Információk az előrejelzési versenyhez
Versenyinformációk
A VERSENYSZABÁLYZATÚj előrejelzés elküldése az előrejelzési versenybe
A legutóbbi forduló eredménye
A verseny összesített állása
A 3 kieső fordulót nem tartalmazó összesített lista
A synop-kódok értelmezéséhez egy kis segítség
Szélirány-meghatározáshoz segítség
Stelvio segítségével megjelenített összesített ranglista
Stelvio segítségével megjelenített örökranglista
Stelvio segítségével megjelenített dicsőséglista
A meteorológiai állomások elhelyezkedése
A meteorológiai állomások beosztása
14 órás szél: gyenge keleti (1 m/s, 110°)
A hőmérséklet nem nyugszik, 15:50-kor 25,4°C volt.
A hőmérséklet nem nyugszik, 15:50-kor 25,4°C volt.
Takt: 24,2 fok
Felhőzet: 1 okta
Egész nap 0 okta volt idáig, de csak összejött az a "légypiszok" felhő a versenyidőpontra.
(amúgy cirrus)
Felhőzet: 1 okta
Egész nap 0 okta volt idáig, de csak összejött az a "légypiszok" felhő a versenyidőpontra.
Majd pedig 24,9-ról 4.4 azaz negatív oldalon 20,5es lett. Én is a 24-es Tmax-ot várom, de szerintem csak leányálom.
A biztonság kedvéért azért 4.4°C lett a minimum.
A fikarcnyi felhő/kondenzcsík/madárraj ötletét támogatom, de szerintem a 20 fokos hőingás is elegendő, esetleg 20,1 fokos még lehet
Tegnap a 19 fokot sem érte el a hőingás:
6.2 + 18.7 = 24.9
A fikarcnyi felhő/kondenzcsík/madárraj ötletét támogatom, de szerintem a 20 fokos hőingás is elegendő, esetleg 20,1 fokos még lehet
Tegnap a 19 fokot sem érte el a hőingás:
6.2 + 18.7 = 24.9
4-5, vagy 4,5?
Mindenesetre mindkettő (svájci) óramű pontossággal bejött nekik. 
Remélem a 25 fok elérése ma sem lesz probléma Pakson (tegnap összejött), pláne ebben a száraz levegőben. Ha már ilyen nüanszok döntenek ebben a fordulóban, ennek azért örülnék. Meg persze, ha csak egy légypiszoknyi felhő is megjelenne az észlelés idejére. (túl sok a 0 oktás tipp)
Remélem a 25 fok elérése ma sem lesz probléma Pakson (tegnap összejött), pláne ebben a száraz levegőben. Ha már ilyen nüanszok döntenek ebben a fordulóban, ennek azért örülnék. Meg persze, ha csak egy légypiszoknyi felhő is megjelenne az észlelés idejére. (túl sok a 0 oktás tipp)
A svájci modellek vártak 4-5 °C-os minimumokat, de nem hittem nekik.
6:50 4,5°C
És a 4 fokos Tmin is megvan. A Tmin bizonytalansága miatt nem változtattam meg a nyílvánvalóan túl magas, 1,2-sel leadott Tmin-emet. Nem hiszem, hogy 6 foknál kevesebbet adtam volna.
És a 4 fokos Tmin is megvan. A Tmin bizonytalansága miatt nem változtattam meg a nyílvánvalóan túl magas, 1,2-sel leadott Tmin-emet. Nem hiszem, hogy 6 foknál kevesebbet adtam volna.
Elkészült az összefoglaló.
Ritka az ilyen, hogy ennyire egységesek legyenek a tippek, főleg ha a Tmax és Takt-ot nézzük.
Persze meglepetések azért itt is lehetnek, pl. meddig csökken a hőmérséklet (1 órakor a metész szerint 8,9 fok volt), na meg akár a szélcsend is összejöhet, amit csak egyvalaki vállalt be. 

Ha már 67,akkor kicsivel több lehetett, mert a 3%-os hibahatárt is levonják, hogy ne lehessen semmiben hibát találni. Én a Stop táblákat nem ismerem fel. 4-5 személyesen átadott stop táblás dicséretem van. Volt, amit a Mikulás hozott, volt, de amikor a gyereket vittem felvételire.
A gyorshajtást az embereim nem szokták ennyire centizni. Sorolhatnám a 76km/h-s és sok 70-es felelőtlenkedést. Nemrég egy 117eFt-os értesítőt kaptam email oldalamon, azt hittem kiugrik a szívem. Dupla vagy semmi: 100 az 50 helyett... Az olaszoknál 70-es táblánál 77-re küldték a büntetést.
Ha már előrejelzés: ma 14 óráig még büntetlenül - némi felárral - feladhatók a paksi csekkek.
