hogy a valós adatokat használjuk, még ha megint egyetlen tizeden is múlt.
Persze én is magam ellen kutattam, de fontosabb, hogy a valós adatokat használjuk, még ha megint egyetlen tizeden is múlt.
Megkérdeztem a szolgálatban lévő kollégát, hogy nézzen rá, ő is 13,4 °C-os minimumot látott, szóval akkor szerintem mehet a 13 (még ha ezzel magam ellen is beszélek).
Menjen a gőzös Kanizsára. 
A következő forduló legyen Nagykanizsán, 2024.08.16-án (péntek) 16:00-kor.
A következő forduló legyen Nagykanizsán, 2024.08.16-án (péntek) 16:00-kor.
A tízpercesek között 1,5 fokot találok, de lehet tíz percen belül, amire nem látunk rá lement 13,4 fokig.