A gyorshajtást az embereim nem szokták ennyire centizni. Sorolhatnám a 76km/h-s és sok 70-es felelőtlenkedést. Nemrég egy 117eFt-os értesítőt kaptam email oldalamon, azt hittem kiugrik a szívem. Dupla vagy semmi: 100 az 50 helyett... Az olaszoknál 70-es táblánál 77-re küldték a büntetést.
Ha már előrejelzés: ma 14 óráig még büntetlenül - némi felárral - feladhatók a paksi csekkek.
Na más; nézzük Paksot, a vízállás magassága remélem hűti a reaktort, nincs visszaáramlás, melegedés.
Amúgy meg, ha csillagos az ég, gyorsan süllyed a T. hajnalban arra felé, a T. minre vagyok majd kíváncsi
Amúgy meg, ha csillagos az ég, gyorsan süllyed a T. hajnalban arra felé, a T. minre vagyok majd kíváncsi
Ez éppen a település vége előtt cirka 60 méterrel volt.
De, hogy mindig ez a bűvös 66-67....Sose 70 vagy 73. Érdekes.
De, hogy mindig ez a bűvös 66-67....Sose 70 vagy 73. Érdekes.
Sajnos jelen időjárási helyzetben a módosítás lehetősége nem áll fenn
Pipa. 
Az esélyegyenlőség érdekében pedig javaslom azoknak is a módosítást, akik már adtak le 1,2-es tippet.
Az esélyegyenlőség érdekében pedig javaslom azoknak is a módosítást, akik már adtak le 1,2-es tippet.
Köszönjük!
Tegnap se szundikáltam, csak a közbejött közúti rendőri közigazgatási eljárás elvitte az időmet és a figyelmemet.
Na, meg a pénzemet is.
Viszont az, hogy állítólag mindig 66 vagy max. 67-tel megyek, legalábbis statisztikailag érdekes tény....
Tegnap se szundikáltam, csak a közbejött közúti rendőri közigazgatási eljárás elvitte az időmet és a figyelmemet.
Na, meg a pénzemet is.
Viszont az, hogy állítólag mindig 66 vagy max. 67-tel megyek, legalábbis statisztikailag érdekes tény....
....és sikerült! Végig arról álmodtam, hogy nem ébredek fel idöben
Gratulálok Papó 
Gondoltam egyedül jobb nyerni, így gyorsan, még határidő előtt eldobtam az egykettesemet
"...Kedves satya !
Az előrejelzési verseny aktuális fordulójában leadott adatok a következők:
Tmin: 9 °C
Tmax: 12 °C
Felhőfedettség: 8 okta
Jelenidő: Tartós, többnyire erős csapadékhullás jelentős mennyiségű csapadékkal.
Hőmérséklet: 9 °C
Szél: mérsékelt északnyugati
Csapadék: 10+ mm
Az időtényező értéke: 1.2..."
Eccer élünk
Gondoltam egyedül jobb nyerni, így gyorsan, még határidő előtt eldobtam az egykettesemet
"...Kedves satya !
Az előrejelzési verseny aktuális fordulójában leadott adatok a következők:
Tmin: 9 °C
Tmax: 12 °C
Felhőfedettség: 8 okta
Jelenidő: Tartós, többnyire erős csapadékhullás jelentős mennyiségű csapadékkal.
Hőmérséklet: 9 °C
Szél: mérsékelt északnyugati
Csapadék: 10+ mm
Az időtényező értéke: 1.2..."
Eccer élünk
Köszi, pontoztam, Télember a szélen kívül minden paramétert eltalált és nyert, gratulálok 
Forduló: Link
Összetett: Link
A következő kiíró zseegee lesz, így szeretnénk kérni egy helyszínt és egy időpontot.
Választható helyszínek:
Miskolc-Diósgyőr [12772]
Paks [12950]
Siófok [metnet-es észlelő]
Meteorológiai állomások beosztása: Link
Forduló: Link
Összetett: Link
A következő kiíró zseegee lesz, így szeretnénk kérni egy helyszínt és egy időpontot.
Választható helyszínek:
Miskolc-Diósgyőr [12772]
Paks [12950]
Siófok [metnet-es észlelő]
Meteorológiai állomások beosztása: Link
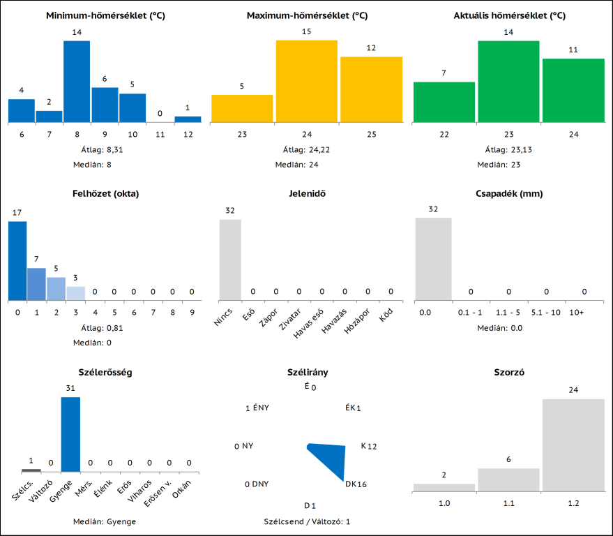
8 okta
Jelenidö: szitálás
Takt 9 (9,4°C)
Tmin 9 (9,1°C)
Tmax 12 (12.4°C)
Szélcsend
Csap 10+ (25 mm)
A 12 pontos 1.2-esemet sikerült egy 11 pontos 1.0-sra módosítanom. De legalább a csapadék jó lett
Jelenidö: szitálás
Takt 9 (9,4°C)
Tmin 9 (9,1°C)
Tmax 12 (12.4°C)
Szélcsend
Csap 10+ (25 mm)
A 12 pontos 1.2-esemet sikerült egy 11 pontos 1.0-sra módosítanom. De legalább a csapadék jó lett
Pedig a szélcsend is a paklimban volt, azt az előrék korábbra adták, azt hittem hogy 7 óra felé meglódul a szél valamerre, mint ék.-kelet felé. Hát késett mint minden Ic. vonat. Bezzeg majd most 17 felé rázendít a keleti szél Pest környékén.
Talán januárban! (itt a Bakonyalján vannak a legnagyobb hófúvások (innen a nick), gyerekkorom élményeiről tudnék mesélni, tán lesz is egyszer alkalmunk pár korsó sör mellett). A csélcsöndöt azért te sem merted bevállalni! T nem nagyon lő ki, 12.1-nél táborozik éppen. Sovány forduló lett ez.
A te nick neved is mókás, mikor is jön el jelenidőben? (Jan. 10. ?)
Az alattam tippelő Pericoval megosztva bejött a szélcsend= nyugati+keleti gyenge= 0

Az alattam tippelő Pericoval megosztva bejött a szélcsend= nyugati+keleti gyenge= 0
Mókás! Este tippeltem, aztán szinte rá se néztem,, nem is láttam a nagy mennyiségű csapadékot, csak mikor itt megjelentek a tippek, akkor néztem mi is van
Atomi pontossággal tippeltünk, aztán az időjárás döntött egy szitálás és szélcsend mellett Bukta forduló, nem lesz könnyű a kiesőst számolni
Hogy mi mindent figyelembe kellett volna venni. Névre szóló beosztást ismerök elönyben 
A Tmin valóban 9,1°C lett. Erröl módosítottam 10-re, remek
A Tmin valóban 9,1°C lett. Erröl módosítottam 10-re, remek
Ejj, az a fránya szitálás! Persze számíthattam volna rá, hiszen a SZITA Laci ott az észlelő... 
Most nézem, hogy az 1,2-es tippem egy az egyben megegyezik Hófúvás 1,2-esével, ami mellett ö kitartott. Igy most duplán vagy triplán
is számít, hogy bejöjjön a módosításom ebben a bizonytalan idöjárási helyzetben.
Én már eleve 1,1-es szorzóról és 5,1-10 mm-ről indultam, így csak emiatt nem módosítottam 10+ mm-re. Máson meg amúgy sem nagyon akartam volna.
A csapadék vitt rá végül az 1.0-s módosításra, mert a Tmin/Tmax megemelés + a szél gyengítés önmagában még valószínüleg nem lett volna elég ehhez. Viszont az 1,2-es 1,1 - 5 mm-es csapadékom 0 pontot ért volna 10+ mm csapadék esetén, így végül nem tudtam ellenállni a szorzóvesztéssel járó csábításnak
A szombat éjjel / vasárnap hajnal sajnos "elintézheti" a 10 mm alatt tippelőket... Bár ugye láttunk mi már sok mindent...
Elkészült az összefoglaló, végre egy izgalmas forduló.
Bár ahhoz képest a tippek meglehetősen egységesek. Amin állhat vagy bukhat a forduló, hogy lesz-e jelenidő (kisebb eséllyel, de akár be is jöhet valami szemerkélés), leesik-e a 10+ mm csapadék, na meg persze ott van a szél is, ami bizonytalan. 
Gondolkoztam amúgy a módosításon, de aztán úgy voltam vele, hogy hadd szóljon az 1.2-es.
Gondolkoztam amúgy a módosításon, de aztán úgy voltam vele, hogy hadd szóljon az 1.2-es.

Pedig nem olyan nehéz....
Vagy lesz eső vagy nem. Vagy sok lesz vagy nem. Vagy lesz szél vagy nem és vagy hideg lesz vagy nem.
Vagy lesz eső vagy nem. Vagy sok lesz vagy nem. Vagy lesz szél vagy nem és vagy hideg lesz vagy nem.